Izzy Nobre's Blog, page 12
October 30, 2016
Episódio 20: Trevors e Ferraris
Você consegue acreditar que o MPB saiu no horário certinho essa semana? Esse é o poder do Padrim!
Nesta semana maldita, Izzy Nobre e Evandro de Freitas debatem as quatro notícias mais provam que certamente Deus não existe: uma moça é presa injustamente numa cela com quarenta vagabundos, um homem tem um dia de GTA 5 jogado com o Trevor e ataca pacientes, inunda pronto-socorro e apedreja transeuntes; noivo aluga Ferrari novinha pra impressionar a novinha e destrói o veículo, e papai noel não-intencional fica preso numa chaminé.
►Notícias comentadas
Mulher é presa por engano em cela masculina e processa as autoridades que insistiram que ela era homem (Enviado por @b_menezes, que no Carnaval de 2009 cometeu um engano semelhante mas no vetor contrário)
Trevor brasileiro toca o puteiro num pronto-socorro e deixa os pacientes pedindo socorro (Enviado por mim mesmo que vos fala)
Homem aluga Ferrari pro casamento e detona o veículo prontamente (Enviado por @celsofpinto, o Melhor Advogado do Brasil)
Maluco força a sorte tentando entrar na própria casa pela chaminé e aconteceu exatamente o que era óbvio que aconteceria (Enviada pelo @Raul_Amderline, este grande patrimônio da internet brasileira de computadores)
►Links comentados
O companheiro Emanuel Razzolini fez uma versão 1.0 do mapa de notícias do MPB; aqui está. O broder @JoaoRicardo_RM fez um update no conceito e mandou a versão abaixo:
Nem no meu emprego eu exerço esse tipo de qualidade. Obrigado, Emanuel e João!
►Vídeos e imagens comentados
Os queridos minigames de camelô!
O trote clássico do Pareto:
►Curtiu o podcast?
Quer ajudar a nos manter no ar? Financie-nos através do Padrim! Ajudando com qualquer valor, você ganha acesso ao grupo no Telegram e playlist de músicas do programa! Contribuindo com R$10 por mês, você pode até mandar mensagens de áudio pro programa! Além de tudo, obviamente, você garante a continuidade do programa!
Procure-nos no iTunes, PocketCasts, WeCast e diversos apps como “O MELHOR PODCAST DO MUNDO” ou “Izzy Nobre”
Deixe uma resenha, e melhor ainda, recomende a um amigo!
Pra assinar, basta jogar este RSS no seu app favorito de podcasts!
Sugira notícias bizarras pra gente nos comentários da postagem ou pelo Twitter — @izzynobre e @evandrof!

October 27, 2016
Eu sou o melhor fotógrafo de desconhecidos
Eu não sou bom em praticamente nada nessa vida. Comecei a tocar violão quando era adolescente, e fiz o upgrade pra guitarra assim que pude arcar com o preço do instrumento, mas continuo quase tão medíocre quanto era quando comecei (ou pior; quando moleque meu principal passatempo era tocar,* enquanto hoje a internet roubou totalmente minha atenção pra música).
A mesma coisa acontece com meus vídeos. Eu desconheço completamente a parte teórica da produção visual, misturo uns negócios no Vegas até que saia algo aproveitável, mas eu estou completamente ciente das minhas limitações e quando sai algo bom eu estou plenamente convencido de que é por sorte.
Mas tem uma coisa na qual eu me aplico. Tem UMA TAREFA que quando passa pela minha mão, eu sei que executo a melhor performance possível — tirar fotos pra desconhecidos.
Durante a colação da minha esposa há algumas semanas, fui abordado diversas vezes por famílias orgulhosas que queriam tirar uma foto com seus formados. Eu supus que essa predileção se deva ao fato de que eu estava com a minha 70D no pescoço, tirando fotos e filmando tudo; certamente quem estava por perto via aquela câmera imensa com um microfone gigante acoplado em cima e pensava “esse cara deve saber o que está fazendo”.

Por mais que você não saiba o que está fazendo, uma câmera imensa com um microfone gigante em cima comunica imediatamente a ideia “eu sou um profissional”.
Quando um desconhecido me dá sua câmera pra tirar uma foto, eu sinto uma responsabilidade imensa. Primeiro, o cara está me dando nas mãos um aparelho que custou uma fração considerável do seu salário (imagina aí então, que segurar a DSLR alheia representa ter em mãos um negócio que o cara possivelmente nem terminou de pagar ainda); além disso, estou manuseando não apenas uma posse valiosa da pessoa, mas está nas minhas mãos também a memória de um dia importante.
Como um perfeccionista no que diz respeito a áudio-visual, NADA, literalmente NADA me dá mais ódio e ranger de dentes do que ter que trabalhar com imagens capturadas por amadores. Quer dizer, eu sou um amador também; refiro-me na real a imagens capturadas por ineptos totais. Gente que tira foto desfocada, mal enquadrada, com péssima composição, sem configurar a exposição direito, é uma agonia absurda. Uma foto que deveria sair assim:
…fica assim:

Dizem que uma imagem vale mil palavras mas quando vejo foto tirada por um completo energúmeno só consigo pensar em três. PUTA QUE PARIU.
A revolta é elevada ao infinito quando trata-se de um vídeo. Em vez de apenas UMA imagem revoltantemente mal capturada, são trinta por segundo. Não sei se já contei isso aqui, ou em um dos meus podcasts, mas certa feita minha esposa foi ver um novo apê. Eu não podia ir junto, e ela atendeu meu pedido de filmar o tour para que eu pudesse analisar o espaço… mas filmou verticalmente.
Em quase 4 anos de casados eu nunca contemplei um divórcio tão seriamente quanto naquele dia. O desgosto era tamanho que eu literalmente não consegui ver o vídeo. Acabamos tendo que ir ver o apartamento novamente.
Ter que editar vídeo filmado pelos outros então? Puta que pariu. Eu prefiro deitar com a cabeça no trilho do metrô, com alguém mijando na minha cara segundos antes do trem me libertar dessa existência amaldiçoada e a morte me receber com um gélico abraço.
Eu não quero que alguém passe por essa miséria, muito menos por culpa minha. Quando pego a câmera de alguém, eu dou o melhor de mim. Enquadro pra valorizar o contexto, filmo com mãos mais cirurgicamente estáveis do que daqueles médicos super-especialistas que separam gêmeos siameses, tiro sempre 3 ou 4 imagens com variações mínimas, mas perceptíveis, de ângulo, exposição, enquadramento e o caralho.
E no final das contas provavelmente os caras vão jogar essas fotos num aplicativo chinfrim qualquer, lotar de efeitinhos bregas e filtros canalhas sem qualquer atenção pro contexto visual, e comprimir feito bagaço de laranja ao passa-los pelos algoritmos do Facebook.
Puta merda.

October 24, 2016
Musk surpreende de novo: Teslas agora se dirigem e estacionam sozinhos
Não sei se você esteve prestando atenção, mas estamos vivendo no futuro já tem algum tempo. E agora, o futuro acaba de ficar mais futurístico.
O bilionário e Tony Stark da vida real Elon Musk vem há algum tempo prometendo que seus Teslas serão, um dia, completamente autônomos. E enquanto muitos estivemos pensando “ah tá ok senta lá Elon té parece que os carros vão se dirigir sozin…”, o sujeito aparece com o vídeo abaixo:
Puta que pariu. Como você pode ver, o carro se controla completamente sozinho, inclusive deixando o “motorista” (mais apropriadamente, passageiro) no seu destino e então procurando uma vaga pra estacionar. Repare, na marca de 3:04, que o carro passou não uma, mas DUAS vagadas para deficientes — o que já mostra que o software da Tesla é mais inteligente que muito motorista humano.
Aliás, eu percebi agora que vagas para deficientes serão coisa do passado se/quando essa tecnologia pegar. Ninguém vai ter que andar do carro até a porta de um prédio ou vice-versa, visto que o carro te deixa na entrada e te pega quando você precisa.
O Tesla auto-guiado não fica cansado, nem se distrai lendo mensagem no WhatsApp, nem avança placa de pare com pressa e acerta um pedestre, nem cai no sono durante uma viagem longa. O software não é perfeito, é claro, mas o histórico de tecnologia de informação é repleto de casos em que o controle através de sistemas de inteligência artificial passa a eficiência e segurança humana em praticamente todos os casos em que foi aplicado. Duvido MUITO que dirigir acabe se tornando exceção.
Eu tenho plena convicção que essa tecnologia se tornará padrão na indústria automobilística em menos de 20 anos. Não há NENHUMA função de segurança automobilística que em poucos anos não tenha se tornado um item obrigatório, seja por forças de mercado que tornam inviável a uma marca não oferecer a opção, ou por decreto estatal direto. Airbag, freio ABS, cinto de segurança, vidro temperado… você conhece algum carro que não tenha essas coisas?
É inegável que um sistema autônomo é mais confiável do que a operação humana; os carros autônomos que se envolveram em acidentes até hoje são quase exclusivamente por culpa de erro humano. Um ser humano jamais poderá monitorar todos os ângulos que esses carros monitoram simultaneamente, por exemplo. Ou seguir TODAS as regras de trânsito obrigatoriamente, em vez de abrir mão de algumas por pressa ou preguiça ou puro desconhecimento.
Eu penso que um dia, daqui uns 40 ou 50 anos, nossos netos ouvirão horrorizados nossas histórias de dirigir nossos próprios carros. “Porra! Mas isso é perigoso demais!“, dirão eles. “não rolava acidente direto, não…?“, e admitiríamos rindo que sim, acidente de carro é líder no ranking de mortes de pessoas entre 15 e 29 anos de idade. E eles não conseguirão compreender como achávamos isso uma faceta completamente normal do privilégio do transporte automotivo.
Existe todo um dilema ético sobre o que “alvo” um carro autônomo seria forçado a escolher caso uma colisão fosse completamente impossível de evitar. Eu acho que essa discussão é primariamente um espantalho, por alguns motivos. Primeiro, porque a conclusão fundamental em que os proponentes desse dilema parecem querer chegar é “olha, se X, Y e Z acontecer, vai morrer gente mesmo assim!”.
Esse exercício pode ajudar a antecipar problemas e bolar soluções criativas, mas que ao mesmo tempo me parece extremamente contraprodutivo porque é usado muitas vezes como argumento pra NÃO adotar uma certa medida. Podemos usar argumentos semelhantes (achar falhas num sistema de segurança) pra literalmente qualquer solução que tem como finalidade reduzir taxas de mortalidades. Pra mim, é como argumentar contra um colete a prova de balas dizendo que você ainda está vulnerável a um tiro na cara.
É fantasioso achar que não haverá mais acidentes de trânsito, nunca mais, uma vez que carros autônomos se tornem a norma. Só que parece bastante evidente que os números de colisões vão se reduzir a uma ínfima fração do que temos hoje, considerando as experiências atuais com a tecnologia; se isso pode teoricamente resultar num dilema ético… fazer o que? No mesmíssimo cenário sem um veículo autônomo, pessoas iam provavelmente morrer da mesma forma. Assim como num cenário em que você tem um colete a prova de balas e leva um tiro, SEM ter o colete você estaria consideravelmente mais fodido de qualquer forma.
Em outras palavras, não vejo “dilema” se a adoção de uma medida reduz muito a propabilidade da situação que invoca o dilema de acontecer.
Segundo, porque a galera que alardeia esse “dilema” parece argumentar que a mesma situação, sendo decidida por um ser humano, seria inerentemente melhor, dum ponto de vista ético/moral. Sendo eu escolhendo desviar pra este ou aquele carro no momento de um acidente inevitável com potencial fatal, ou o computador do meu carro decidindo isso… qual exatamente é a diferença?
Ou seja, o argumento de dilema soa muito como alguém rejeitando uma medida porque ela não vai resolver 100% do problema. Nenhuma medida resolve 100% de um problema, mas a adotamos se a porcentagem da solução é grande o bastante pra valer a pena.
Finalmente, a simples adoção de sistemas autônomos fazem com que o enunciado desses dilemas torne-se virtualmente impossível. O autor do artigo linkado admite isso, dizendo que “these scenarios would be very rare, if realistic at all“. A menos que alguém pule na frente do seu carro intencionalmente, numa situação em que o carro estivesse rápido demais pra parar (digamos, uma auto-estrada), as condições necessárias pro “dilema” seriam eliminadas pela simples presença de sistemas autônomos de direção.
Assim sendo, o próprio enunciado da questão “imagine que o carro está PRESTES a bater, o carro deve desviar em direção ao motociclista COM capacete, ou no motociclista SEM capacete?” é improvável.
O que você acha? Você é conta ou a favor de carros autônomos?

October 23, 2016
Episódio 19: Ladrões e Maconhas
E aí, malandragem? Foi bom o fim de semana? O meu foi uma bosta, mas a vida é isso aí mesmo.
Izzy e Evandro exploram as notícias malucas com as quais foram bombardeados nas redes sociais nessa semana — um ladrão que interrompeu o andamento do assalto pra pedir dicas pelo telefone, um cachorro que foi parar no veterinário após comer uns bolinhos de maconha (que obviamente não eram do dono né, mas claro que não, seu guarda!), um caso peculiar de bandidos que roubaram uma casa inteira (literalmente) e um sujeito morto com uma flechada. Tá ficando punk mesmo esse Brasil!
►Notícias comentadas
Malandro entra na loja pra aplicar a fita e pede dicas por celular (Enviada pelo @brunobiggle, que uma vez roubou chocolate nas Lojas Americanos usando um walkie talkie)
Cachorro come um bolinho de MARIJUANA e fica loucão (Enviada pelo @felipowsky, que me falou que deu maconha pro seu peixinho e foi mais ou menos isso aí mesmo)
Bandidos roubam uma casa inteira no litoral gaúcho, desmanchando tijolo por tijolo (Enviada pelo @pedrovanzella, que tá anunciando venda de alguns produtos de construção semi-novos no Mercado Livre)
Após discussão com o típico maloqueiro do bairro, homem leva flechada e morre (Enviada pelo @Thomas_RF, que falou que se fosse com ele teria inclinado pra trás igual o Neo, agarrado a flecha no ar e jogado de volta)
https://www.google.com/maps/d/u/0/vie...
►Links comentados
►Curtiu o podcast?
Quer ajudar a nos manter no ar? Financie-nos através do Padrim! Ajudando com qualquer valor, você ganha acesso ao grupo no Telegram e playlist de músicas do programa! Contribuindo com R$10 por mês, você pode até mandar mensagens de áudio pro programa!
Procure-nos no iTunes, PocketCasts, WeCast e diversos apps como “O MELHOR PODCAST DO MUNDO” ou “Izzy Nobre”
Deixe uma resenha, e melhor ainda, recomende a um amigo!
Pra assinar, basta jogar este RSS no seu app favorito de podcasts!
Sugira notícias bizarras pra gente nos comentários da postagem ou pelo Twitter — @izzynobre e @evandrof!

October 11, 2016
Quando a teoria anarcocapitalista vai ao mundo real — Conheça os “sovereign citizens”
Foi incrivelmente difícil achar uma foto pra ilustrar esse post. Embora os sovereign citizens já tenham se tornado uma espécie de meme na internet (“AM I BEING DETAINED?????”), não existe ainda uma fotinha quintessencial que os resume. Então vai a desse maluco aí. Já já explico-o.
Então. Há algum tempo estou ciente das presepadas dos chamados “sovereign citizens” (a quem tem dúvida: se pronuncia “Só-Vren”), ou de sua franquia canadense, os “freemen on the land”. De forma resumida, é uma espécie de variante mais extrema dos anarcocapitalistas: em vez de apenas argumentar no Facebook que imposto é roubo e que o governo do Estado não tem legitimidade sobre eles, os sóvren citizens (vou escrever só SC daqui pra frente, tá? Se eu precisar falar de Santa Catarina ao longo do texto eu te aviso) realmente tentam exercer essa crença no mundo real, e os resultados são exatamente tão hilariante quanto você está imaginando.
De certa forma, há até algo admirável na coragem (estupidez?) dos SC de realmente tentar fazer um live action role play das maluquices ancaps no mundo real. E como isso me provém uma fonte ilimitada de diversão, eu não sei se devo os criticar per se.
Funciona basicamente assim: os SC argumentam, baseando-se em teorias juridicamente inválidas, que a leis não se aplicam a eles. Mas por que isso?
A lógica deles é que um país é essencialmente uma cooporação (obviamente não é); portanto, todas as leis e estatutos nada mais são que um contrato com essa coorporação. E se você não assinou tal contrato, todo o sistema jurídico nacional é como um EULA da instalação do Corel Draw — você pode pular sem problema algum, porque é irrelevante pra você.

Como eles pensam que o Código Penal/Constituição funcionam.
Por mais inacreditável que pareça, esse é o argumento dos caras, destilado aos seus componentes mais fundamentais. Eu não concordei em ser cidadão brasileiro, visto que nasci no Brasil contra minha vontade. Isso significa que eu não assinei contrato com o instituição judicial brasileira, logo, não estou sujeito às suas leis, que neste caso eu considero equivalentes às regras de um clube ou coisa similar.
E, como você provavelmente suspeitava, essa turma é daqueles que insiste ferozmente que imposto é roubo. A maluquice onde os SC chegam é a conclusão inevitável dessa crença teoricamente correta, mas pragmaticamente insana de que o Estado não tem legitimdade alguma sobre um cidadão.
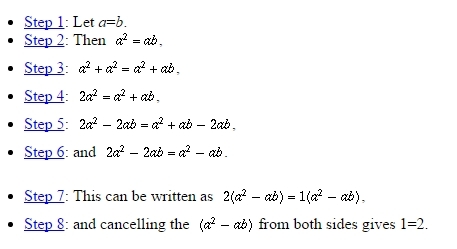
Aliás, tanto os SC quanto os ancaps tem como característica recorrente usar argumentos que me lembram aqueles truques de álgebra que “provam” que 1=2. Lembram deles?
Discutir com ancaps, ouvir os “raciocínios” dos SC, ler artigos do Mises, é basicamente isso — um argumento aparentemente coerente, teoricamente bem embasado, mas que chega a uma conclusão que absolutamente não condiz com a realidade e que sempre omite uma divisão por zero escondida em algum lugar.
Se você não entende bem o alicerce argumentativo dos caras (se é que algo tão infundamentado pode ser chamado de um “alicerce”), os vídeos parecem insanidade plena. Não que não seja, mas uma vez que você compreende as terminologias que empregam e a “lógica” a que eles aderem, você solta um “ahhhhhh, então é isso que ele quer dizer…“.
Agora, por que eles esperam que juristas aceitem (ou sequer entendam) as suas insanidades continuará impossível de compreender.
Então, os SC são obcecados com distinções semânticas irrelevantes que eles pensam que são um GAME SHARK JURÍDICO. Um bom exemplo disso é a suposta separação entre “pessoa” versus “indivíduo”. Indivíduo, eles argumentam, são eles próprios — o corpo físico que você habita. Pessoa, por outro lado, é a seu alter ego “legal”.
Em outras palavras, a sua “pessoa” (aqui definida como uma entidade incorpórea e imaterial, com um nome coincidentemente igual ao seu) passa a existir uma vez que o Estado toma conhecimento de sua existência e então assina um contrato em seu nome, sem seu consentimento.
Através dessa “lógica”, eles então argumentam que sua “pessoa” (isso é, o “João Silva” sendo citado pelo Estado num mandado de prisão ou coisa assim) é na verdade… a sua certidão de nascimento.
Assim sendo, o Izzy Nobre que recebeu uma multa de 120 dólares por dirigir acima da velocidade não é o Izzy Nobre que você vê nos vídeos ou xinga no tuiter; é aquele papel que meus pais assinaram num cartório em Fortaleza em 1984.

Achou que era piadinha né
Aliás, os caras se apegam tanto a essas maluquices triviais que alguns chegam a argumentar que o uso de letras maiúsculas em documentos oficiais “provam” que aquilo não se refere a eles. Trocando em miúdos: Eu sou Israel Nobre. Já esse ISRAEL NOBRE na multa não sou eu; é, obviamente, a minha “pessoa”. Israel Nobre é um indivíduo que não assinou nenhum contrato com a coorporação “Canadá”.
Conclusão: não tenho nenhuma obrigação legal.
(No meu caso o exemplo não é o melhor, já que eu emigrei pra cá, então pode-se dizer que assinei um “contrato” sim — minha papelada de cidadania. Mas SCs nascidos aqui argumentam exatamente da forma descrita no parágrafo acima)
Pra você ter uma idéia da completa insanidade: uma das coisas que os SC argumentam é que se a bandeira no tribunal tem borda dourada, isso torna aquele tribunal um tribunal marítimo; como tal, ele tem jurisdição apenas sobre pessoas jurídicas, ou a “pessoa” de um SC, e não ao “indivíduo” do SC, e portanto o processo é inerentemente inapropriado.
Aliás, por que lei marítima? Porque o sufixo “-ship” (equivalente ao nosso “-dade”) permeia o vocabulário legal. Ownership, citizenship, censorship, guardianship, etc. Isso seria uma prova de que o contexto é de lei marítima, e que esta não julga “pessoas”.
Sério mesmo.
Outra viagem semântica é que eles se opõem a dizer que entendem ordens policiais ou leis. Quando um juiz ou policial pergunta se eles entenderam a ordem ou lei citada (“do you understand blá blá blá?)”, eles alegam que o understand (“compreender”) é na verdade “under stand”, ou “stand under”, no sentido de “concordo e aceito os termos”. Logo, eles estariam perguntando se você CONCORDA se sujeitar às ordens deles; basta dizer “não” que tá tudo ok.
Entendeu mais ou menos como é a a maluquice? Agora o vídeo abaixo fica mais claro:
Aos 3 minutos, esse David Hall (preso por dirigir bêbado e sem carteira de motorista) explica que ele não é o DAVID HALL sendo procurado pela justiça. Um pouco mais tarde, ele elabora que ele não é a “pessoa” DAVID HALL, ele é o “indivíduo” David Hall. Ao que o juiz pergunta onde está David Hall, o réu então diz que DAVID HALL só existe no papel; é uma coorporação.
Vendo esse vídeo sem conhecer as minúcias da fé dos caras — porque achar que essas maluquices seriam reconhecidas em tribunal tem que ser fé –, você poderia concluir que o cara é clinicamente insano. O que acontece é que ele quer usar juridiquês fictício pra enrolar um juiz como se fosse um jedi mind trick. Então, pensando bem, de repente é maluquice literal mesmo.
Aliás, repare que no começo o Hall pergunta ao juiz se o tribunal “reconhece seu juramento de exercício da profissão” ou algo assim, que o juiz nem entende imediatamente. Com isso, ele quis saber basicamente se o tribunal reconhece ele… como juiz.
Esse fetiche na literalidade de alguns termos (e mais especificamente, as definições alternativas que eles dão pra eles) faz esses caras me lembrarem os jogadores de RPG que tentam discutir regras com o mestre. Nesse vídeo, e em vários outros, os SC refutam a acusação de que estavam “dirigindo”, insistem que estavam “viajando”, o que seria um direito constitucional (ir e vir). Logo, não precisam de carteira de motorista.
Este vídeo clássico mostra um mindset semelhante. Quando o cara falou que não tem nome nem sobrenome, ele não estava sendo apenas um babaca gratuito — ele de fato pensa que não tem nome nem sobrenome, porque estes são apenas artificialidades inventadas pelo Estado num papel chamado “certidão de nascimento”. Pra recusar dar o nome ao segurança, o cara diz que ele não quer “create joinder with you“, que seria algo como “não estou assinando nenhum contrato que reconheça você como uma figura de autoridade”. Eles realmente acham que alguém vai reconhecer essa metodologia no mundo real, o que é incompreensível.
No decorrer do vídeo o sujeito acabou peitou um dos seguranças do tribunal, tomou um choque bonito (cuja filmagem ele mesmo disponibilizou na internet, achando tratar-se de uma vitória), e voltou ao mesmo tribunal pra ser julgado pela presepada.
Repare a altivez do moleque, e a impressionante (mas ao mesmo tempo previsível) falta de moral da mãe do pirralho. Tanto a postura do moleque quando o jeitão de “ah, esse meu filho é foda né…” da mulher me faz pensar que esse desgraçado passou uma vida inteira sem qualquer disciplina, e agora quer estender a carta branca pra fazer o que dá na telha pro universo fora da sua casa.
Se você quer algumas risadas adicionais, aqui tá uma compilação de SCs se fodendo lindamente ao pensar que suas estratagemas pseudo-legais tem qualquer efeito no mundo real:
AM I BEING DETAINED?!??!?!?!?!?!
Se você quer imaginar como seria uma sociedade anarcocapitalista, basta imaginar um país INTEIRO repleto dessa galera aí.

October 9, 2016
Episódio 18: Urnas e Santinhos
Olá, meu amigo! Votou, ou ficou em casa e vai pagar a multa outro dia porque afinal de contas este Battlefield não vai se zerar sozinho?
Você acredita na democracia e na obrigação de exercer o papel cívico? Ou tá cagando pra isso tudo pois está plenamente convencido de que nada importa já que a cabala dos reais donos deste mundo mandam e desmandam sem qualquer influência de nossos representantes eleitos, sem contar que nossa existência é insignificante e todos estaremos mortos daqui 100 anos?
Seja você idealista ou nihilista, aqui no MPB temos espaço para todos! Acompanhe Izzy “Eu devia me candidatar a alguma coisa” Nobre e Evandro “Vai um dia fingir a própria morte pra escapar da função de mesário” Fritas debatendo as melhores notícias resultantes da FESTA DA DEMOCRACIA!
►Notícias comentadas
Vereador Mister White é preso no dia seguinte à eleição com TREZENTOS QUILOS DE DORGAS (Enviada pelo @Carlos_Galvani, que jurou pros polícias que o baseado não é dele)
Homem é preso ao mandar um “Ryu naquela fase de bônus do Street Fighter” numa urna eletrônica (Enviada pela “Paula Vado”, que certamente é uma galhofagem mas seria sensacional se alguém realmente tivesse esse nome)
Eleição pra prefeito no Ceará sai no 1×1 e usam o critério mais “par ou ímpar” do mundo pra desempatar (Enviada pelo @gabiruh, que sugeriu que saíssem no jokenpô)
Candidata a vereadora faz campanha divulgando número errado e acaba recebendo TRÊS votos (Enviada pelo @_Kaleb, que frequentemente erra o próprio número de telefone)
►Imagens comentadas
As plaquinhas de jardim usadas durante o período eleitoral na América do Norte:
Teoria do Izzy de como a muié lá provavelmente escreveu seu número de vereadora no formulário de inscrição de candidatura:
►Vídeos comentados
►Curtiu o podcast?
Quer ajudar a nos manter no ar? Financie-nos através do Padrim! Contribuindo com R$10 por mês, você pode até mandar mensagens de áudio pro programa!
Procure-nos no iTunes, PocketCasts, WeCast e diversos apps como “O MELHOR PODCAST DO MUNDO” ou “Izzy Nobre”
Deixe uma resenha, e melhor ainda, recomende a um amigo!
Pra assinar, basta jogar este RSS no seu app favorito de podcasts!
Sugira notícias bizarras pra gente nos comentários da postagem ou pelo Twitter — @izzynobre e @evandrof!

October 7, 2016
Elon Musk é acusado de machismo porque não segue mulheres no Twitter
Eu já falei aqui que é impossível agradar os idiotas úteis que compoem a força dos movimentos de justiça social? Talvez não, porque é tão auto-evidente que apontar este detalhe torna-se até redundante. Mas enfim, tenha isso em mente, porque será relevante na história.
Pra quem não sabe, o sujeito aí é o Elon Musk. O cara é um empresário sul-africano que na juventude imigrou (graças a conexões familiares) pro Canadá, que ele então usou como um atalho pros EUA — dando mais legitimidade à lenda de que somos o quintal americano.
Musk tornou-se bilionário (e, eu acrescentaria, o homem mais interessante do planeta no momento) perseguindo um sonho maluco de empreendedorismo e inovação. E não o empreendedorismo e inovação a la Bel Pesce, que está tão em alta no Brasil ultimamente pelo jeito. Em vez de platitudes vazias sobre “acreditar em seus sonhos!!!”, curtos estágios intencionalmente caracterizados na mídia como posições de liderança e “aulas” de como ser empreendedor, Musk vende soluções. Durante a explosão das pontocoms nos anos 90, ele bolou o que eventualmente tornaria-se o PayPal; mais tarde, ele investiria boa parte dessa grana na então semi-inexistente indústria de veículos elétricos e na expansão espacial comercial.
E é com essas duas empreitadas que ele está ocupado atualmente — acabar com nossa dependência de combustíveis fósseis, o que está destruindo nosso mundo tanto ecologicamente quanto geopoliticamente, e sair fora dessa porra de planeta desgraçado. Aparentemente isso não é o suficiente para os sacerdotes do culto da justiça social, que insinuaram que o sujeito é um bosta porque… não segue mulheres o bastante no Twitter.
No artigo do Motherboard, o argumento é que Elon Musk não segue mulheres porque é machista ou coisa equivalente. Eles não dizem isso diretamente, talvez porque o non-sequitur da acusação fique claro se alguém a verbaliza de forma explícita. Só que a insinuação está lá e é mais pesada do que o Interplanetary Transport System, o maior foguete da história no qual o cara tá apostando todo o futuro da empresa simplesmente porque é a primeira pessoa na história da raça humana a levar a sério a idéia de explorar outros planetas e vocês ainda estão enchendo o saco dele com babaquice.
A autora do artigo até aponta que o cara segue apenas 54 contas, a grande maioria delas de sites de notícias. Em vez de concluir que o Musk não está lá tão interessado no bate-boca que nos atrai ao Twitter, e que por isso sua lista de seguidos não pode ser usada como um medidor apropriado de suas inclinações e preferências sociais, a implicação é de que o cara é um machista do caralho que silencia mulheres.
Provando, mais uma vez, que o MO da justiça social de internet é achar qualquer coisa que possa ser tangencialmente caracterizada como malícia, e insistir ferrenhamente pros outros “fieis” de que não há outra alternativa. Se o Musk, que quase não segue NINGUÉM no Twitter, não está seguindo mulher, SÓ PODE SER MACHISMO.
No texto, a filha da puta fala casualmente que “sabemos que pelo menos uma mulher trabalha pro Musk, a Gwynne Shotwell”. Que é apenas a PRESIDENTE da porra da SpaceX — uma empresa que está, preciso relembrar o leitor, TRAÇANDO NESTE EXATO MOMENTO PLANOS CONCRETOS PARA A EXPLORAÇÃO E COLONIZAÇÃO DE MARTE. E uma mulher tá apitando essa porra toda.

“Pelo menos uma mulher trabalha pro Musk”, ah, vai se foder, na moral.
É frequente nestes círculos a cobrança de que empresas de tecnologia dêem mais oportunidades para mulheres, e ter uma mulher no comando da SpaceX é incrivelmente notável. Mas como este detalhe é contrário à narrativa de que o Musk é algum tipo de piroco opressor, o papel de liderança da moça é citado brevemente, como quem o faz por obrigação. E as DÚZIAS de outras mulheres que trabalham na SpaceX são completamente apagadas, porque aparentemente, só sabemos de uma que trabalha lá.
Imagine o quão mais produtivo pra alavancar sua causa teria sido se a Motherboard fizesse um artigo sobre a trajetória da Shotwell na SpaceX. Seria excelente, só que como isso vai contra a narrativa de que é impossível uma mulher ser bem sucedida no ramo tecnológico porque “patriarcado”, dá pra entender por que a colunista achou mais interessante manufaturar uma controvérsia literalmente do nada ao mesmo tempo que menciona a mulher só de passagem e finge que não há outras na empresa.
A autora insistindo que o Musk não seguir mulheres “é um problema” é de um asco extraordinário. Não é de hoje que noto que no centro da ideologia de justiça social mora um autoritarismo repugnante; não consigo pensar em algo mais mesquinho e controlador do que ditar quem alguém deve seguir. Seria hilário se em reposta o Musk seguisse a Christina Hoff Sommers, ou a Shoeonhead, ou a Lauren Southern.
A propósito: não há como vencer com SJWs. Simplesmente não há. Tal qual a cena clássica de Goodfellas, uma vez que os paladinos sociais decidiram que você é um alvo, não importa o que você fala ou faça — eles vão, com a facilidade característica de alguém que pratica isso religiosamente, torcer qualquer coisa que você diga como algo ofensivo.
Por exemplo: o Musk tentou explicar que prefere usar o Instagram como rede social, e o Twitter pra consumir notícias. Lá, ele segue um número igual de homens e mulheres (tem até uma brasileira). Ainda assim, repare que é constante sua seletividade nas redes sociais: ele só segue 12 pessoas lá.
A resposta da autora? Insinuar (novamente, eles nunca acusam diretamente — talvez porque uma acusação explícita requer embasamento?) que ele faz isso só pra espreitar as fotos das minas. Este aqui sugeriu que uma mulher no Instagram não tem nada a oferecer além de sua imagem (o que me soa como algo INACREDITAVELMENTE sexista, vá entender esse povo).
O cara então resolve seguir uma moça, a editora da revista americana GQ. A reação dos SJW, obviamente, é zoa-lo por isso E sugerir que ela bloqueie o cara de pirraça. Lembra que eu falei láááá no começo que não adianta tentar se curvar às exigências?
O Motherboard fazer o Musk parar (mesmo que só por dez segundos) o seu trabalho de expansão planetária humana pra responder essa imbecilidade é basicamente um crime contra a humanidade.

October 3, 2016
O real problema da Black Friday no Brasil
Black Friday.
A expressão invoca imediatamente cenas de gente se espremendo pra dentro de Walmarts e Best Buys pra disputar os descontos na base do soco na orelha e chute no pâncreas. Apesar da relativamente recente aderência nacional a esse feriado americano de consumismo, eu tenho a impressão de que ninguém sabe de fato qual é a pegada do Black Friday.
Black Friday é um evento comercial intrinsicamente ligado ao Dia de Ação de Graças, o que me faz pensar que o Brasil importou a tradição só pela metade. De acordo com a lenda, porque afinal de contas sabe-se lá quem escreveu a versão do artigo da wikipédia que eu estou agora tomando como verdade, Black Friday marca o primeiro dia (relativo ao ano fiscal, não o do calendário) em que lojistas americanos começam a finalmente lucrar.
Ou seja, saíram do “vermelho” e entraram no “preto”. Se bem que, quando eu era moleque, o referencial que eu tinha pra algo estar “vermelho” era o boletim, e uma nota não-vermelha era então “azul”, e não “preto”. Enfim.
O que importa é que lá fora, o arranca-rabo por TVs e panelas com preço camarada é infame. Morbidamente, criaram até um site que contabiliza feridos e mortos (temos sete defuntos já inclusive, boa parte deles pisoteados por pessoas que simplesmente não poderiam deixar de economizar uns 30 dólares num PS4). É tenso.
Ainda não tivemos casualidades na Sexta Feira Negra tupiniquim, mas isso se deve mais ao fato de que a célebre malemolência brasileira impede que sequer exista o interesse de ir correndo às lojas. Numa prática que a internet carinhosamente se refere como “TUDO PELA METADE DO DOBRO“, os lojistas brasileiros adotam a Black Friday em nome apenas, manipulando preços na véspera pra simular a aparência de descontos mirabolantes — na esperança que os anúncios de BLACK FRIDAY!!!! em fonte tamanho 12 na homepage do site confunda os visitantes.
E é por isso que em vez de uma multidão tentando invadir a loja e jogar dinheiro na cara dos caixas, no Brasil temos cenas do completo inverso:
É vergonhoso, mas ao mesmo tempo, bem brasileiro.
Ou seja, essas são suas duas opções pro Black Friday — ser pisoteado até a morte, ou ser engambelado por lojistas inescrupulosos.
Ou melhor, essas ERAM as suas duas opções até agora. Conheça o Promobit.
O Promobit é um site colaborativo pra te ajudar a achar as melhores pechinchas desta nossa internet, e o único que você precisará checar daqui em diante. As promoções que aparecem lá são cadastradas por usuários comuns como eu ou você que encontraram um preço legal e resolveram compartilhar com a comunidade de caçadores de descontos.
Os usuários postam perguntas sobre as promoções, e os outros membros da comunidade as respondem, com a galera do Promobit verificando as promoções, pra separar o joio do trigo, assim dando sua benção as promoções reais — e tirando de lá qualquer coisa com características de “metade do dobro”.
Essencialmente, os caras enxergam os códigos da Matrix dos descontos e repassam este conhecimento pra você. Pra você ter uma noção do que já perdeu por não conhecer o Promobit antes, teve esse iPhone 6S de R$ 2421, quando ele custa geralmente acima de R$ 3000. Nesta outra promoção, comprar três Zenfones saia mais barato que comprar dois.
Caso você seja mais pobre que o Seu Madruga, tem até ofertas grátis lá — jogos no Steam, ebooks, cursos, apps, tudo no 0800. Se você quer economizar tempo e dinheiro, pode dar uma passada na seção TOP, onde vai encontrar as melhores ofertas — ou seja, as ofertas topzeras, faustop ao quadrado mesmo. Olha isso:
A plataforma é 100% brasileira e é a primeira em sua categoria. A curadoria do Promobit é eficiente e por isso você encontrará lá preços melhores do que nos comparadores de preços (estes procuram apenas preços mais baratos entre sites de compra, não necessariamente estando em promoção).
Meu próprio broder Evandro of Fries, participante do 99Vidas e d’O MELHOR PODCAST DO BRASIL, já usou e aprovou o Promobit. No caso, o Fritas comprou Street Fighter 5, que apareceu no Promobit aqui.
No lançamento, o game tava listado por 279 reais. Uma semana depois, a galera do Promobit trouxe SF5 a você por módicos 134 reais.

Agora é do Evandro
Meu colega podcaster meteu o dedo no botão COMPRAR com tanta força que quebrou seu teclado, e está agora dando reload no Promobit (usando o mouse, coitado) esperando aparecer um teclado em promoção.
Em vez de ficar procurando regateios pela internet afora, fuçando fóruns e ligando pro seu primo que “entende desses negócios de internet”, vá no Promobit!
Se quiser acompanhar os caras pelo Facebook, que é bem mais prático, taí a página deles. Se o Fêice já não é mais a sua praia, tem também apps dedicados pra Android e iOS.

September 30, 2016
Meu EDC – Setembro de 2016
Oi turma! Lembra quando eu falei de EDC aqui no HBD? Não? Refresque sua memória.
De lá pra cá eu continuo perdidamente viciado em ver EDC dos outros (aliás, ao ler esse texto, tire uma foto do seu e me mande no Twitter). O meu deu uma variada em tempos recentes, e resolvi atualiza-lo aqui no site pra vocês.

Clique pra ver maior
Um por um:
Headphone Bluetooth Meizu EP51. Aguardem a resenha;
Canivete suiço. Os itens mais usados são a pinça (pra aparar a borda da barba e deixar bacaninha) e a tesourinha (cortar unhas e outras coisas aleatórias);
Carteira;
GoPro Hero3+. Preciso retornar ao hábito de fazer vlogs na rua/carro, inclusive;
YotaPhone 2, um celular Android que me foi enviado para uma resenha. Não é um aparelho flagship; seu ponto algo é uma tela eink sensível ao toque na traseira do aparelho;
Nintendo DS Lite. Estou redescobrindo a biblioteca do DS;
Pastilha VapoDrop. Tô meio gripado

September 26, 2016
Episódio 17: Panelas e Dinheiros Falsos
…tedois, tetrês, tequatro, tecinco, teseis, tesete, teoito, tenove, quarenta, lá vou eu!
No episódio desta semana, que atrasou mas foi só um dia dá um desconto aí tia, Izzy “Eu já cogitei usar um saco de Cheetos como camisinha” Nobre e Evandro “Merece cair só pela tigrice” Freitas debatem as notícias mais bizarras do Brasil e do mundo.
►Notícias comentadas
Bebê de um ano fica entalada numa panela, mãe jura que nada teve a ver com a coisa (Enviada por @fernandoblucena, que quando criança ficou preso dentro de uma geladeira)
Casal vietnamita tenta usar sacola plástica como camisinha e acabam no hospital (Enviada pelo @pauloaragao09, que me disse que quando passou férias no Vietnã isso aí era comum)
Supostos terroristas se explodem ao tirar uma selfie (Enviada pelo Carlos Gabriel, que sequer usa celular pois tem medo de que o FBI está usando-o para rastrear suas punhetas)
Casal de religiosos tenta pagar posto de gasolina com dinheiro imaginário (Enviada @vit_orcorrea, que falou que conseguiu aplicar este golpe com sucesso numa escola para cegos)
►Links comentados
“Acharam a Arca de Noé!” e outras lendas urbanas evangélicas
Jake, o cachorro do Evandro Filé com Fritas
Tosei o Jake e não consigo parar de rir quando olho pra ele. Virou outro cachorro.
Izzy Nobre's Blog
- Izzy Nobre's profile
- 5 followers
