Dimitrios Konidaris's Blog, page 2
January 18, 2025
ΣÎΠΦΩ, ÎΣÎÎ 31 & DAVID LYNCH..ÎημήÏÏι...



ÎΠΤÎÎÎÎ ÎÎÎΣÎÎΣ ÎÎÎ ÎÎÎÎÎÎÎÎ Î ÎÎÎΣΠΤÎÎ¥ David Lynch, ÎÎΡÎΣ ΠΡΩΤÎ: «ΤΠΤΡÎÎÎÎ¥ÎΠΤÎÎ¥ JAMES» και TO ÎΣÎÎ 31 ΤÎΣ ΣÎΠΦÎΥΣ Î£Ï Î³ÎºÏίνονÏαι ÎµÎ´Ï Î´Ïο ÏÏαγοÏδια ÏÎ¿Ï ÎµÎ¯Î½Î±Î¹ ιÏÏοÏικά άÏÏεÏα μεÏÎ±Î¾Ï ÏÎ¿Ï Ï. ΩÏÏÏÏο, Ï ÏάÏÏÎ¿Ï Î½ ÏαÏαλληλιÏμοί μεÏÎ±Î¾Ï ÏÏν δÏο ÏÏÎ±Î³Î¿Ï Î´Î¹Ïν ÏÎ¿Ï Î±Î¾Î¯Î¶ÎµÎ¹ να εÏιÏημανθοÏν. Îια ÏÎÏοια άÏκηÏη, καÏά Ïην εξÎÏαÏη δÏο ιÏÏοÏικά άÏÏεÏÏν δομÏν, είναι γνÏÏÏή ÏÏη γλÏÏÏολογία ÏÏ ÏÏ Ïολογική ÏÏγκÏιÏη.

Î ÏÏÏον, Ïο "James's Song" Το "James's Song" εμÏανίζεÏαι ÏÏο Twin Peaks, ÏεζÏν 2 (1990â1991), "Episode 9", Ïε ÏκηνοθεÏία David Lynch και ÏενάÏιο Harley Peyton: Î±Ï ÏÏ Ïο "εÏειÏÏδιο" ÏÏοβλήθηκε για ÏÏÏÏη ÏοÏά Ïο 1990.10.08 μÎÏÏ ÏÎ·Ï American Broadcasting Company (ABC). ÎÏον αÏοÏά ÏÏην Ïλοκή ÏÎ·Ï ÏÏ Î½Î¿Î»Î¹ÎºÎ®Ï Î±ÏήγηÏÎ·Ï Î³Î¹Î± Ïο Twin Peaks, ο ÏαÏακÏήÏÎ±Ï ÏÎ¿Ï James Hurley (James Marshall) ÏÏ Î½Î¿Î´ÎµÏεÏαι (ή αÏηÏεί;) αÏÏ ÏÎ¿Ï Ï ÏαÏακÏήÏÎµÏ ÏÎ·Ï Maddie Ferguson (Sherilyn Fenn) και ÏÎ·Ï Donna Hayward (Lara Flynn Boyle) ÏÏην εÏμηνεία ενÏÏ ÏÏÎ±Î³Î¿Ï Î´Î¹Î¿Ï Î¼Îµ ÏίÏλο "Just You", Ïε ÏÏνθεÏη Angelo Badalamenti, και ÏÏίÏÎ¿Ï Ï David Lynch. Îια να δείÏε Ïην Î±ÎºÎ¿Î»Î¿Ï Î¸Î¯Î± βίνÏεο/ήÏÎ¿Ï ÏÎ¿Ï "James's Song", είναι ÏημανÏÎ¹ÎºÏ Î½Î± βÏείÏε μια ÎκδοÏη YouTube ÏÎ¿Ï Î½Î± ÏεÏιλαμβάνει Ïο μÎÏÎ¿Ï (ÏÏÎ¿Ï Ïο ÏÎλοÏ) ÏÏÎ¿Ï Î· Donna ξεÏεÏγει αÏÏ Ïο ÏÏαγοÏδι, διακÏÏÏονÏÎ±Ï ÎÏÏι Ïην εκÏÎλεÏη και ÏÏÎ¿Ï Î¿ James Ïην Î±ÎºÎ¿Î»Î¿Ï Î¸ÎµÎ¯, αÏήνονÏÎ±Ï Ïην Maddie ολομÏναÏη. Î ÎκδοÏη ÏÎ¿Ï ÏÏηÏιμοÏÎ¿Î¹Ï ÎµÎ´Ï ÎÏει Ïήν ακÏÎ»Î¿Ï Î¸Î· διεÏÎ¸Ï Î½Ïη URL: https://www.youtube.com/watch?v=Ji_K9... Îια Ïο ιÏÏοÏÎ¹ÎºÏ ÏÎ·Ï Î±ÏÏÎ¹ÎºÎ®Ï Î·ÏογÏάÏηÏηÏ, δείÏε Ïο άÏθÏο ÏÎ¿Ï Pieter Dom, 13.08.2017, «ΠÏÏ Î¿ David Lynch, ο Angelo Badalamenti και ο James Marshall ÎγÏαÏαν Ïο «Just You» ÏÎ¿Ï James Hurley»: http://welcometotwinpeaks.com/music/j... Î¥ÏήÏξε εÏανάληÏη ÏÎ¿Ï ÏÏÎ±Î³Î¿Ï Î´Î¹Î¿Ï ÏÎ¿Ï James, 25 ÏÏÏνια αÏγÏÏεÏα, ÏÏηÏιμοÏοιÏνÏÎ±Ï Ïο αÏÏÎ¹ÎºÏ ÎºÎ¿Î¼Î¼Î¬Ïι, ÏÏο Twin Peaks "season 3", "The Return Part/Episode 13", Ïε ÏκηνοθεÏία David Lynch και ÏενάÏιο Mark Frost και David Lynch, ÏÎ¿Ï Î¿ÏÎ¿Î¯Î¿Ï Î· ÏÏÏÏη ÏÏοβολή Îλαβε ÏÏÏαν Ïην 06.08.2017: https://www.youtube.com/watch?v=vxzGG... Î Devon Ivie ÏαίÏνει ÏÏ Î½ÎνÏÎµÏ Î¾Î· αÏÏ Ïον James Marshall ÏÏεÏικά με Î±Ï Ïήν Ïην εÏανάληÏη, ÏÏο Vulture 2017.08.18: http://www.vulture.com/.../twin-peaks...... Îια να ÎºÎ¬Î½Ï Ïα ÏÏάγμαÏα ÏÏο Ïο Î´Ï Î½Î±ÏÏν Ïιο καÏανοηÏά, θα ξεκινήÏÏ Ï ÏοθÎÏονÏÎ±Ï ÏÏι ο αναγνÏÏÏÎ·Ï Î´ÎµÎ½ γνÏÏίζει ÏίÏοÏα για Ïο ÏÏ Î½Î¿Î»Î¹ÎºÏ ÎÏγο Twin Peaks , ÏÏÏÏ Î±Ï ÏÏ ÎµÏινοήθηκε αÏÏ Ïον David Lynch και Ïον Mark Frost. Îεν είναι καν αÏαÏαίÏηÏο, για αÏÏή, να γνÏÏÎ¯Î¶Î¿Ï Î¼Îµ Ïη Î´Î¿Ï Î»ÎµÎ¹Î¬ ÏÎ¿Ï ÏκηνοθÎÏη ή ÏÎ¿Ï Â«Î´Î·Î¼Î¹Î¿Ï ÏγοÏ» ή ÏÎ¿Ï ÏκηνοθÎÏη ÏÎ¿Ï Î±ÏÏολείÏαι ÎºÏ ÏίÏÏ Î¼Îµ Ïο Twin Peaks, David Lynch. ÎÏκεί να ÏημειÏÏÎ¿Ï Î¼Îµ ÎµÎ´Ï ÏÏι ο Lynch είναι εÏίÏÎ·Ï Ï ÏεÏÎ¸Ï Î½Î¿Ï Î³Î¹Î± ÏÎ±Î¹Î½Î¯ÎµÏ ÏÏÏÏ Eraserhead (1977), Wild at Heart (1990), Lost Highway (1997) και Mulholland Drive (2001). Σε Î±Ï ÏÏ ÏÎ¿Ï Î±ÎºÎ¿Î»Î¿Ï Î¸ÎµÎ¯, θα «διαβάÏÏ» μεÏικÎÏ Î±ÏÏ ÏÎ¹Ï Î»ÎµÏÏομÎÏÎµÎ¹ÎµÏ Î±Ï ÏÎ®Ï ÏÎ·Ï ÏÎºÎ·Î½Î®Ï Î¼Îµ Ïο «James's Song», ÏÏοÏÏαθÏνÏÎ±Ï Î½Î± καÏÎ±Î»Î¬Î²Ï ÏÏÏ ÏαιÏÎ¹Î¬Î¶Î¿Ï Î½ Ïλα μαζί. ΣÏÏÏÎ¿Ï Î¼Î¿Ï Î´ÎµÎ½ είναι να «διαβάζÏ» Ïο βίνÏεο/ήÏο ÏÎ·Ï ÏÎºÎ·Î½Î®Ï Î±Î»Î»Î¬ να Â«Î´Î¹Î±Î²Î¬Î¶Ï ÎÎ¾Ï Î±ÏÏ Î±Ï ÏÏ». ΠανάγνÏÏη Î±Ï ÏÎ®Ï ÏÎ·Ï ÏκηνήÏ, θεÏÏÏ, με βοηθά να ÎºÎ¬Î½Ï ÏÏ Î³ÎºÏίÏÎ¹Î¼ÎµÏ ÏÏ ÏÏεÏίÏÎµÎ¹Ï ÏÏαν Î´Î¹Î±Î²Î¬Î¶Ï Ïο ÎÏμα 31 ÏÎ·Ï Î£Î±ÏÏοÏÏ, ÏαÏÏλο ÏÎ¿Ï Î±Ï ÏÏ Ïο ÏÏαγοÏδι είναι ιÏÏοÏικά άÏÏεÏο με Ïο «ΤÏαγοÏδι ÏÎ¿Ï James». Îίμαι αÏκεÏά ÏÎ¯Î³Î¿Ï ÏÎ¿Ï ÏÏι οι Î´Î·Î¼Î¹Î¿Ï Ïγοί ÏÎ¿Ï âJames's Songâ δεν εÏηÏεάÏÏηκαν καθÏÎ»Î¿Ï Î±ÏÏ Ïο ÎÏμα 31 ÏÎ·Ï Î£Î±ÏÏοÏÏ. ÎλÎÏÎ¿Ï Î¼Îµ Ïε Î±Ï Ïήν Ïη Ïκηνή ÏÏÎµÎ¹Ï ÏαÏακÏήÏεÏ, ή, κλαÏικά μιλÏνÏαÏ, ÏÏÎµÎ¹Ï dramatis personae: Îναν νεαÏÏ Î¬Î½Î´Ïα, Ïον M, και δÏο νεαÏÎÏ Î³Ï Î½Î±Î¯ÎºÎµÏ, Ïην F1 ÏÏα δεξιά ÏÎ·Ï Î¿Î¸ÏÎ½Î·Ï ÎºÎ±Î¹ Ïην F2 ÏÏα αÏιÏÏεÏά. ÎÏÏικά, ÏαÏαÏηÏοÏμε μÏνο ÏÏι ο Î ÏÏÎ±Î³Î¿Ï Î´Î¬ÎµÎ¹ ÏÏÎ¹Ï F1 και F2. ΣÏη ÏÏ Î½ÎÏεια, ÏμÏÏ, ÏαÏαÏηÏοÏμε ÏÏι και οι ÏÏÎµÎ¹Ï ÏÏÎ±Î³Î¿Ï Î´Î¿Ïν, αν και οι F1 και F2 αÏλÏÏ ÎµÏÎ±Î½Î±Î»Î±Î¼Î²Î¬Î½Î¿Ï Î½, Ïε ÏÏÏ Î» ηÏοÏÏ, ÏÏάÏÎµÎ¹Ï ÎºÎ»ÎµÎ¹Î´Î¹Î¬ ÏÎ¿Ï ÏÏÎ±Î³Î¿Ï Î´Î¬ÎµÎ¹ ο Î. ÎÏο ÏεÏιÏÏÏÏεÏο ακοÏμε Ïα λÏγια Î±Ï ÏÎ¿Ï ÏÎ¿Ï ÏÏÎ±Î³Î¿Ï Î´Î¬ ο Î, ÏÏÏο Ïιο εÏαναλαμβανÏÎ¼ÎµÎ½ÎµÏ Î³Î¯Î½Î¿Î½Ïαι οι λÎξειÏ. ΠεÏαναληÏÏικÏÏηÏα ÏαÏαÏÏÏει Ïε ÎκÏÏαÏη ÏÎ¹Ï F1 και F2; ΠμÏνο Ïην F2; Î¥ÏάÏÏει κάÏι ÏÏ Î½Î±ÏÏαÏÏÎ¹ÎºÏ ÏÏο ÏÏαγοÏδι; ÎÎ±Î»Ï ÏÎ¿Ï Ï Î±Î½Î±Î³Î½ÏÏÏÎµÏ Î¼Î¿Ï Î½Î± είναι ο κÏιÏÎ®Ï â καθÏÏ ÏαÏÎ±ÎºÎ¿Î»Î¿Ï Î¸Î¿Ïν Ïι ÏÏ Î¼Î²Î±Î¯Î½ÎµÎ¹ ÏÏο βίνÏεο και Ïον ήÏο. Σε Î±Ï ÏÏ ÏÎ¿Ï Î¼ÏÎ»Î¹Ï ÎµÎ¯Ïα, ÏκÏÏιμα ÏÏηÏιμοÏÎ¿Î¹Ï Ïη λÎξη «ειÏαγÏγή» με δÏο ÏÏÏÏÎ¿Ï Ï. ÎνÏικειμενικά, ÎµÎ½Î½Î¿Ï ÏÏι Ïο ÏÏαγοÏδι ίÏÏÏ ÏÏοκαλεί μια ÎκÏÏαÏη Ïε κάÏοιο άÏομο ή ÏÏÏÏÏÏα. Î¥Ïοκειμενικά, ÎµÎ½Î½Î¿Ï ÏÏι ÎµÎ¼ÎµÎ¯Ï Î¿Î¹ ακÏοαÏÎÏ Î¯ÏÏÏ Î±ÏÏίÏÎ¿Ï Î¼Îµ να Î¼Î±Ï Î±ÏÎÏει Ïο ÏÏαγοÏδι και ÎÏÏι να ÏαÏαÏÏ ÏÏμαÏÏε αÏÏ Î±Ï ÏÏ. ΠμήÏÏÏ Ï ÏάÏÏει κάÏÎ¿Î¹Î¿Ï Î¬Î»Î»Î¿Ï Î»ÏÎ³Î¿Ï (εÏÏÏεÏικÏÏ; εξÏÏεÏικÏÏ;) για Ïην είÏοδο Ïε ÎκÏÏαÏη ÏÎ·Ï F1 και ÏÎ·Ï F2 (ή ÏÎ·Ï F2 μÏνο); Îαι Ïάλι, ÎºÎ±Î»Ï ÏÎ¿Ï Ï Î±Î½Î±Î³Î½ÏÏÏÎµÏ Î¼Î¿Ï Î½Î± είναι ο κÏιÏήÏ. ÎÏ ÏÎ¯Î¾Î¿Ï Î¼Îµ μια ÏÏοÏεκÏική μαÏιά ÏÏη διαÏÏÏÏÏη ÏÏην αÏÏή ÏÎ¿Ï ÏÏÎ±Î³Î¿Ï Î´Î¹Î¿Ï: «ÎÏνο εÏÏ ÎºÎ¹ εγÏ, μÏνο εÏÏ ÎºÎ¹ εγÏ, μαζί, για ÏάνÏα, εÏÏÏÎµÏ Î¼Îνοι». James' song (Twin Peaks) YOUTUBE.COM James' song (Twin Peaks) James' song (Twin Peaks) 14 ÏÏ. ÎÏάνÏηÏη ÎÏαίÏεÏη ÏÏοεÏιÏκÏÏηÏÎ·Ï Î¤ÏοÏοÏοιήθηκε ÎημήÏÏÎ¹Î¿Ï Î ÎονιδαÏÎ·Ï Î£Î¥ÎÎΧÎÎÎ Î': ΠδιαÏÏÏÏÏη θα λειÏÎ¿Ï ÏγοÏÏε διαÏοÏεÏικά εάν ÏÏη Ïκηνή εμÏλÎκονÏαν μÏνον δÏο ÏαÏακÏήÏεÏ, αλλά ÎµÎ´Ï Ï ÏάÏÏÎ¿Ï Î½ ÏÏÎµÎ¹Ï ÏαÏακÏήÏεÏ. ΠδιαÏÏÏÏÏη αÏοκλείει Îνα αÏÏ Ïα ÏÏία; Î ÏÏ Î¼ÏοÏοÏμε να ÏοÏμε με βεβαιÏÏηÏα; ÎÏ ÏÎ¬Î¾Î¿Ï Î¼Îµ για άλλα Ïημάδια, ÏÏÏÏ Ïη γλÏÏÏα ÏÎ¿Ï ÏÏμαÏÎ¿Ï - ειδικά ÏÏην εÏαÏή με Ïα μάÏια. ÎξεÏάζονÏÎ±Ï Ïο ÎÏγο ÏÎ¿Ï David Lynch, βÏίÏÎºÏ Ïιο ενδιαÏÎÏον να αναζηÏήÏÏ ÏÎÏοια Ïημάδια, ÏÎ¿Ï Î¼Î¿Ï Î¸Ï Î¼Î¯Î¶Î¿Ï Î½ Ïα ÏήμαÏα ÏÎ¿Ï ÏÏοÎÏÏονÏαι αÏÏ ÏÎ¹Ï Î±ÏÏÎ±Î¯ÎµÏ ÎµÎ»Î»Î·Î½Î¹ÎºÎÏ ÎµÎ¹ÎºÎ±ÏÏικÎÏ ÎºÎ±Î¹ λεκÏικÎÏ ÏÎÏνεÏ, ÏÏÏÏ ÏÏην ÏεÏίÏÏÏÏη ÏÎ¿Ï ÎÏμαÏÎ¿Ï 31 ÏÎ·Ï Î£Î±ÏÏοÏÏ. ÎÎ¿Ï ÏαίνεÏαι εÏίÏÎ·Ï ÎµÎ½Î´Î¹Î±ÏÎÏον να ÏάÏÎ½Ï Î³Î¹Î± κίνηÏÏα. Ποια είναι η λογική ÏÎ¿Ï Î¿Î´Î·Î³ÎµÎ¯ Ïην Ïκηνή με Ïο "James's Song"; ÎιαÏί να ÏÏÎ±Î³Î¿Ï Î´Î®ÏÎ¿Ï Î½ ÏÏία άÏομα κάÏι ÏÎ¿Ï Î±Î½Î±Î³Î³Îλλει Ïην ÎνÏÏη â Ïην αιÏνια ÎνÏÏη, ÏÏι λιγÏÏεÏο â μÏνο δÏο ανθÏÏÏÏν; ÎÏοÏεί να ÏοÏμε ÏÏον ÎµÎ±Ï ÏÏ Î¼Î±Ï: αλλά Ïελικά Î±Ï ÏÏ ÎµÎ¯Î½Î±Î¹ αÏλÏÏ Îνα ÏÏαγοÏδι, και Î±Ï Ïοί οι ÏÏÎµÎ¹Ï ÏαÏακÏήÏÎµÏ ÎµÏμηνεÏÎ¿Ï Î½ αÏλÏÏ Îνα ÏÏαγοÏδι. Îν Ïάξει. ÎκÏμα, μÏοÏοÏμε ÏÏαγμαÏικά να ÏοÏμε ÏÏι δεν Ï ÏάÏÏει ÏαÏÏιÏη μεÏÎ±Î¾Ï (1) ÏÏν ÏαÏακÏήÏÏν και (2) ÏÏν λÎξεÏν ÏÏν ÏÏÎ±Î³Î¿Ï Î´Î¹Ïν ÏÎ¿Ï Ï; Îα μÏοÏοÏÏε να Ï ÏάÏξει ÏαÏÏιÏη ÏÎ·Ï ÎºÎ±ÏάÏÏαÏÎ·Ï ÏÏη Ïκηνή με Ïην καÏάÏÏαÏη ÏÏο ÏÏαγοÏδι; ÎÏ Ïή είναι μια ÏημανÏική εÏÏÏηÏη για μÎνα, καθÏÏ ÏαÏαÏηÏÏ Î¼Î¹Î± μεγάλη ÏÏ Î½Î¬Ïεια ÏÎ¿Ï Ï ÏάÏÏει ÎµÎ´Ï Î¼ÎµÏÎ±Î¾Ï (1) ÏÎ¿Ï ÏÏÎ±Î³Î¿Ï Î´Î¹Î¿Ï ÎºÎ±Î¹ (2) ÏÎ·Ï Î´ÏαμαÏοÏοιημÎÎ½Î·Ï ÎºÎ±ÏάÏÏαÏÎ·Ï ÏÎ¿Ï ÏÏÎ±Î³Î¿Ï Î´Î¹Î¿Ï. ΣÏην «ÏÏαγμαÏική ζÏή», Ïο ÏÏαγοÏδιÏμα ενÏÏ ÏÏÎ±Î³Î¿Ï Î´Î¹Î¿Ï Î¼ÏοÏεί να είναι αÏλÏÏ Ïο ÏÏαγοÏδιÏμα ενÏÏ ÏÏÎ±Î³Î¿Ï Î´Î¹Î¿Ï. Îλλά Î±Ï ÏÏ ÏÎ¿Ï Î²Î»ÎÏÎ¿Ï Î¼Îµ ÎµÎ´Ï Î´ÎµÎ½ είναι «ÏÏαγμαÏική ζÏή»: η ÏÏάξη ÏÎ¿Ï Î½Î± ÏÏÎ±Î³Î¿Ï Î´Î¬Ï Îνα ÏÏαγοÏδι ÏÏ Î½Î¹ÏÏά εξίÏÎ¿Ï Î±Î½Î±ÏαÏάÏÏαÏη (ο ÎÏιÏÏοÏÎÎ»Î·Ï ÎÏει μια λÎξη για Î±Ï ÏÏ: μίμηÏÎ¹Ï - mÄ«mÄsis ), αÏοÏÏαÏιοÏοιημÎνη αÏÏ Ïην «ÏÏαγμαÏική ζÏή», ÏÏÏÏ ÎµÎ¯Î½Î±Î¹ Ïο θÎμα ÏÎ¿Ï ÏÏÎ±Î³Î¿Ï Î´Î¹Î¿Ï. Î Î¼Ï Î¸Î¿ÏλαÏία ÏÎ¿Ï David Lynch για Îνα αγÏÏι ÏÎ¿Ï ÏÏÎ±Î³Î¿Ï Î´Î¬ÎµÎ¹ με δÏο κοÏίÏÏια είναι εξίÏÎ¿Ï Î¼Ï Î¸Î¿ÏλαÏία με Ïο θÎμα ÏÎ¿Ï ÏÏÎ±Î³Î¿Ï Î´Î¹Î¿Ï ÏÎ¿Ï ÏÏÎ±Î³Î¿Ï Î´Î¿Ïν οι ÏανÏαÏÏικοί ÏαÏακÏήÏεÏ. Îι F1 και F2 εÏÎ±Î½Î±Î»Î±Î¼Î²Î¬Î½Î¿Ï Î½ μεÏά Ïο M: «ÎÏνον εÏÏ». ÎεÏά εÏÎ±Î½Î±Î»Î±Î¼Î²Î¬Î½Î¿Ï Î½ μεÏά Ïο Î: «και εγÏ». Σαν μάνÏÏα, Ïο Î¼Î¿Ï ÏÎ¹ÎºÏ Î¶ÎµÏ Î³Î¬ÏÏμα ÏÏ Î¼Î²Î±Î¯Î½ÎµÎ¹ ξανά και ξανά. ΨάÏÎ½Ï ÎµÎ´Ï Î³Î¹Î± ÏÏεÏικά ÏήμαÏα ÏÏη γλÏÏÏα ÏÎ¿Ï ÏÏμαÏοÏ, ειδικά ÏÏην οÏÏική εÏαÏή, ÏÎ¿Ï ÏαιÏÎ¹Î¬Î¶Î¿Ï Î½ με Ïα ÏήμαÏα ÏÏη διαÏÏÏÏÏη ÏÎ¿Ï ÏÏÎ±Î³Î¿Ï Î´Î¹Î¿Ï, ειδικά ÏÏαν οι λÎÎ¾ÎµÎ¹Ï ÏÏÎ¬Î½Î¿Ï Î½ Ïη ÏÏ Î¼Î¼ÎµÏÏία ÏÎ¿Ï ÏÏοκαλεί ÎκÏÏαÏη ÏÎ¿Ï Â«Î¼Ïνο εÏÏ» ÏÏη μία ÏÎ»ÎµÏ Ïά με Ïο «και ÎµÎ³Ï Â» αÏÏ Ïην άλλη ÏÎ»ÎµÏ Ïά. Î¥ÏάÏÏÎ¿Ï Î½ Ïολλά άλλα Ïημεία ενδιαÏÎÏονÏÎ¿Ï ÏÎ¿Ï Î¸Î± μÏοÏοÏÏαν να ενÏαÏθοÏν ÏÏην «ανάγνÏÏή» Î¼Î±Ï ÎµÎ´Ï. ΣημαÏοδοÏÏ Î¼Ïνο μεÏικά αÏÏ Î±Ï Ïά, με Ïη μοÏÏή εÏÏÏήÏεÏν. â ÎιαÏί ο Î ÏÏÎ±Î³Î¿Ï Î´Î¬ÎµÎ¹ με Î³Ï Î½Î±Î¹ÎºÎµÎ¯Î± ÏÏνή; ΣÏη ÏÏ Î½ÎνÏÎµÏ Î¾Î· με Ïον ηθοÏÎ¿Î¹Ï James Marshall, ÏÏÏÏ ÏÏοαναÏÎÏθηκε, ÏÏολιάζει ÏÎ¹Ï Î´Ï ÏÎºÎ¿Î»Î¯ÎµÏ ÏÎ¿Ï ÎµÎ¯Ïε ÏÏο να ÏÏÎ±Î³Î¿Ï Î´Î®Ïει «ÏαλÏÏÎÏο». â Σε Ïοιο Ïημείο ÎÏÎ¿Ï Î¼Îµ ÏÏάÏει (ενν. Ïο κοινÏ) ÏÏη διαÏÏÏÏÏη ÏÎ¿Ï ÏÏÎ±Î³Î¿Ï Î´Î¹Î¿Ï ÏÏαν Ïο ÏÏαγοÏδι διακÏÏÏεÏαι; (ÎÏ ÏÏ Ïο ÎµÎ¯Î´Î¿Ï ÏÎ·Ï Î±ÏήγηÏÎ·Ï ÎµÎ¯Î½Î±Î¹ ÏÏ Î½Î·Î¸Î¹ÏμÎνο ÏαινÏμενο ÏÏην αÏÏαία ελληνική ÏοιηÏική.) â Τι ÏκÎÏÏονÏαι οι M και F1 και F2 ÎµÎ½Ï ÏÏÎ±Î³Î¿Ï Î´Î¿Ïν; â Îηλαδή, Ïι ÏÎÏα ââαÏÏ Ïο ÏÏοÏανÎÏ; â Τι ÏÏ Î½Î±Î¹ÏθήμαÏα 'ÏαÏιÏÏάνονÏαι' αÏÏ ÏÎ¿Ï Ï ÏαÏακÏήÏÎµÏ ÎºÎ±Ïά Ïην εκÏÎλεÏη ÏÎ¿Ï ÏÏÎ±Î³Î¿Ï Î´Î¹Î¿Ï; ÎναλλακÏικÎÏ ÎµÏιλογÎÏ Î³Î¹Î± να διαλÎξεÏε: ââ οίκÏÎ¿Ï [ÏÏÎ¹Ï ÎµÎ»Î»Î·Î½Î¹ÎºÎÏ ÏαÏαδÏÏειÏ, ο οίκÏÎ¿Ï ÎµÎ¯Î½Î±Î¹ μια Îλξη ÏÎ¿Ï Î½Î¹ÏÎ¸ÎµÎ¹Ï ÏÏÎ¿Ï ÎºÎ¬Ïοιον εξαιÏÎ¯Î±Ï ÏÎ¿Ï ÏÏÎ½Î¿Ï ÏÎ¿Ï ] ââ ÏÏÎ²Î¿Ï [ÏÏην ελληνική ÏαÏάδοÏη, ο ÏÏÎ²Î¿Ï ÎµÎ¯Î½Î±Î¹ μια αÏÏθηÏη ÏÎ¿Ï Î½Î¹ÏÎ¸ÎµÎ¹Ï Î±ÏÏ ÎºÎ¬Ïοιον εξαιÏÎ¯Î±Ï ÏÎ¿Ï ÏÏÎ½Î¿Ï ÏÎ¿Ï ] -- Î¸Ï Î¼ÏÏ -- μίÏÎ¿Ï -- αγάÏη ââ ÏÏγÏÏ Ïη [Î±Ï ÏÏ ÎµÎ¯Î½Î±Î¹ Îνα γνήÏιο ÏÏ Î½Î±Î¯Ïθημα ÏÏο ÎµÎ»Î»Î·Î½Î¹ÎºÏ ÎÏÎ¿Ï ÎºÎ±Î¹ Ïην ÏÏαγÏδία. εÏίÏÎ·Ï ÏÏην αναγεννηÏιακή και μεÏααναγεννηÏιακή ÏÏεÏα!] â Τι ÏÏÎÏη ÎÏÎ¿Ï Î½ Î±Ï Ïά Ïα ÏÏ Î½Î±Î¹ÏθήμαÏα με Ïη διαÏÏÏÏÏη ÏÎ¿Ï ÏÏÎ±Î³Î¿Ï Î´Î¹Î¿Ï; Σε Î±Ï ÏÏ Ïο Ïημείο, ÏÏÏÎÏομαι Ïε Ïιο ÏÏ Î³ÎºÎµÎºÏιμÎÎ½ÎµÏ Î»ÎµÏÏομÎÏειεÏ, οι οÏÎ¿Î¯ÎµÏ ÏÏεÏίζονÏαι με (1) Ïη ÏÏ Î½Î¿Î»Î¹ÎºÎ® Ïλοκή ÏÎ¿Ï ÎÏÎ³Î¿Ï Twin Peaks ÏÏÏÏ Î´Î·Î¼Î¹Î¿Ï Ïγήθηκε αÏÏ ÏÎ¿Ï Ï David Lynch και Mark Frost ή/και (2) ÏÎ¹Ï ÏεÏνικÎÏ ÎºÎ¹Î½Î·Î¼Î±ÏογÏαÏÎ¹ÎºÎ®Ï Î´Î·Î¼Î¹Î¿Ï ÏÎ³Î¯Î±Ï ÏÎ¿Ï David Lynch και Ïην καλλιÏεÏνική ÏÎ¿Ï Î±ÏζÎνÏα ÎºÎ±Î¸ÎµÎ±Ï Ïήν. ΣÏη ÏÏ Î½ÎÏεια, ÏÏÎÏει να Î²Î¬Î»Ï Ïε ηÏογÏάÏηÏη Ïη δική Î¼Î¿Ï Â«ÎµÎ¹Î´Î¿ÏοίηÏη spoiler»⦠ÎÏοδεικνÏεÏαι ÏÏι η ÏÏ Î½Î¿Î»Î¹ÎºÎ® Ïλοκή ÏÎ·Ï Î±ÏήγηÏÎ·Ï ÏÏν Twin Peaks είναι αÏαÏÏολημÎνη με Ïο ÏαμανιÏÏÎ¹ÎºÏ Î¸Îμα ÏÏν δÏο ÏÎ»ÎµÏ ÏÏν για κάθε άÏομο και δÏο ÏÎ»ÎµÏ ÏÏν για Ïα ÏάνÏα ÏÏον κÏÏμο. Î¥ÏάÏÏÎ¿Ï Î½ Ïολλά λαογÏαÏικά ÏÏοιÏεία ενÏÏμαÏÏμÎνα ÏÏο βίνÏεο/ηÏηÏÎ¹ÎºÏ Î±Ïήγημα, ÏÎ¿Ï ÏÏοÎÏÏονÏαι ÎºÏ ÏίÏÏ Î±ÏÏ ÏολιÏιÏμοÏÏ ÏÏν ιθαγενÏν ÏÎ·Ï ÎμεÏÎ¹ÎºÎ®Ï ÏÏα ÎÎ ÏÎ·Ï ÎÏÏÎµÎ¹Î±Ï ÎμεÏικήÏ. Îάθε ÏαÏακÏήÏαÏ, αÏοδεικνÏεÏαι, ÎÏει δÏο ÎµÎ±Ï ÏοÏÏ: ÎºÎ±ÎºÏ ÎºÎ±Î¹ καλÏ, νεκÏÏ ÎºÎ±Î¹ ζÏνÏανÏ, και οÏÏÏ ÎºÎ±Î¸ÎµÎ¾Î®Ï. âΧαÏακÏήÏÎ±Ï F2 = Maddie: είναι η εÏιζήÏαÏα ξαδÎÏÏη και η διÏλή ÏÎ¿Ï ÏÏμαÏÎ¿Ï ÏÎ·Ï Laura Palmer, η οÏοία είÏε ÏκοÏÏθεί ÏÏικÏά Ïε ÏαλαιÏÏεÏο Ïημείο ÏÎ·Ï ÏÏ Î½Î¿Î»Î¹ÎºÎ®Ï Î¹ÏÏοÏίαÏ. 14 ÏÏ. ÎÏάνÏηÏη ΤÏοÏοÏοιήθηκε ÎημήÏÏÎ¹Î¿Ï Î ÎονιδαÏÎ·Ï Î£Î¥ÎÎΧÎÎÎ Î': âΧαÏακÏήÏÎ±Ï Î = ΤζÎιμÏ: είναι ο ÏÏÏην εÏαÏÏÎ®Ï ÏÎ·Ï ÎÏÏα ΠάλμεÏ. Σε Ïλη Ïην Ïλοκή ÏÎ¿Ï Twin Peaks , άλλοι ÏαÏακÏήÏÎµÏ Ïον αναÏÎÏÎ¿Ï Î½ ÏÏαθεÏά ÏÏ "The Secret Boyfriend". ΠοÏΠδεν θα ξεÏεÏάÏει Ïη θλίÏη ÏÎ·Ï Î±ÏÏÎ»ÎµÎ¹Î±Ï ÏÎ·Ï ÎÎ¬Î¿Ï Ïα και θα Ïην αγαÏήÏει για ÏάνÏα ακÏμα και ÏÏο θάναÏο. âΧαÏακÏήÏÎ±Ï F1 = Donna: είναι ο ÏημεÏινÏÏ ÎµÏαÏÏÎ®Ï ÏÎ¿Ï James και η ÏÏÏην καλÏÏεÏη Ïίλη ÏÎ·Ï Laura και η ÏημεÏινή καλÏÏεÏη Ïίλη ÏÎ·Ï Maddie. Îεν θα κεÏδίÏει ÏοÏÎ Ïην αÏÏÎ»Ï Ïη αγάÏη ÏÎ¿Ï Î¤Î¶ÎιμÏ. Τον ÏÏλο ÏÎ·Ï Maddie εÏμηνεÏει ο Î¯Î´Î¹Î¿Ï Î·Î¸Î¿ÏοιÏÏ ÏÎ¿Ï Ïαίζει Ïο ÏÏλο ÏÎ·Ï Laura Palmer ÏÏÎ¹Ï Î±Î½Î±Î´ÏομÎÏ ÏÎ¿Ï Î¿Î´Î·Î³Î¿Ïν ÏÏην κολαÏιακή δολοÏονία. ΠδολοÏÏÎ½Î¿Ï Î±ÏοδεικνÏεÏαι ÏÏι είναι ÎÎ½Î±Ï Î±ÏÏ ÏÎ¿Ï Ï Ïιο κονÏινοÏÏ ÎºÎ±Î¹ αγαÏημÎÎ½Î¿Ï Ï ÏÎ·Ï ÎÏÏα: εÏαÏÏήÏ; ÎÎ½Î±Ï ÏίλοÏ; ÏÏ Î³Î³ÎµÎ½Î®Ï; âη Ïλοκή κÏαÏά ακÏμα άγνÏÏÏη Ïην ÏÎ±Ï ÏÏÏηÏά ÏÎ¿Ï Ïε Î±Ï ÏÏ Ïο Ïημείο. ÎÏ ÏÏÏ Î¿ δολοÏÏÎ½Î¿Ï ÎµÎ¯Ïε καÏαληÏθείâÏÏι αÏÏ Â«Îναν» διάβολο αλλά αÏÏ Â«Ïον» Îιάβολο, δηλαδή αÏÏ Îναν δαίμονα ÏÎ¿Ï ÎµÎ¯Î½Î±Î¹ η ενÏάÏκÏÏη ÏÎ¿Ï Î±ÏÏÎ»Ï ÏÎ¿Ï ÎºÎ±ÎºÎ¿Ï. Î ÎαίμοναÏ, Ïε μια ÏειÏά αναδÏομÏν ÏÎ¿Ï Î´ÎµÎ¯ÏÎ½Î¿Ï Î½ Ïη ÏÏικÏή δολοÏονία ÏÎ·Ï ÎÏÏα, εμÏανίζεÏαι Ïε ανθÏÏÏινη μοÏÏή ÏÏ Â«ÎÏομÏ». Το Ïνομα «ÎÏομÏ» είναι κοινÏÏοÏο, αλλά Ïα δαιμονικά βλÎμμαÏά ÏÎ¿Ï ÎºÎ±Î¹ οι κολαÏμÎνοι ήÏοι ÏÎ¿Ï Ïον ÏÏ Î»Î¯Î³Î¿Ï Î½ ÏÏοÏε εμÏανίζεÏαι -και Ï ÏάÏÏÎ¿Ï Î½ λεκÏικÎÏ ÎµÎ½Î´ÎµÎ¯Î¾ÎµÎ¹Ï Î³Î¹Î± Ïα θεοÏάνειά ÏÎ¿Ï - είναι ÏοκαÏιÏÏικά και ενοÏληÏικά. ÎÎ¹Î»Î¬Ï ÎµÎ´Ï Î±ÏÏ Ïη δική Î¼Î¿Ï Î¶Î¿ÏεÏή εμÏειÏία θÎαÏηÏ. Το Ïνομα ÏÎ¿Ï Bob είναι ÏÏ Ïικά Îνα ÏαλίνδÏομο, ÏÎ¿Ï Î±ÎºÎ¿ÏγεÏαι με Ïον ίδιο ÏÏÏÏο ÏÏÏο ÏÏÎ¿Ï Ïα εμÏÏÏÏ ÏÏο και ÏÏÎ¿Ï Ïα ÏίÏÏ: Ïε διάÏοÏα ÏÏοβλÎÏιμα Ïημεία ÏÎ·Ï Î¿ÏÏÎ¹ÎºÎ®Ï Î±ÏήγηÏÎ·Ï ÏÎ¿Ï , ο ÏκηνοθÎÏÎ·Ï Î´ÏαμαÏοÏοιεί Ïον αναγÏαμμαÏιÏÎ¼Ï ÏÏοβάλλονÏÎ±Ï Î±Î½ÏίÏÏÏοÏα μεÏικÎÏ Î±ÏÏ ÏÎ¹Ï ÏκηνÎÏ flash-forward ÏÎ¿Ï Î´ÎµÎ¯ÏÎ½Î¿Ï Î½ ÏÏοÏηÏικÎÏ ÏιγοÏÏÎµÏ Î½Î± ÏÏοÏÎÏÎ¿Ï Î½ Ïο Ïνομα ÏÎ¿Ï BOB. Î¥ÏάÏÏει ÎÎ½Î±Ï Î½Î¬Î½Î¿Ï ÏÎ¿Ï Ïονίζει: "ÎÏ Î¬Î¿Ï , ÎÏομÏ, ÎÏ Î¬Î¿Ï !" ÎÏÏι, ÎµÎ´Ï ÎÏÎ¿Ï Î¼Îµ Îνα άλλο ÏαλίνδÏομο â Îνα Ïιο Î´Î¹ÎµÏ ÏÏ Î¼Îνο. ΠεÏιÏÏÏ Î½Î± ÏοÏμε ÏÏι Ïο Twin Peaks εμÏανίζει Ïε διαÏοÏεÏικÎÏ ÏÏιγμÎÏ, ÏÏÏο ÏÏÎ¿Ï Ïα εμÏÏÏÏ ÏÏο και ÏÏÎ¿Ï Ïα ÏίÏÏ, Ïην ίδια δÏαμαÏική ÏειÏά. ÎίÏε ÏÏÎ¿Ï Ïα εμÏÏÏÏ ÎµÎ¯Ïε ÏÏÎ¿Ï Ïα ÏίÏÏ, με ÏÏÏβλεÏη ή εκ ÏÏν Ï ÏÏÎÏÏν, Ïα ηÏεία ÏαίÏÎ½Î¿Ï Î½ Ïο Ïνομα ÏÏÏÏά. Î BOB είναι BOB. Îίλα για Ïον Îιάβολο, και εμÏανίζεÏαι. ΠεμÏάνιÏή ÏÎ¿Ï ÎµÎ¯Î½Î±Î¹ ÏάνÏα μια ÏÏικÏή εκδοÏή Î¼Î¹Î±Ï ÎµÏιÏανείαÏ. ÎμÎÏÏÏ Î¼ÎµÏά Ïη Ïκηνή με Ïο "James's Song", ο BOB εμÏανίζεÏαι ÏÏη Maddie Ïε μια ÏÎ¿Î»Ï ÎºÎ±ÎºÎ® εÏιÏάνεια. Îίναι καÏαδικαÏμÎνη να Ïεθάνει με Ïον ίδιο θάναÏο ÏÎ¿Ï ÏÎθανε και η ÎÏÏα. Îια αναÏÏιÏιαÏÏική Ïκηνή. Î M ÏÏÎ±Î³Î¿Ï Î´Î¬ ÏÏο F2 μαζί με Ïο F1, και καθÏÏ Î¿ F1 μαζί με Ïον F2 ÏÏÎ±Î³Î¿Ï Î´Î¿Ïν ÏίÏÏ ÏÏον M Ïα λÏγια ÏÎ¿Ï ÏÎ¿Ï Î´Î¹Î±ÎºÎ·ÏÏÏÏÎ¿Ï Î½ μια αιÏνια ÎνÏÏη ÏÎ¿Ï ÏÏ Î½Î´Îει Ïο ÏÏÏÏο γÏαμμαÏÎ¹ÎºÏ Î¬Ïομο "I" με Ïο δεÏÏεÏο γÏαμμαÏÎ¹ÎºÏ Î¬Ïομο "εÏÏ" ÏÎ¿Ï ÎµÎ¯Î½Î±Î¹ για ÏάνÏα εÏÏÏÎµÏ Î¼ÎνοÏ, Ïι είναι Ïο αÏοÏÎλεÏμα ο οÏιÏÏικÏÏ Î±ÏοκλειÏμÏÏ ÏÎ¿Ï ÏÏίÏÎ¿Ï Î³ÏαμμαÏÎ¹ÎºÎ¿Ï ÏÏοÏÏÏÎ¿Ï , ÏÎ¿Ï Î¸Î± γίνει Â«Î±Ï Ïή». ÎαθÏÏ Ïο ÏÏαγοÏδι ÏÏοÏÏÏάει, η κάμεÏα ÏÏ Î»Î»Î±Î¼Î²Î¬Î½ÎµÎ¹ âγια μια ÏÏιγμήâ μια δαιμονική μαÏιά ÏÏα μάÏια ÏÎ·Ï F2.

Îια Ïην F2, Î±Ï ÏÏ Î³Î¯Î½ÎµÏαι Îνα ÏÎ»Î±Ï ÏÏÎ¿Ï Ïα εμÏÏÏÏ Ïε Îναν θάναÏο ÏÎ¿Ï Î±Î½Î±ÏαÏάγει Ïον ÏÏÏÏαÏÏÎ¹ÎºÏ Î¸Î¬Î½Î±Ïο ÏÎ¿Ï Î´Î¹ÏÎ»Î¿Ï ÏÎ·Ï ÏÏμαÏοÏ, ÏÎ¿Ï ÎµÎ¯Ïε ÏÏοκαλÎÏει Ïη θλίÏη ÏÎ¿Ï ÏÏÏα οδηγεί Ïην αγάÏη ÏÎ·Ï Î-

TwinPeaks_shot 3 ÏÎ¿Ï Î¼Îµ Ïη ÏειÏά ÏÎ¿Ï ÏÏÏα οδηγεί Ïον οίκÏο και Ïον ÏÏβο ÏÎ·Ï F1.

TwinPeaks_shot 2 Îλλά για Ïην F1 Ï ÏάÏÏει εÏίÏηÏ, ÏÎ¬Î½Ï Î±Ï' Ïλα, αγάÏη (ÏÏÏÎ¯Ï Î±Î½ÏαÏÏδοÏη) και θλίÏη για μÏνιμη αÏÏλεια.

TwinPeaks_shot 4 Το ÏÏαγοÏδι Ïα λÎει Ïλα, εÏαναλαμβάνονÏÎ±Ï Ïο ξανά και ξανά ÏÏη γλÏÏÏα ÏÎ¿Ï Ïεξ, ÏÎ¿Ï Î¸Î±Î½Î¬ÏÎ¿Ï ÎºÎ±Î¹ ÏÎ·Ï ÏÏγÏÏ ÏηÏ. 14 ÏÏ. ÎÏάνÏηÏη ÎημήÏÏÎ¹Î¿Ï Î ÎονιδαÏÎ·Ï Î£Î¥ÎÎΧÎÎÎ Î': ÎεÏÏεÏον,
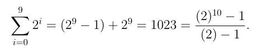
ÎΣÎÎ 31 ΤÎΣ ΣÎΠΦÎΥΣ ÎÎ´Ï ÎµÎ¯Î½Î±Î¹ Ïο άÏμα, Î±ÎºÎ¿Î»Î¿Ï Î¸Î¿Ïμενο αÏÏ Ïη δική Î¼Î¿Ï {Nagy} μεÏάÏÏαÏη: ÎÏα 5 Îείμενο Î| 1 ÏαίνεÏαί μοι κá¿Î½Î¿Ï á¼´ÏÎ¿Ï Î¸ÎοιÏιν | 2 á¼Î¼Î¼ÎµÎ½' ὤνηÏ, á½ÏÏÎ¹Ï á¼Î½Î¬Î½ÏιÏÏ Ïοι | 3 á¼°Ïδάνει καὶ ÏλάÏιον á¼Î´Ï ÏÏνεί-| 4 ÏÎ±Ï á½ÏακοÏει | 5 καὶ γελαίÏÎ±Ï á¼°Î¼ÎÏοεν, ÏÏ Î¼' ἦ μὰν | 6 καÏδίαν á¼Î½ ÏÏήθεÏιν á¼ÏÏÏαιÏεν, | 7 á½ Ï Î³á½°Ï á¼Ï Ï' á¼´Î´Ï Î²ÏÏÏε' á½¤Ï Î¼Îµ ÏÏναι-| 8 Ï' οá½Î´' á¼Î½ á¼Ï' εἴκει, | 9 á¼Î»Î»á½° κὰμ μὲν γλῶÏÏα á¼Î±Î³Îµ λÎÏÏον | 10 δ' αá½Ïικα ÏÏῶι Ïá¿¦Ï á½ÏαδεδÏÏμηκεν, | 11 á½ÏÏάÏεÏÏι δ' οá½Î´' á¼Î½ á½Ïημμ', á¼ÏιÏÏÏμ-| 12 βειÏι δ' á¼ÎºÎ¿Ï αι, | 13 κάδ δΠμ' ἴδÏÏÏ ÎºÎ±ÎºÏÎεÏαι ÏÏÏÎ¼Î¿Ï Î´á½² | 14 Ïαá¿Ïαν á¼Î³Ïει, ÏλÏÏοÏÎÏα δὲ ÏÎ¿Î¯Î±Ï | 15 á¼Î¼Î¼Î¹, Ïεθνάκην δ' á½Î»Î¯Î³Ï 'ÏιδεÏÎ·Ï | 16 Ïαίνομ' á¼Î¼' αá½Ïαι· | 1
ΦαίνεÏαι [ ÏαίνεÏαι ] Ïε μÎνα, εκείνοÏ, ίÏÎ¿Ï Î¼Îµ ÏÎ¿Ï Ï Î¸ÎµÎ¿ÏÏ [ ίÏÎ¿Ï Î¸ÎµÎ¿Î¯Ïιν ], | 2 ÎµÎºÎµÎ¯Î½Î¿Ï Î¿ άνθÏÏÏÎ¿Ï ÏÎ¿Ï , αÏÎνανÏί ââÏÎ¿Ï | 3 κάθεÏαι και, αÏÏ ÎºÎ¿Î½Ïά, εκείνη η Î³Î»Ï ÎºÎ¹Î¬ ÏÏνή ÏÎ¿Ï | 4 ακοÏει, | 5 και ÏÏÏ Î³ÎµÎ»Î¬Ï Îνα γÎλιο ÏÎ¿Ï ÏÎÏνει εÏÎ¹Î¸Ï Î¼Î¯Î±. ÎιαÏί, αÏλά | 6 κάνει Ïην καÏδιά Î¼Î¿Ï Î½Î± ÏÏεÏÎ¿Ï Î³Î¯Î¶ÎµÎ¹ μÎÏα ÏÏο ÏÏÎ®Î¸Î¿Ï Î¼Î¿Ï . | 7 ÎλÎÏειÏ, Ïη ÏÏιγμή ÏÎ¿Ï Ïε κοιÏάζÏ, ακÏιβÏÏ ÏÏÏε, για μÎνα | 8 για να Î²Î³Î¬Î¶ÎµÎ¹Ï ÎºÎ±Î¸ÏÎ»Î¿Ï Î®Ïο δεν θα λειÏÎ¿Ï Ïγεί Ïια. | 9 ΠγλÏÏÏα Î¼Î¿Ï ÎÏει ÏÏάÏει και μια λεÏÏή | 10 âξαÏνικάâ η ÏÏÏιά ÎºÏ Î»Î¬ÎµÎ¹ κάÏÏ Î±ÏÏ Ïο δÎÏμα Î¼Î¿Ï . | 11 Îε Ïα μάÏια Î¼Î¿Ï Î´ÎµÎ½ βλÎÏÏ ÏίÏοÏα, και Ï ÏάÏÏει βÏÏ ÏηθμÏÏ | 12 Ïα Î±Ï Ïιά Î¼Î¿Ï ÎºÎ¬Î½Î¿Ï Î½. | 13 ÎδÏÏÏÎ±Ï Î¼Îµ ÏÏνει και ÏÏÎÎ¼Î¿Ï Î»Î¿ | 14 με αÏÏάζει Ïλο. Ïιο ÏλÏÎ¼Ï Î±ÏÏ Ïο γÏαÏίδι | 15 είμαι, και λίγο ÏÏιν αÏÏ Ïον θάναÏο | 16 Ïαίνομαι [ Ïαίνομαι ] ÏÏον ÎµÎ±Ï ÏÏ Î¼Î¿Ï . Îια να ÏÏηÏιμοÏοιήÏÏ Ïην οÏολογία ÏÎ¿Ï ÏÏηÏιμοÏοίηÏα για Ïο "James's Song", ÎÏÎ¿Ï Î¼Îµ ÎµÎ´Ï Î¼Î¹Î± καÏάÏÏαÏη ÏÏÎ¿Ï Î· F1, η οÏοία είναι Îνα Î¸Î·Î»Ï ÎºÏ "εγÏ", μιλά ÏÏην F2, η οÏοία είναι μια Î³Ï Î½Î±Î¯ÎºÎ± "εÏÏ", για Ïον Î, ÏÎ¿Ï ÎµÎ¯Î½Î±Î¹ ο "Î±Ï ÏÏÏ". Ïε Î±Ï Ïή Ïην καÏάÏÏαÏη. ÎÏ ÏÏ ÏÎ¿Ï Î±ÎºÎ¿Î»Î¿Ï Î¸ÎµÎ¯ είναι μια εÏιÏομή ÏÎ·Ï Î±Î½Î¬Î»Ï ÏÎ®Ï Î¼Î¿Ï Î³Î¹Î± Î±Ï ÏÏ Ïο ÏÏαγοÏδι ÏÏο H24H 5§§38â48, 82â87:
{ΣÎΠΦΩ αÏ. 31 Lobel-PageÏαίνεÏαί μοι κá¿Î½Î¿Ï á¼´ÏÎ¿Ï Î¸ÎοιÏινá¼Î¼Î¼ÎµÎ½á¾½ ὤνηÏ, á½ÏÏÎ¹Ï á¼Î½Î¬Î½ÏιÏÏ ÏοιἰÏδάνει καὶ ÏλάÏιον á¼Î´Ï ÏÏνεί-4ÏÎ±Ï á½ÏακοÏεικαὶ γελαίÏÎ±Ï á¼°Î¼ÎÏοεν, ÏÏ Î¼á¾½ ἦ μὰνκαÏδίαν á¼Î½ ÏÏήθεÏιν á¼ÏÏÏαιÏενÎá½ Ï Î³á½°Ï á¼Ï Ïá¾½ á¼´Î´Ï Î²ÏÏÏε᾽, á½¤Ï Î¼Îµ ÏÏναι-8Ïá¾½ οá½Î´á¾½ á¼Î½ á¼Ïá¾½ εἴκει,á¼Î»Î»á¾½ á¼ÎºÎ±Î½ μὲν γλῶÏÏα â á¼Î±Î³Îµâ , λÎÏÏονδ᾽ αá½Ïικα ÏÏῶι Ïá¿¦Ï á½ÏαδεδÏÏμηκεν,á½ÏÏάÏεÏÏι δ᾽ οá½Î´á¾½ á¼Î½ á½Ïημμ᾽, á¼ÏιÏÏÏμ-12βειÏι δ᾽ á¼ÎºÎ¿Ï αι,â Îκαδε μ᾽ ἴδÏÏÏ ÏῦÏÏÎ¿Ï ÎºÎ±ÎºÏÎεÏαιâ , ÏÏÏÎ¼Î¿Ï Î´á½²Ïαá¿Ïαν á¼Î³Ïει, ÏλÏÏοÏÎÏα δὲ ÏοίαÏá¼Î¼Î¼Î¹, Ïεθνάκην δ᾽ á½Î»Î¯Î³Ï á¾½ÏιδεÏηÏ16Ïαίνομ᾽ á¼Î¼á¾½ αá½ÏαιÎá¼Î»Î»á½° Ïὰν ÏÏλμαÏον á¼Ïεὶ â καὶ ÏÎνηÏαâ }
{ΣÏÎ: ΣÎΠΦΩ, ÎΣÎÎ 31, αÏÏδοÏη ÎÎΥΤÎÎΡÎΣ
ÎÎ¿Ï ÏαίνεÏαι ίÏÎ¿Ï Î¼Îµ θεοÏÏ ÏÏÏ ÎµÎ¯Î½Î±Î¹Î¿ άνÏÏÎ±Ï Î±Ï ÏÏÏ, ÏÎ¿Ï ÎºÎ¬Î¸ÎµÏαι ανÏικÏÏ ÏÎ¿Ï ,κι ÏÏαν Î¼Î±Î³ÎµÏ Ïικά Î¼Î¹Î»ÎµÎ¯Ï ÎºÎ¿Î½Ïά ÏÎ¿Ï Ïε Î³Î»Ï ÎºÎ±ÎºÎ¿ÏειÎκι ÏÏαν ÏαÏιÏÏμÎνα ÏÎ¿Ï Î³ÎµÎ»Î¬ÏειÏ,μÎÏα ÏÏα ÏÏήθια Î¼Î¿Ï Î· καÏδιά ÏÏαÏάζει.ÎιαÏί ÏÏ Ïε Î¹Î´Ï Î¼Î¿Ï ÏιάνεÏαι η ÏÏνή Î¼Î¿Ï ÏÏÏÎµÏ Î±Î¼ÎÏÏÏ,μα κι είναι ÏÏ Î½Î± Î¼Î¿Ï ÎºÏÏηκε κι η γλÏÏÏαÎκι αμÎÏÏÏ Î¼ÎÏá¾½ αÏá¾½ Ïο κοÏμί Î¼Î¿Ï ÎºÎ¬ÏοιαÏÏÏιά ÏεÏνάει, Ïα μάÏια Î¼Î¿Ï Î´Îµ βλÎÏÎ¿Ï Î½,Ïá¾½ Î±Ï Ïιά Î²Î¿Ï Î¯Î¶Î¿Ï Î½,ίδÏÏÏÎ±Ï ÎºÏÏÎ¿Ï Î¼Îµ λοÏζει κι Ïλη ÏÏÎμÏ,και γίνομαι Ïιο ÏÏάÏινη αÏá¾½ Ïο ÏÏÏÏο,και Ïαίνομαι, ÏÏÏ Î»Î¯Î³Î¿ θÎÎ»Ï Î±ÎºÏμηγια να ÏεθάνÏâ¦..}
§38. Î ÏÏÏÎ¿Ï ÏαίνεÏαι, 'εμÏανίζεÏαι', ÏÏη γÏαμμή 1 Î±Ï ÏÎ¿Ï ÏÎ¿Ï ÏÏÎ±Î³Î¿Ï Î´Î¹Î¿Ï ÎºÎ±Î¹ ο ÏÏÏÎ¿Ï Ïαίνομαι , 'Ïαίνομαι', ÏÏη γÏαμμή 16 είναι Ïο ÏÏίÏο και Ïο ÏÏÏÏο ÏÏÏÏÏÏο ενÏÏ ÏήμαÏÎ¿Ï ÏÎ¿Ï ÏÏεÏίζεÏαι με Ïο Î¿Ï ÏιαÏÏÎ¹ÎºÏ phantasiÄ, μια ÏαÏάγÏγη μοÏÏή ÏÎ¿Ï Ïημαίνει 'ÏανÏαÏίαÏ» ÏÏη μεÏαγενÎÏÏεÏη ελληνική ÏεζογÏαÏία. Î, για να Ïο θÎÏÏ Î±ÎºÏιβÎÏÏεÏα, phantasiÄ Ïημαίνει «ÏανÏαÏμÎνο ÏÏαμα» ή «ÏανÏαÏία». Παγγλική λÎξη fantasy, ÏÎ¿Ï ÏÏοÎÏÏεÏαι αÏÏ Ïο phantasiÄ , είναι ÏÏην ÏÏαγμαÏικÏÏηÏα ÏαÏαÏλανηÏική ÏÏ Î¼ÎµÏάÏÏαÏη, καθÏÏ Î±Ï Ïή η λÎξη Ï ÏοδηλÏνει Îνα ÏÏαμα ÏÎ¿Ï Î´ÎµÎ½ είναι ÏÏαγμαÏικÏ. ΣÏην ÎºÎ¿Ï Î»ÏοÏÏα ÏÎ¿Ï Î±ÏÏÎ±Î¯Î¿Ï ÎµÎ»Î»Î·Î½Î¹ÎºÎ¿Ï ÏÏÎ±Î³Î¿Ï Î´Î¹Î¿Ï, ÏÏÏÏÏο, δεν Ï ÏάÏÏει «ÏανÏαÏία» για Ïο ÎµÎ¯Î´Î¿Ï ÏÎ¿Ï Î¿ÏάμαÏÎ¿Ï ÏÎ¿Ï ÏαίνεÏαι ÎµÎ´Ï ÏÏο ΤÏαγοÏδι 31 ÏÎ·Ï Î£Î±ÏÏοÏÏ. ÎÏ ÏÏ Ïο ÎµÎ¯Î´Î¿Ï Î¿ÏάμαÏÎ¿Ï ÎµÎ¯Î½Î±Î¹ μια εÏιÏάνεια, και ÏÏÏα ÏÏηÏιμοÏÎ¿Î¹Ï ÎµÎ´Ï Î¼Î¹Î± άλλη λÎξη ÏÎ¿Ï ÏÏην ÏÏαγμαÏικÏÏηÏα ÏÏοÎÏÏεÏαι αÏÏ Ïο ίδιο Ïήμα ÏαίνεÏαι , «εμÏανίζεÏαι», / Ïαίνομαι, «Ïαίνομαι», ÏÏÏÏ Ïο είδαμε μÏÎ»Î¹Ï ÏÏÎ¹Ï Î³ÏαμμÎÏ 1/16. Î ÎÏιÏάνεια είναι Îνα ÏÏαμα ÏÎ¿Ï Î³Î¯Î½ÎµÏαι αιÏθηÏÏ Î½Î± είναι ÏÏαγμαÏικÏ, ÏÏι εξÏÏÏαγμαÏικÏ. Îίναι η εμÏάνιÏη κάÏι θεÏκοÏ, κάÏι ÏÎ¿Ï ÎµÎ½Î½Î¿ÎµÎ¯Ïαι ÏÏι είναι αÏολÏÏÏÏ ÏÏαγμαÏικÏ.
§39. Το Â«Î±Ï ÏÏÏ» ÏÏη γÏαμμή 1 Î±Ï ÏÎ¿Ï ÏÎ¿Ï ÏÏÎ±Î³Î¿Ï Î´Î¹Î¿Ï Î±Î½Î±ÏÎÏεÏαι Ïε Îναν γαμÏÏÏ ÎºÎ±Î¹ θεÏÏείÏαι θεÏÏ Ïη ÏÏιγμή ÏÎ¿Ï ÏÏÎ±Î³Î¿Ï Î´Î¬ÎµÎ¹ Î±Ï ÏÏ Ïο ÏÏαγοÏδι. Îίναι Ïαν να εμÏανίÏÏηκε ÎÎ½Î±Ï Î¸ÎµÏÏ Ïε γάμο. ΣÏα λÏγια ÏÎ·Ï Î³ÏÎ±Î¼Î¼Î®Ï 1 ÏÎ¿Ï ÏÏÎ±Î³Î¿Ï Î´Î¹Î¿Ï, ο γαμÏÏÏÏ ÏαινεÏαι , «ÏαίνεÏαι», ίÏÎ¿Ï Î¸ÎµÎ¿Î¯Ïιν , «ίÏÎ¿Ï [ ίÏÎ¿Ï ] με ÏÎ¿Ï Ï Î¸ÎµÎ¿ÏÏ». Τα ÏαινÏμενα γίνονÏαι ÏÏαγμαÏικÏÏηÏα εδÏ. Το λÎÏ Î³Î¹Î±Ïί ÏαινεÏαι Ïημαίνει ÏÏι μÏνο «εμÏανίζεÏαι» αλλά και «ÏανεÏÏνεÏαι Ïε εÏιÏάνεια», και Î±Ï Ïή η θεοÏάνεια γίνεÏαι αιÏθηÏή ÏÏ ÏÏαγμαÏική. ÎÏ ÏιολεκÏικά, ο γαμÏÏÏÏ Â«ÎµÎ¼ÏανίζεÏαι Ïε θεοÏάνεια», ÏαινεÏαι , ÏÏη γÏαμμή 1. Îε ÏελεÏÎ¿Ï ÏγικοÏÏ ÏÏÎ¿Ï Ï, η λÎξη ÏαινεÏαι , «εμÏανίζεÏαι», ÎµÎ´Ï ÏημαÏοδοÏεί μια ÏÏαγμαÏική θεοÏάνεια.
§40. ÎÏο για Ïο «εÏÏ» ÏÎ¿Ï Î±ÏÎµÏ Î¸ÏνεÏαι αÏÏ Ïον ομιληÏή, Î±Ï ÏÏ Ïο «εÏÏ» είναι Î±Ï Ïή. Îίναι η νÏÏη. Îαι, ÏÏÏÏ Î¿ γαμÏÏÏÏ ÏαινεÏαι, «ÏαίνεÏαι», ÏÏι είναι ίÏÎ¿Ï Î¸ÎµÎ¿Î¯Ïιν , «ίÏÎ¿Ï [ ίÏÎ¿Ï ] με ÏÎ¿Ï Ï Î¸ÎµÎ¿ÏÏ» ÏÏη γÏαμμή 1 ÏÎ¿Ï ÏÏÎ±Î³Î¿Ï Î´Î¹Î¿Ï, η νÏÏη ÏÎ¹Î³Î¿Ï ÏάÏει ÏÏ Î¸ÎµÎ¬ Ïην ίδια ÏÏιγμή ÏÏο ÏÏαγοÏδι. Î ÏελεÏÎ¿Ï Ïγική ÏεÏίÏÏαÏη ενÏÏ Î³Î¬Î¼Î¿Ï , ÏÏÏÏ ÎµÏιÏημοÏοιείÏαι Ïε Îνα γαμήλιο ÏÏαγοÏδι, καÏαÏÏίÏÏει Ïη διάκÏιÏη μεÏÎ±Î¾Ï Â«Î½ÏÏηÏ» και «θεάÏ». ÎÎ´Ï ÏημειÏÎ½Ï ÏÏι η λÎξη numphÄ Ïημαίνει και «νÏÏη» (ÏÏÏÏ ÏÏην Îλιάδα 18.492) και «θεά», δηλαδή «νÏμÏη» (ÏÏÏÏ ÏÏην Îλιάδα 24.616). 14 ÏÏ. ÎÏάνÏηÏη ΤÏοÏοÏοιήθηκε ÎημήÏÏÎ¹Î¿Ï Î ÎονιδαÏÎ·Ï Î£Î¥ÎÎΧÎÎÎ Î':
§41. Îαι Ïο «εγÏ» ÏÎ¿Ï Î¼Î¹Î»Î¬ÎµÎ¹ είναι εÏίÏÎ·Ï Î±Ï Ïή. Îίναι η ÏÏÎ±Î³Î¿Ï Î´Î¯ÏÏÏια ÏÎ¿Ï ÎµÏμηνεÏει Ïο ÏÏαγοÏδι και είναι η «ΣαÏÏÏ». ÎÏ Ïή η Î³Ï Î½Î±Î¯ÎºÎ± ÏÎ¿Ï Î¼Î¹Î»Î¬ÎµÎ¹ Ïε ÏÏÏÏο ÏÏÏÏÏÏο ÎµÎ´Ï Î¼Î¹Î»Î¬ ανÏικαθεÏÏÏÏικά για Ïλη Ïην ομάδα ÏÎ¿Ï ÏλαÏμαÏικά ÏÏ Î¼Î¼ÎµÏÎÏει ÏÏο ÏελεÏÎ¿Ï ÏÎ³Î¹ÎºÏ ÏÎ¿Ï Î³Î¬Î¼Î¿Ï . Îια ÏÎÏοια Î³Ï Î½Î±Î¯ÎºÎ± ÏÏÎ±Î³Î¿Ï Î´Î¯ÏÏÏια είναι μια ÏÏιμανÏÏνα, για να δανειÏÏÏ Îναν ιÏÎ±Î»Î¹ÎºÏ ÏÏο ÏÎ¿Ï ÏÏηÏιμοÏοιείÏαι ÏÏον κÏÏμο ÏÎ·Ï ÏÏεÏαÏ. Îαι Î±Ï ÏÏÏ Î¿ ÏÏÎ±Î³Î¿Ï Î´Î¹ÏÏήÏ, Î±Ï Ïή η Î³Ï Î½Î±Î¯ÎºÎ± ομιλήÏÏια, βιÏνει μια Îλξη ÏÏÏο για Ïον γαμÏÏÏ ÏÏο και για Ïη νÏÏη. Î, θα μÏοÏοÏÏαμε να ÏοÏμε, βιÏνει μια Îλξη για Ïην Îλξη μεÏÎ±Î¾Ï ÏÏν δÏο. Î Îλξη είναι ÏÏÏο αιÏθηÏική ÏÏο και εÏÏÏική. Îίναι μια ÏÏ Î½Î¿Î»Î¹ÎºÎ® Îλξη, ÏÎ¿Ï Î´Î·Î¼Î¹Î¿Ï Ïγεί ÏÏ Î½Î±Î¹ÏθήμαÏα αÏÏÎ»Ï ÏÎ·Ï ÏÏνδεÏηÏ. Îαι Î±Ï Ïή η ολοκληÏÏÏική ÏÏνδεÏη ενεÏγοÏοιεί ÏÎ»ÎµÏ ÏÎ¹Ï Î±Î¹ÏθήÏÎµÎ¹Ï ÏÎ¿Ï Î¿Î¼Î¹Î»Î·Ïή, ο οÏÎ¿Î¯Î¿Ï Î²Î¹Ïνει μια «εÏÏÏική καÏάÏÏÎµÏ Ïη».
§42. Τα ÏÏ Î½Î±Î¹ÏθήμαÏα ÏÎ¸Î¬Î½Î¿Ï Î½ Ïε Îνα αÏοκοÏÏÏÏμα ÏÎ¿Ï ÏεÏιγÏάÏεÏαι ÏÏ Î¼ÏÎ»Î¹Ï Î¼Î¹Î± ÏÏιγμή μακÏιά αÏÏ Ïο θάναÏο. Îα ο ÏÏÏÏÎ¿Ï ÏÎ¿Ï ÎµÎºÏÏάζεÏαι ÏÏη ÏειÏά 16 ÏÎ¿Ï ÏÏÎ±Î³Î¿Ï Î´Î¹Î¿Ï: tethnakÄn d'oligÅ 'pideuÄs | phainom' emautÄi , 'και λίγο ÏÏιν Ïον θάναÏο | εμÏανίζομαι [ Ïαίνομαι ] ÏÏον ÎµÎ±Ï ÏÏ Î¼Î¿Ï Â». ΠδιαÏÏÏÏÏη ÎµÎ´Ï ÏαιÏιάζει με Î±Ï ÏÏ ÏÎ¿Ï ÎµÎºÏÏάζεÏαι ÏÏη γÏαμμή 1 ÏÎ¿Ï ÏÏÎ±Î³Î¿Ï Î´Î¹Î¿Ï: ÏαίνεÏαι μοι ÎºÎ®Î½Î¿Ï Î¯ÏÎ¿Ï Î¸ÎµÎ¿Î¯Ïιν , Â«Î±Ï ÏÏÏ Î¿ άνθÏÏÏÎ¿Ï ÏαίνεÏαι [ ÏαίνεÏαι ] Ïε μÎνα (να είμαι) ίÏÎ¿Ï Î¼Îµ ÏÎ¿Ï Ï Î¸ÎµÎ¿ÏÏ». ΤÏÏο ÏÏη γÏαμμή 1 ÏÏο και ÏÏη γÏαμμή 16, Î±Ï ÏÏ ÏÎ¿Ï Â«ÏαίνεÏαι» ή «ÏαίνεÏαι»
ΣΑΠΦΩ, ΑΣΜΑ 31 & DAVID LYNCH..Δημήτριος Ν Κονιδαρης h...



ΟΠΤΙΚΟΠΟΙΗΣΕΙΣ ΚΑΙ ΕΛΛΗΝΙΚΗ ΠΟΙΗΣΗ ΤΟΥ David Lynch, ΜΕΡΟΣ ΠΡΩΤΟ: «ΤΟ ΤΡΑΓΟΥΔΙ ΤΟΥ JAMES» και TO ΑΣΜΑ 31 ΤΗΣ ΣΑΠΦΟΥΣ Συγκρίνονται εδώ δύο τραγούδια που είναι ιστορικά άσχετα μεταξύ τους. Ωστόσο, υπάρχουν παραλληλισμοί μεταξύ των δύο τραγουδιών που αξίζει να επισημανθούν. Μια τέτοια άσκηση, κατά την εξέταση δύο ιστορικά άσχετων δομών, είναι γνωστή στη γλωσσολογία ως τυπολογική σύγκριση.

Πρώτον, το "James's Song" Το "James's Song" εμφανίζεται στο Twin Peaks, σεζόν 2 (1990–1991), "Episode 9", σε σκηνοθεσία David Lynch και σενάριο Harley Peyton: αυτό το "επεισόδιο" προβλήθηκε για πρώτη φορά το 1990.10.08 μέσω της American Broadcasting Company (ABC). Όσον αφορά στην πλοκή της συνολικής αφήγησης για το Twin Peaks, ο χαρακτήρας του James Hurley (James Marshall) συνοδεύεται (ή απηχεί;) από τους χαρακτήρες της Maddie Ferguson (Sherilyn Fenn) και της Donna Hayward (Lara Flynn Boyle) στην ερμηνεία ενός τραγουδιού με τίτλο "Just You", σε σύνθεση Angelo Badalamenti, και στίχους David Lynch. Για να δείτε την ακολουθία βίντεο/ήχου του "James's Song", είναι σημαντικό να βρείτε μια έκδοση YouTube που να περιλαμβάνει το μέρος (προς το τέλος) όπου η Donna ξεφεύγει από το τραγούδι, διακόπτοντας έτσι την εκτέλεση και όπου ο James την ακολουθεί, αφήνοντας την Maddie ολομόναχη. Η έκδοση που χρησιμοποιώ εδώ έχει τήν ακόλουθη διεύθυνση URL: https://www.youtube.com/watch?v=Ji_K9... Για το ιστορικό της αρχικής ηχογράφησης, δείτε το άρθρο του Pieter Dom, 13.08.2017, «Πώς ο David Lynch, ο Angelo Badalamenti και ο James Marshall έγραψαν το «Just You» του James Hurley»: http://welcometotwinpeaks.com/music/j... Υπήρξε επανάληψη του τραγουδιού του James, 25 χρόνια αργότερα, χρησιμοποιώντας το αρχικό κομμάτι, στο Twin Peaks "season 3", "The Return Part/Episode 13", σε σκηνοθεσία David Lynch και σενάριο Mark Frost και David Lynch, του οποίου η πρώτη προβολή έλαβε χώραν την 06.08.2017: https://www.youtube.com/watch?v=vxzGG... Ο Devon Ivie παίρνει συνέντευξη από τον James Marshall σχετικά με αυτήν την επανάληψη, στο Vulture 2017.08.18: http://www.vulture.com/.../twin-peaks...... Για να κάνω τα πράγματα όσο το δυνατόν πιο κατανοητά, θα ξεκινήσω υποθέτοντας ότι ο αναγνώστης δεν γνωρίζει τίποτα για το συνολικό έργο Twin Peaks , όπως αυτό επινοήθηκε από τον David Lynch και τον Mark Frost. Δεν είναι καν απαραίτητο, για αρχή, να γνωρίζουμε τη δουλειά του σκηνοθέτη ή του «δημιουργού» ή του σκηνοθέτη που ασχολείται κυρίως με το Twin Peaks, David Lynch. Αρκεί να σημειώσουμε εδώ ότι ο Lynch είναι επίσης υπεύθυνος για ταινίες όπως Eraserhead (1977), Wild at Heart (1990), Lost Highway (1997) και Mulholland Drive (2001). Σε αυτό που ακολουθεί, θα «διαβάσω» μερικές από τις λεπτομέρειες αυτής της σκηνής με το «James's Song», προσπαθώντας να καταλάβω πώς ταιριάζουν όλα μαζί. Στόχος μου δεν είναι να «διαβάζω» το βίντεο/ήχο της σκηνής αλλά να «διαβάζω έξω από αυτό». Η ανάγνωση αυτής της σκηνής, θεωρώ, με βοηθά να κάνω συγκρίσιμες συσχετίσεις όταν διαβάζω το Άσμα 31 της Σαπφούς, παρόλο που αυτό το τραγούδι είναι ιστορικά άσχετο με το «Τραγούδι του James». Είμαι αρκετά σίγουρος ότι οι δημιουργοί του “James's Song” δεν επηρεάστηκαν καθόλου από το Άσμα 31 της Σαπφούς. Βλέπουμε σε αυτήν τη σκηνή τρεις χαρακτήρες, ή, κλασικά μιλώντας, τρεις dramatis personae: έναν νεαρό άνδρα, τον M, και δύο νεαρές γυναίκες, την F1 στα δεξιά της οθόνης και την F2 στα αριστερά. Αρχικά, παρατηρούμε μόνο ότι ο Μ τραγουδάει στις F1 και F2. Στη συνέχεια, όμως, παρατηρούμε ότι και οι τρεις τραγουδούν, αν και οι F1 και F2 απλώς επαναλαμβάνουν, σε στυλ ηχούς, φράσεις κλειδιά που τραγουδάει ο Μ. Όσο περισσότερο ακούμε τα λόγια αυτού που τραγουδά ο Μ, τόσο πιο επαναλαμβανόμενες γίνονται οι λέξεις. Η επαναληπτικότητα παρασύρει σε έκσταση τις F1 και F2; Ή μόνο την F2; Υπάρχει κάτι συναρπαστικό στο τραγούδι; Καλώ τους αναγνώστες μου να είναι ο κριτής — καθώς παρακολουθούν τι συμβαίνει στο βίντεο και τον ήχο. Σε αυτό που μόλις είπα, σκόπιμα χρησιμοποιώ τη λέξη «εισαγωγή» με δύο τρόπους. Αντικειμενικά, εννοώ ότι το τραγούδι ίσως προκαλεί μια έκσταση σε κάποιο άτομο ή πρόσωπα. Υποκειμενικά, εννοώ ότι εμείς οι ακροατές ίσως αρχίσουμε να μας αρέσει το τραγούδι και έτσι να παρασυρόμαστε από αυτό. Ή μήπως υπάρχει κάποιος άλλος λόγος (εσωτερικός; εξωτερικός;) για την είσοδο σε έκσταση της F1 και της F2 (ή της F2 μόνο); Και πάλι, καλώ τους αναγνώστες μου να είναι ο κριτής. Ας ρίξουμε μια προσεκτική ματιά στη διατύπωση στην αρχή του τραγουδιού: «Μόνο εσύ κι εγώ, μόνο εσύ κι εγώ, μαζί, για πάντα, ερωτευμένοι». James' song (Twin Peaks) YOUTUBE.COM James' song (Twin Peaks) James' song (Twin Peaks) 14 ώρ. Απάντηση Αφαίρεση προεπισκόπησης Τροποποιήθηκε Δημήτριος Ν Κονιδαρης ΣΥΝΕΧΕΙΑ Α': Η διατύπωση θα λειτουργούσε διαφορετικά εάν στη σκηνή εμπλέκονταν μόνον δύο χαρακτήρες, αλλά εδώ υπάρχουν τρεις χαρακτήρες. Η διατύπωση αποκλείει ένα από τα τρία; Πώς μπορούμε να πούμε με βεβαιότητα; Ας ψάξουμε για άλλα σημάδια, όπως τη γλώσσα του σώματος - ειδικά στην επαφή με τα μάτια. Εξετάζοντας το έργο του David Lynch, βρίσκω πιο ενδιαφέρον να αναζητήσω τέτοια σημάδια, που μου θυμίζουν τα σήματα που προέρχονται από τις αρχαίες ελληνικές εικαστικές και λεκτικές τέχνες, όπως στην περίπτωση του Άσματος 31 της Σαπφούς. Μου φαίνεται επίσης ενδιαφέρον να ψάχνω για κίνητρα. Ποια είναι η λογική που οδηγεί την σκηνή με το "James's Song"; Γιατί να τραγουδήσουν τρία άτομα κάτι που αναγγέλλει την ένωση — την αιώνια ένωση, όχι λιγότερο — μόνο δύο ανθρώπων; Μπορεί να πούμε στον εαυτό μας: αλλά τελικά αυτό είναι απλώς ένα τραγούδι, και αυτοί οι τρεις χαρακτήρες ερμηνεύουν απλώς ένα τραγούδι. Εν τάξει. Ακόμα, μπορούμε πραγματικά να πούμε ότι δεν υπάρχει ταύτιση μεταξύ (1) των χαρακτήρων και (2) των λέξεων των τραγουδιών τους; Θα μπορούσε να υπάρξει ταύτιση της κατάστασης στη σκηνή με την κατάσταση στο τραγούδι; Αυτή είναι μια σημαντική ερώτηση για μένα, καθώς παρατηρώ μια μεγάλη συνάφεια που υπάρχει εδώ μεταξύ (1) του τραγουδιού και (2) της δραματοποιημένης κατάστασης του τραγουδιού. Στην «πραγματική ζωή», το τραγούδισμα ενός τραγουδιού μπορεί να είναι απλώς το τραγούδισμα ενός τραγουδιού. Αλλά αυτό που βλέπουμε εδώ δεν είναι «πραγματική ζωή»: η πράξη του να τραγουδάς ένα τραγούδι συνιστά εξίσου αναπαράσταση (ο Αριστοτέλης έχει μια λέξη για αυτό: μίμησις - mīmēsis ), αποστασιοποιημένη από την «πραγματική ζωή», όπως είναι το θέμα του τραγουδιού. Η μυθοπλασία του David Lynch για ένα αγόρι που τραγουδάει με δύο κορίτσια είναι εξίσου μυθοπλασία με το θέμα του τραγουδιού που τραγουδούν οι φανταστικοί χαρακτήρες. Οι F1 και F2 επαναλαμβάνουν μετά το M: «Μόνον εσύ». Μετά επαναλαμβάνουν μετά το Μ: «και εγώ». Σαν μάντρα, το μουσικό ζευγάρωμα συμβαίνει ξανά και ξανά. Ψάχνω εδώ για σχετικά σήματα στη γλώσσα του σώματος, ειδικά στην οπτική επαφή, που ταιριάζουν με τα σήματα στη διατύπωση του τραγουδιού, ειδικά όταν οι λέξεις φτάνουν τη συμμετρία που προκαλεί έκσταση του «μόνο εσύ» στη μία πλευρά με το «και εγώ » από την άλλη πλευρά. Υπάρχουν πολλά άλλα σημεία ενδιαφέροντος που θα μπορούσαν να ενταχθούν στην «ανάγνωσή» μας εδώ. Σηματοδοτώ μόνο μερικά από αυτά, με τη μορφή ερωτήσεων. — Γιατί ο Μ τραγουδάει με γυναικεία φωνή; Στη συνέντευξη με τον ηθοποιό James Marshall, όπως προαναφέρθηκε, σχολιάζει τις δυσκολίες που είχε στο να τραγουδήσει «φαλτσέτο». — Σε ποιο σημείο έχουμε φτάσει (ενν. το κοινό) στη διατύπωση του τραγουδιού όταν το τραγούδι διακόπτεται; (Αυτό το είδος της αφήγησης είναι συνηθισμένο φαινόμενο στην αρχαία ελληνική ποιητική.) — Τι σκέφτονται οι M και F1 και F2 ενώ τραγουδούν; — Δηλαδή, τι πέρα από το προφανές; — Τι συναισθήματα 'παριστάνονται' από τους χαρακτήρες κατά την εκτέλεση του τραγουδιού; Εναλλακτικές επιλογές για να διαλέξετε: —— οίκτος [στις ελληνικές παραδόσεις, ο οίκτος είναι μια έλξη που νιώθεις προς κάποιον εξαιτίας του πόνου του] —— φόβος [στην ελληνική παράδοση, ο φόβος είναι μια απώθηση που νιώθεις από κάποιον εξαιτίας του πόνου του] -- θυμός -- μίσος -- αγάπη —— σύγχυση [αυτό είναι ένα γνήσιο συναίσθημα στο ελληνικό έπος και την τραγωδία. επίσης στην αναγεννησιακή και μετααναγεννησιακή όπερα!] — Τι σχέση έχουν αυτά τα συναισθήματα με τη διατύπωση του τραγουδιού; Σε αυτό το σημείο, στρέφομαι σε πιο συγκεκριμένες λεπτομέρειες, οι οποίες σχετίζονται με (1) τη συνολική πλοκή του έργου Twin Peaks όπως δημιουργήθηκε από τους David Lynch και Mark Frost ή/και (2) τις τεχνικές κινηματογραφικής δημιουργίας του David Lynch και την καλλιτεχνική του ατζέντα καθεαυτήν. Στη συνέχεια, πρέπει να βάλω σε ηχογράφηση τη δική μου «ειδοποίηση spoiler»… Αποδεικνύεται ότι η συνολική πλοκή της αφήγησης των Twin Peaks είναι απασχολημένη με το σαμανιστικό θέμα των δύο πλευρών για κάθε άτομο και δύο πλευρών για τα πάντα στον κόσμο. Υπάρχουν πολλά λαογραφικά στοιχεία ενσωματωμένα στο βίντεο/ηχητικό αφήγημα, που προέρχονται κυρίως από πολιτισμούς των ιθαγενών της Αμερικής στα ΒΔ της Βόρειας Αμερικής. Κάθε χαρακτήρας, αποδεικνύεται, έχει δύο εαυτούς: κακό και καλό, νεκρό και ζωντανό, και ούτω καθεξής. —Χαρακτήρας F2 = Maddie: είναι η επιζήσασα ξαδέρφη και η διπλή του σώματος της Laura Palmer, η οποία είχε σκοτωθεί φρικτά σε παλαιότερο σημείο της συνολικής ιστορίας. 14 ώρ. Απάντηση Τροποποιήθηκε Δημήτριος Ν Κονιδαρης ΣΥΝΕΧΕΙΑ Β': —Χαρακτήρας Μ = Τζέιμς: είναι ο πρώην εραστής της Λόρα Πάλμερ. Σε όλη την πλοκή του Twin Peaks , άλλοι χαρακτήρες τον αναφέρουν σταθερά ως "The Secret Boyfriend". Ποτέ δεν θα ξεπεράσει τη θλίψη της απώλειας της Λάουρα και θα την αγαπήσει για πάντα ακόμα και στο θάνατο. —Χαρακτήρας F1 = Donna: είναι ο σημερινός εραστής του James και η πρώην καλύτερη φίλη της Laura και η σημερινή καλύτερη φίλη της Maddie. Δεν θα κερδίσει ποτέ την απόλυτη αγάπη του Τζέιμς. Τον ρόλο της Maddie ερμηνεύει ο ίδιος ηθοποιός που παίζει το ρόλο της Laura Palmer στις αναδρομές που οδηγούν στην κολασιακή δολοφονία. Ο δολοφόνος αποδεικνύεται ότι είναι ένας από τους πιο κοντινούς και αγαπημένους της Λόρα: εραστής; ένας φίλος; συγγενής; —η πλοκή κρατά ακόμα άγνωστη την ταυτότητά του σε αυτό το σημείο. Αυτός ο δολοφόνος είχε καταληφθεί—όχι από «έναν» διάβολο αλλά από «τον» Διάβολο, δηλαδή από έναν δαίμονα που είναι η ενσάρκωση του απόλυτου κακού. Ο Δαίμονας, σε μια σειρά αναδρομών που δείχνουν τη φρικτή δολοφονία της Λόρα, εμφανίζεται σε ανθρώπινη μορφή ως «Μπομπ». Το όνομα «Μπομπ» είναι κοινότοπο, αλλά τα δαιμονικά βλέμματά του και οι κολασμένοι ήχοι που τον τυλίγουν όποτε εμφανίζεται -και υπάρχουν λεκτικές ενδείξεις για τα θεοφάνειά του- είναι σοκαριστικά και ενοχλητικά. Μιλάω εδώ από τη δική μου ζοφερή εμπειρία θέασης. Το όνομα του Bob είναι φυσικά ένα παλίνδρομο, που ακούγεται με τον ίδιο τρόπο τόσο προς τα εμπρός όσο και προς τα πίσω: σε διάφορα προβλέψιμα σημεία της οπτικής αφήγησης του, ο σκηνοθέτης δραματοποιεί τον αναγραμματισμό προβάλλοντας αντίστροφα μερικές από τις σκηνές flash-forward που δείχνουν προφητικές φιγούρες να προφέρουν το όνομα του BOB. Υπάρχει ένας νάνος που τονίζει: "Ουάου, Μπομπ, Ουάου!" Έτσι, εδώ έχουμε ένα άλλο παλίνδρομο — ένα πιο διευρυμένο. Περιττό να πούμε ότι το Twin Peaks εμφανίζει σε διαφορετικές στιγμές, τόσο προς τα εμπρός όσο και προς τα πίσω, την ίδια δραματική σειρά. Είτε προς τα εμπρός είτε προς τα πίσω, με πρόβλεψη ή εκ των υστέρων, τα ηχεία παίρνουν το όνομα σωστά. Ο BOB είναι BOB. Μίλα για τον Διάβολο, και εμφανίζεται. Η εμφάνισή του είναι πάντα μια φρικτή εκδοχή μιας επιφανείας. Αμέσως μετά τη σκηνή με το "James's Song", ο BOB εμφανίζεται στη Maddie σε μια πολύ κακή επιφάνεια. Είναι καταδικασμένη να πεθάνει με τον ίδιο θάνατο που πέθανε και η Λόρα. Μια ανατριχιαστική σκηνή. Ο M τραγουδά στο F2 μαζί με το F1, και καθώς ο F1 μαζί με τον F2 τραγουδούν πίσω στον M τα λόγια του που διακηρύσσουν μια αιώνια ένωση που συνδέει το πρώτο γραμματικό άτομο "I" με το δεύτερο γραμματικό άτομο "εσύ" που είναι για πάντα ερωτευμένος, τι είναι το αποτέλεσμα ο οριστικός αποκλεισμός του τρίτου γραμματικού προσώπου, που θα γίνει «αυτή». Καθώς το τραγούδι προχωράει, η κάμερα συλλαμβάνει —για μια στιγμή— μια δαιμονική ματιά στα μάτια της F2.

Για την F2, αυτό γίνεται ένα φλας προς τα εμπρός σε έναν θάνατο που αναπαράγει τον πρωταρχικό θάνατο του διπλού της σώματος, που είχε προκαλέσει τη θλίψη που τώρα οδηγεί την αγάπη της Μ-

TwinPeaks_shot 3 που με τη σειρά του τώρα οδηγεί τον οίκτο και τον φόβο της F1.

TwinPeaks_shot 2 Αλλά για την F1 υπάρχει επίσης, πάνω απ' όλα, αγάπη (χωρίς ανταπόδοση) και θλίψη για μόνιμη απώλεια.

TwinPeaks_shot 4 Το τραγούδι τα λέει όλα, επαναλαμβάνοντας το ξανά και ξανά στη γλώσσα του σεξ, του θανάτου και της σύγχυσης. 14 ώρ. Απάντηση Δημήτριος Ν Κονιδαρης ΣΥΝΕΧΕΙΑ Γ': Δεύτερον,
ΑΣΜΑ 31 ΤΗΣ ΣΑΠΦΟΥΣ Εδώ είναι το άσμα, ακολουθούμενο από τη δική μου {Nagy} μετάφραση: Ώρα 5 Κείμενο Ε| 1 φαίνεταί μοι κῆνος ἴσος θέοισιν | 2 ἔμμεν' ὤνηρ, ὄττις ἐνάντιός τοι | 3 ἰσδάνει καὶ πλάσιον ἆδυ φωνεί-| 4 σας ὐπακούει | 5 καὶ γελαίσας ἰμέροεν, τό μ' ἦ μὰν | 6 καρδίαν ἐν στήθεσιν ἐπτόαισεν, | 7 ὠς γὰρ ἔς σ' ἴδω βρόχε' ὤς με φώναι-| 8 σ' οὐδ' ἒν ἔτ' εἴκει, | 9 ἀλλὰ κὰμ μὲν γλῶσσα ἔαγε λέπτον | 10 δ' αὔτικα χρῶι πῦρ ὐπαδεδρόμηκεν, | 11 ὀππάτεσσι δ' οὐδ' ἒν ὄρημμ', ἐπιρρόμ-| 12 βεισι δ' ἄκουαι, | 13 κάδ δέ μ' ἴδρως κακχέεται τρόμος δὲ | 14 παῖσαν ἄγρει, χλωροτέρα δὲ ποίας | 15 ἔμμι, τεθνάκην δ' ὀλίγω 'πιδεύης | 16 φαίνομ' ἔμ' αὔται· | 1
Φαίνεται [ φαίνεται ] σε μένα, εκείνος, ίσος με τους θεούς [ ίσος θεοίσιν ], | 2 εκείνος ο άνθρωπος που, απέναντί σου | 3 κάθεται και, από κοντά, εκείνη η γλυκιά φωνή σου | 4 ακούει, | 5 και πώς γελάς ένα γέλιο που φέρνει επιθυμία. Γιατί, απλά | 6 κάνει την καρδιά μου να φτερουγίζει μέσα στο στήθος μου. | 7 Βλέπεις, τη στιγμή που σε κοιτάζω, ακριβώς τότε, για μένα | 8 για να βγάζεις καθόλου ήχο δεν θα λειτουργεί πια. | 9 Η γλώσσα μου έχει σπάσει και μια λεπτή | 10 —ξαφνικά— η φωτιά κυλάει κάτω από το δέρμα μου. | 11 Με τα μάτια μου δεν βλέπω τίποτα, και υπάρχει βρυχηθμός | 12 τα αυτιά μου κάνουν. | 13 Ιδρώτας με χύνει και τρέμουλο | 14 με αρπάζει όλο. πιο χλωμό από το γρασίδι | 15 είμαι, και λίγο πριν από τον θάνατο | 16 φαίνομαι [ φαίνομαι ] στον εαυτό μου. Για να χρησιμοποιήσω την ορολογία που χρησιμοποίησα για το "James's Song", έχουμε εδώ μια κατάσταση όπου η F1, η οποία είναι ένα θηλυκό "εγώ", μιλά στην F2, η οποία είναι μια γυναίκα "εσύ", για τον Μ, που είναι ο "αυτός". σε αυτή την κατάσταση. Αυτό που ακολουθεί είναι μια επιτομή της ανάλυσής μου για αυτό το τραγούδι στο H24H 5§§38–48, 82–87:
{ΣΑΠΦΩ απ. 31 Lobel-Pageφαίνεταί μοι κῆνος ἴσος θέοισινἔμμεν᾽ ὤνηρ, ὄττις ἐνάντιός τοιἰσδάνει καὶ πλάσιον ἆδυ φωνεί-4σας ὐπακούεικαὶ γελαίσας ἰμέροεν, τό μ᾽ ἦ μὰνκαρδίαν ἐν στήθεσιν ἐπτόαισεν·ὠς γὰρ ἔς σ᾽ ἴδω βρόχε᾽, ὤς με φώναι-8σ᾽ οὐδ᾽ ἒν ἔτ᾽ εἴκει,ἀλλ᾽ ἄκαν μὲν γλῶσσα †ἔαγε†, λέπτονδ᾽ αὔτικα χρῶι πῦρ ὐπαδεδρόμηκεν,ὀππάτεσσι δ᾽ οὐδ᾽ ἒν ὄρημμ᾽, ἐπιρρόμ-12βεισι δ᾽ ἄκουαι,†έκαδε μ᾽ ἴδρως ψῦχρος κακχέεται†, τρόμος δὲπαῖσαν ἄγρει, χλωροτέρα δὲ ποίαςἔμμι, τεθνάκην δ᾽ ὀλίγω ᾽πιδεύης16φαίνομ᾽ ἔμ᾽ αὔται·ἀλλὰ πὰν τόλματον ἐπεὶ †καὶ πένητα† }
{ΣτΜ: ΣΑΠΦΩ, ΑΣΜΑ 31, απόδοση ΒΟΥΤΙΕΡΗΣ
Μου φαίνεται ίσος με θεούς πως είναιο άντρας αυτός, που κάθεται αντικρύ σου,κι όταν μαγευτικά μιλείς κοντά τουσε γλυκακούει·κι όταν χαριτωμένα του γελάσεις,μέσα στα στήθια μου η καρδιά σπαράζει.Γιατί ως σε ιδώ μου πιάνεται η φωνή μουτότες αμέσως,μα κι είναι ως να μου κόπηκε κι η γλώσσα·κι αμέσως μέσ᾽ απ᾽ το κορμί μου κάποιαφωτιά περνάει, τα μάτια μου δε βλέπουν,τ᾽ αυτιά βουίζουν,ίδρωτας κρύος με λούζει κι όλη τρέμω,και γίνομαι πιο πράσινη απ᾽ το χόρτο,και φαίνομαι, πως λίγο θέλω ακόμηγια να πεθάνω…..}
§38. Ο τύπος φαίνεται, 'εμφανίζεται', στη γραμμή 1 αυτού του τραγουδιού και ο τύπος φαίνομαι , 'φαίνομαι', στη γραμμή 16 είναι το τρίτο και το πρώτο πρόσωπο ενός ρήματος που σχετίζεται με το ουσιαστικό phantasiā, μια παράγωγη μορφή που σημαίνει ' φαντασίας» στη μεταγενέστερη ελληνική πεζογραφία. Ή, για να το θέσω ακριβέστερα, phantasiā σημαίνει «φαντασμένο όραμα» ή «φαντασία». Η αγγλική λέξη fantasy, που προέρχεται από το phantasiā , είναι στην πραγματικότητα παραπλανητική ως μετάφραση, καθώς αυτή η λέξη υποδηλώνει ένα όραμα που δεν είναι πραγματικό. Στην κουλτούρα του αρχαίου ελληνικού τραγουδιού, ωστόσο, δεν υπάρχει «φαντασία» για το είδος του οράματος που φαίνεται εδώ στο Τραγούδι 31 της Σαπφούς. Αυτό το είδος οράματος είναι μια επιφάνεια , και τώρα χρησιμοποιώ εδώ μια άλλη λέξη που στην πραγματικότητα προέρχεται από το ίδιο ρήμα φαίνεται , «εμφανίζεται», / φαίνομαι, «φαίνομαι», όπως το είδαμε μόλις στις γραμμές 1/16. Η Επιφάνεια είναι ένα όραμα που γίνεται αισθητό να είναι πραγματικό, όχι εξωπραγματικό. Είναι η εμφάνιση κάτι θεϊκού, κάτι που εννοείται ότι είναι απολύτως πραγματικό.
§39. Το «αυτός» στη γραμμή 1 αυτού του τραγουδιού αναφέρεται σε έναν γαμπρό και θεωρείται θεός τη στιγμή που τραγουδάει αυτό το τραγούδι. Είναι σαν να εμφανίστηκε ένας θεός σε γάμο. Στα λόγια της γραμμής 1 του τραγουδιού, ο γαμπρός φαινεται , «φαίνεται», ίσος θεοίσιν , «ίσος [ ίσος ] με τους θεούς». Τα φαινόμενα γίνονται πραγματικότητα εδώ. Το λέω γιατί φαινεται σημαίνει όχι μόνο «εμφανίζεται» αλλά και «φανερώνεται σε επιφάνεια», και αυτή η θεοφάνεια γίνεται αισθητή ως πραγματική. Κυριολεκτικά, ο γαμπρός «εμφανίζεται σε θεοφάνεια», φαινεται , στη γραμμή 1. Με τελετουργικούς όρους, η λέξη φαινεται , «εμφανίζεται», εδώ σηματοδοτεί μια πραγματική θεοφάνεια.
§40. Όσο για το «εσύ» που απευθύνεται από τον ομιλητή, αυτό το «εσύ» είναι αυτή. Είναι η νύφη. Και, όπως ο γαμπρός φαινεται , «φαίνεται», ότι είναι ίσος θεοίσιν , «ίσος [ ίσος ] με τους θεούς» στη γραμμή 1 του τραγουδιού, η νύφη φιγουράρει ως θεά την ίδια στιγμή στο τραγούδι. Η τελετουργική περίσταση ενός γάμου, όπως επισημοποιείται σε ένα γαμήλιο τραγούδι, καταρρίπτει τη διάκριση μεταξύ «νύφης» και «θεάς». Εδώ σημειώνω ότι η λέξη numphē σημαίνει και «νύφη» (όπως στην Ιλιάδα 18.492) και «θεά», δηλαδή «νύμφη» (όπως στην Ιλιάδα 24.616). 14 ώρ. Απάντηση Τροποποιήθηκε Δημήτριος Ν Κονιδαρης ΣΥΝΕΧΕΙΑ Δ':
§41. Και το «εγώ» που μιλάει είναι επίσης αυτή. Είναι η τραγουδίστρια που ερμηνεύει το τραγούδι και είναι η «Σαπφώ». Αυτή η γυναίκα που μιλάει σε πρώτο πρόσωπο εδώ μιλά αντικαθεστωτικά για όλη την ομάδα που πλασματικά συμμετέχει στο τελετουργικό του γάμου. Μια τέτοια γυναίκα τραγουδίστρια είναι μια πριμαντόνα , για να δανειστώ έναν ιταλικό όρο που χρησιμοποιείται στον κόσμο της όπερας. Και αυτός ο τραγουδιστής, αυτή η γυναίκα ομιλήτρια, βιώνει μια έλξη τόσο για τον γαμπρό όσο και για τη νύφη. Ή, θα μπορούσαμε να πούμε, βιώνει μια έλξη για την έλξη μεταξύ των δύο. Η έλξη είναι τόσο αισθητική όσο και ερωτική. Είναι μια συνολική έλξη, που δημιουργεί συναισθήματα απόλυτης σύνδεσης. Και αυτή η ολοκληρωτική σύνδεση ενεργοποιεί όλες τις αισθήσεις του ομιλητή, ο οποίος βιώνει μια «ερωτική κατάρρευση».
§42. Τα συναισθήματα φθάνουν σε ένα αποκορύφωμα που περιγράφεται ως μόλις μια στιγμή μακριά από το θάνατο. Να ο τρόπος που εκφράζεται στη σειρά 16 του τραγουδιού: tethnakēn d'oligō 'pideuēs | phainom' emautāi , 'και λίγο πριν τον θάνατο | εμφανίζομαι [ φαίνομαι ] στον εαυτό μου». Η διατύπωση εδώ ταιριάζει με αυτό που εκφράζεται στη γραμμή 1 του τραγουδιού: φαίνεται μοι κήνος ίσος θεοίσιν , «αυτός ο άνθρωπος φαίνεται [ φαίνεται ] σε μένα (να είμαι) ίσος με τους θεούς». Τόσο στη γραμμή 1 όσο και στη γραμμή 16, αυτό που «φαίνεται» ή «φαίνεται» σε ένα επίπεδο είναι μια επίφαση σε ένα βαθύτερο επίπεδο. Η μετάφραση του phainom' emautāi στη γραμμή 16 σε ένα τόσο βαθύτερο επίπεδο αποδεικνύεται δύσκολη: «Εκδηλώνομαι στον εαυτό μου σε μια επιφάνεια».
§43. Η διατύπωση στη σειρά 16 του τραγουδιού 31 της Σαπφούς, όπως κι αν τη μεταφράσουμε, εκφράζει την ιδέα ότι ο ομιλητής βιώνει προσωπικά μια επιφάνεια. Υποβάλλεται σε μια συγχώνευση με τη θεότητα, και αυτή η συγχώνευση δεν είναι μόνο αισθητική αλλά και ερωτική. Αλλά νομίζω ότι θα ήταν πολύ απλό να πούμε ότι μια τέτοια εμπειρία είναι αυτοερωτική. Μάλλον, είναι μια εμπειρία αυτο-επιφάνειας. Και μια τέτοια εμπειρία δεν είναι μόνο ερωτική. Είναι και θανάσιμα επικίνδυνο.
§44. Η θεοφάνεια στη γραμμή 16 του Τραγουδιού 31 προκαλεί στον ομιλητή μια παραλίγο θανάσιμη εμπειρία: tethnakēn d'oligō 'pideuēs | phainom' emautāi , 'και λίγο πριν τον θάνατο | εμφανίζομαι [ φαίνομαι ] στον εαυτό μου». Αυτός ο εικονιστικός προσωπικός θάνατος, στο τελετουργικό πλαίσιο ενός γάμου, έχει ως πρότυπο έναν συνειδητοποιημένο μυθικό θάνατο. Όπως υποστηρίζω, ο θάνατος στο μύθο είναι ένα πρωτότυπο για την αντικαταστατική εμπειρία της πρωτοπρόσωπης ομιλήτριας στην αλληλεπίδρασή της με τη νύφη σε δεύτερο πρόσωπο και με τον γαμπρό τρίτου προσώπου. Και μια τέτοια εμπειρία θανάτου μπορεί να περιγραφεί ως μύηση. Η παρομοίωση ενός γαμπρού και μιας νύφης με θεό και θεά οδηγεί σε μεταφορικό θάνατο σε τελετουργίες μύησης όπως οι γάμοι.
§45. Στο τραγούδι 31 της Σαπφούς, όπως υποστηρίζω στο H24H στην πληρέστερη εκδοχή αυτής της παραγράφου, ο γαμπρός και η νύφη παρομοιάζονται έμμεσα με τον Άρη και την Αφροδίτη. Στη λογική του μύθου, η ταυτότητα ενός ήρωα τη στιγμή του θανάτου συγχωνεύεται με την ταυτότητα ενός θεού και, εκείνη τη στιγμή, ο ήρωας μπορεί να παρομοιαστεί με θεό. Στη λογική του τελετουργικού, όπως στο τραγούδι 31 της Σαπφούς, μια τέτοια συγχώνευση ταυτότητας οδηγεί μόνο σε έναν μεταφορικό θάνατο, έναν παραλίγο θάνατο, όπως εκφράζεται με τα λόγια που μιλούν για την παραλίγο θάνατο της γυναίκας που μιλάει το πρώτο πρόσωπο.
§46. Μια τέτοια στιγμή, όταν ο γαμπρός είναι ο θεός και η νύφη είναι η θεά, σηματοδοτείται με το επίθετο ίσος θεοίσιν , «ίσος [ ίσος ] με τους θεούς», το οποίο εφαρμόζεται στον γαμπρό στη γραμμή 1 του Τραγουδιού 31.
§47. Αλλού, στο Άσμα 44 της Σαπφούς, που γιορτάζει την Ανδρομάχη και τον Έκτορα ως νύφη και γαμπρό στο γάμο τους, οι δυο τους περιγράφονταν ως θεοίκελοι , «μοιάζουν ακριβώς με τους θεούς» (γραμμή 34). Οι δυο τους έμοιαζαν σαν θεοί στο γάμο τους, δηλαδή την τελετουργική στιγμή που παντρεύονταν ο ένας τον άλλον.
§48. Στα τραγούδια της Σαπφούς βλέπουμε και άλλες παραλλαγές στη συγχώνευση ανθρώπινων και θεϊκών ταυτοτήτων. Στο Τραγούδι 165, για παράδειγμα, βρίσκουμε τη διατύπωση phainetai woi kēnos īsos theoisin , «εμφανίζεται [ phainetai ] σε αυτήν, εκείνος, ίσος [ īsos ] με τους θεούς». Σε εκείνο το τραγούδι, το τρίτο πρόσωπο woi , «σε αυτήν», φαίνεται να αναφέρεται στη νύφη, σε αντίθεση με τη διατύπωση που βρίσκουμε στη σειρά 1 του τραγουδιού 31, phainetai moi kēnos īsos theoisin , «εμφανίζεται [ phainetai ] to εγώ, αυτός, (να είμαι) ίσος [ īsos ] με τους θεούς», όπου το πρώτο πρόσωπο moi , «να εγώ», αναφέρεται στην ομιλήτρια, η οποία είναι η «Σαπφώ». Στο Τραγούδι 31, η υποκειμενικότητα συνδέεται με τον ομιλητή σε πρώτο πρόσωπο, ο οποίος είναι ο αντικαταστάτης. Στο τραγούδι 165, από την άλλη, η υποκειμενικότητα συνδέεται με το τρίτο πρόσωπο, που είναι ο άμεσος συμμετέχων. Υπάρχει μια μετατόπιση των αναφορών που συνοδεύει τη μετατόπιση των αντωνυμιών από «εγώ» σε «αυτή».
§82. Εδώ είναι αυτό που έχω υποστηρίξει μέχρι τώρα: —Στο Τραγούδι 31, η ερωτική εμπειρία που μοιράζεται ο «αυτός» που είναι ο γαμπρός και ο «εσύ» που είναι η νύφη κοινοποιείται στην αντίδραση του «εγώ» που φιγουράρει ως ο αντικαταστάτης στην εμπειρία. Και αυτή η αντίδραση είναι μια θεοφάνεια από μόνη της. —Τα υποκειμενικά συναισθήματα σε αυτή τη στιγμή της θεοφάνειας συνδέονται με την πρωτοπρόσωπη ομιλήτρια που είναι η Σαπφώ. Όταν ακούμε phainetai moi kēnos īsos theoisin , «εμφανίζεται [ phainetai ] σε μένα, αυτός, (να είναι) ίσος [ īsos ] με τους θεούς», στη γραμμή 1, είναι ο πρώτος ομιλητής που νιώθει την ερωτική αισθήσεις που βιώνει η νύφη σε δεύτερο πρόσωπο και ο γαμπρός σε τρίτο πρόσωπο. —Στην κορύφωση της ερωτικής εμπειρίας, όπως λέγεται από την πρωτοπρόσωπη ομιλήτρια, λέει για τα συναισθήματά της: tethnakēn d'oligō 'pideuēs | phainom' emautāi , 'και λίγο πριν τον θάνατο | εμφανίζομαι [ φαίνομαι ] στον εαυτό μου», στη γραμμή 16. Το ρήμα φαινομαι , «εμφανίζομαι», εδώ σηματοδοτεί πάλι μια επιφάνεια – μια επιφάνεια που εκδηλώνεται στον εαυτό, στον ομιλούντα «εγώ».
§83. Αυτή η εμφάνιση του εαυτού στον εαυτό, ως επιφάνεια, σηματοδοτεί τη θεϊκή παρουσία της Αφροδίτης.
§84. Κατά μία έννοια, αυτό που παρουσιάζεται στο Τραγούδι 31 είναι η Θεοφάνεια της Αφροδίτης, αφού είναι η πιο κατάλληλη θεά για την περίσταση ενός γάμου. Με μια άλλη έννοια, όμως, αυτό που παρουσιάζεται στο Τραγούδι 31 είναι η θεοφάνεια της νύφης, της οποίας η ταυτότητα συγχωνεύεται με αυτήν της Αφροδίτης τη στιγμή του γάμου της. Και, με μια άλλη έννοια, αυτό που παρουσιάζεται στο Τραγούδι 31 είναι η επίφαση του ομιλούντος «εγώ» που ταυτίζεται με την Αφροδίτη λόγω του αντικαταστάτη του ότι ταυτίζεται με το «εσύ» της νύφης που είναι η Αφροδίτη αυτή ακριβώς τη στιγμή. Για τη Σαπφώ, λοιπόν, όπως έχω υποστηρίξει, αυτό που φαίνεται είναι αυτοεπιφάνεια.
§85. Όπως η αντιπροσωπεία της Σαπφούς στο τραγούδι 31 συνδυάζει το «εγώ» που είναι η τραγουδίστρια με το «εσύ» που είναι η νύφη, έτσι και το «εγώ» της Σαπφούς στο τραγούδι 1, που δεν εμφανίζεται εδώ, συνδυάζει το «εγώ» που είναι η τραγουδίστρια με το 'εσύ' που είναι η Αφροδίτη.
§86. Στο τραγούδι 31 της Σαπφούς, η προβολή της ταυτότητας που βλέπουμε να συμβαίνει σε αυτό το τραγούδι δίνει τη δυνατότητα στην τραγουδίστρια του τραγουδιού να γίνει νύφη η ίδια και ακόμη και η ίδια η Αφροδίτη, τουλάχιστον για μια στιγμή, όπως ακριβώς η τραγουδίστρια του Τραγουδιού 1 της Σαπφούς, που δεν φαίνεται εδώ, γίνεται η ίδια η Αφροδίτη για τη σύντομη στιγμή που η Αφροδίτη αναφέρεται από τον τραγουδιστή. Στη λογική του Τραγουδιού 31, το να βλέπεις τη Σαπφώ ως Αφροδίτη για μια στιγμή είναι εξίσου αληθινό με το να βλέπεις τη νύφη ως Αφροδίτη και εξίσου αληθινό με το να βλέπεις τον γαμπρό σαν τον Άρη.
§87. Στη συνέχεια, όταν το τραγούδι τελειώσει, ο καθένας μπορεί να επιστρέψει στον ανθρώπινο εαυτό του - αν και μπορεί να έχει αναβαθμιστεί σε ανθρώπινη κατάσταση επειδή ήταν μέρος του τραγουδιού. Θεωρώ ότι είναι σημαντικό να συγκρίνω τα λόγια του TS Eliot (The Dry Salvages , 1941), «you are the music | Όσο διαρκεί η μουσική».
ΒΙΒΛΙΟΓΡΑΦΙΑNagy, G. 2017. "David Lynch’s Visualizations and Greek poetry, Part One: “James’s song” and Song 31 of Sappho," Classical Inquiries, CHS, <https://classical-inquiries.chs.harva... (18 Jan. 2025).
|
December 7, 2024
Bactrian Greeks, the Bamiyan and Avukana Buddha statues
Ο Rajitha Weerakoon [The Sunday Times (of Sri Lanka)] συζητά την Ελληνική σύνδεση με τα κολοσσιαία αγάλματα του Βούδα. Περίπου 30.000 Έλληνες μοναχοί (bhikkhus) είχαν φτάσει στην Anuradhapura από τα μοναστήρια της Alasanda (η πόλη των Yonas, Αλεξάνδρεια στο σημερινό Αφγανιστάν) σύμφωνα με τον Mahavamsa του Geiger (κεφάλαιο XX1X (39)) για να συμμετάσχουν στο εγκαίνια της κατασκευής του Mahaseya (Ruvanveliseya. Το σώμα των Ελλήνων bhikkhus με επικεφαλής τον Yonamahadharmarakkhita Thera απετέλεσε τμήμα των 96.000 ξένων bhikkhus που είχαν φτάσει από πολλά αρχαία ινδικά κράτη και την Περσία για την τελετουργική εκδήλωση. Προφανώς, ο Βουδισμός ήταν η ζωντανή δύναμη πίσω από την αλληλεπίδραση της Σρι Λάνκα με τις ξένες χώρες στην πρώιμη ιστορία και όπως αποκαλύπτουν μελέτες, η βακτριανή ελληνική (ινδοελληνική) επιρροή τις περασμένες μέρες είχε μόνιμο αντίκτυπο στη Σρι Λάνκα. Ο καθηγητής Perera του Τμήματος Φιλοσοφίας του Πανεπιστημίου του Μεξικού και πρώην εκδότης της Βουδιστικής Εγκυκλοπαίδειας γράφοντας ένα επιστημονικό δοκίμιο με θέμα «Κολοσσιαίες Απεικονίσεις του Βούδα της Αρχαίας Σρι Λάνκα» είχε δηλώσει ότι η ελληνική τέχνη της Βακτριανής επηρέασε τη γλυπτική των κολοσσιαίων εικόνων του Βούδα στην Σρι Λάνκα. Οι Βακτριανοί, φεύγοντας από τη ΒΔ Ινδία εξαπλώθηκαν από την Καμπούλ στο Παντζάμπ μετά την ήττα τους από την Chandragupta στην περίοδο Mauryan. Έχοντας ακολουθήσει όμως το νέο βουδιστικό δόγμα ενώ βρίσκονταν στη ΒΔ Ινδία, μετά τη μετατόπισή τους, σμίλεψαν επιβλητικές εικόνες του Βούδα σε όρθια θέση στην περιοχή Bamiyan στο Αφγανιστάν, οι οποίες καταστράφηκαν από τους Ταλιμπάν πριν από μερικά χρόνια. Αυτές οι εικόνες που δηλώνει ο καθηγητής Perera οδήγησαν στις ιδέες που σχετίζονται με την δημιουρηία κολοσσιαίων αγαλμάτων του Βούδα στη Σρι Λάνκα. Η πρώτη προσπάθεια ήταν η χάραξη της Εικόνας του Βούδα Avukana στην αρχαία Rajarata. ----------------------------------------------------------------- Rajitha Weerakoon discusses the Greek connection with colossal Buddha statues Around 30,000 Greek bhikkhus had arrived in Anuradhapura from the monasteries of Alasanda (the city of the Yonas, Alexandria in present Afghanistan) according to Geiger’s Mahavamsa (chapter XX1X (39)) to participate in the inauguration of the construction of the Mahaseya (Ruvanveliseya.) The Greek bhikkhus led by Yonamahadharmarakkhita Thera had been part of 96,000 foreign bhikkhus who had arrived from several ancient Indian states and Persia for the ceremonial event. Evidently, Buddhism had been the vibrant force behind Sri Lanka’s interaction with foreign countries in early history and as studies reveal, Bactrian Greek (Indo-Greek) influence in days gone by has had a lasting impact on Sri Lanka. Professor A.D.T.E. Perera of the Department of Philosophy, University of Mexico and former Editor of the Buddhist Encyclopaedia writing a scholarly essay on “Colossal Buddha Images of Ancient Sri Lanka” had stated that Bactrian Greek art influenced the sculpture of colossal images of the Buddha in Sri Lanka. Bactrians, on leaving NW India spread out from Kabul to Punjab after their defeat by Chandragupta in the Mauryan Period. But having been attracted to the new Buddhist doctrine while they were in NW India, they, after their shift, sculpted imposing images of the Buddha in standing position in the Bamiyan Region in Afghanistan which were destroyed by the Taliban a few years ago. These images Professor Perera states led to the ideas pertaining to the turning out of colossal statues of the Buddha in Sri Lanka. The first attempt was the carving of the Avukana Buddha Image in the ancient Rajarata.
Εκτός από τις κολοσσιαίες απεικονίσεις του Βούδα, η ελληνική επιρροή στην πρώιμη λογοτεχνία συζητείται από τον καθηγητή Merlin Peris στο βιβλίο του με τίτλο «Mahavamsa Studies: Greek myths in Ancient Tradition» όπου αποκαλύπτει στοιχεία της ελληνικής μυθολογίας σε ορισμένα ανέκδοτα που σχετίζονται με το Mahavamsa. Αναλυτικά τη δήλωσή του λέει ότι ο Λ.Σ. Ο Perera, ο A.L. Basham και ο G. C. Mendis στο «Πανεπιστήμιο της Κεϋλάνης, Ιστορία της Κεϋλάνης» είχαν σχολιάσει τις συγγένειες που μπορούσαν να φανούν στην υπόθεση Vijaya-Kuveni με αυτή της ελληνικής περιπέτειας του Οδυσσέα με την Κίρκη στον Όμηρο. Ο καθηγητής Peris λέει ότι εξάλλου, ο ελληνικός μύθος του Ιάσωνος και της Μήδειας μιμείται στη δολοφονία των γιακσά με τη βοήθεια της Kuveni και στην απόλυση της ίδιας και των παιδιών της για βασιλικό γάμο (οι άντρες φοβούνται τις μάγισες) Μοτίβα ελληνικής ιστορίας, υποστηρίζει ο Peris, μπορεί έχουν βρει τον δρόμο τους στο «Attakatha Mahavamsa» (λογοτεχνικό έργο πριν από τον Mahavamsa) προτού ενσωματωθεί από τον συγγραφέα Mahavamsa όταν έγραψε για τη βασιλεία των πρώτων βασιλιάδων μας. Ο καθηγητής Peris βλέπει στοιχεία του ελληνικού μύθου της Δανάης στα επεισόδια της Ummadacitta, σε ορισμένους πρώιμους ήρωες και στην θυσία της Viharamahadevi. Ωστόσο, ενώ η ερμηνεία του καθηγητή Peris για την ενσωμάτωση των στοιχείων της ελληνικής μυθ-ιστορίας στην παλαιότερη λογοτεχνική παράδοση δίνει τροφή για σκέψη, ο ελληνικός αντίκτυπος στη θρησκευτική κουλτούρα της Σρι Λάνκα δείχνει το γεγονός ότι η Σρι Λάνκα ήταν εντεταγμένη στην διεθνή δίνη. --------------------------------------------------------------- Besides the colossal images of the Buddha, Greek influence on early literature is discussed by Professor Merlin Peris in his book titled “Mahavamsa Studies Greek myths in Ancient Tradition” where he discloses an element of Greek mythology in certain anecdotes related in the Mahavamsa. Elaborating on his statement he says that L.S. Perera, A.L. Basham and G. C. Mendis in the “University of Ceylon, History of Ceylon” had commented on the affinities which could be seen in Vijaya-Kuveni affair with that of the Greek adventure of Odysseus with Circe in Homer. Professor Peris says that besides, the Greek myth Jason and Medea is emulated in the killing of the yakshas with Kuveni’s help and the dismissal of her and her children for a royal marriage (men are afraid of enchantresses.) Greek story motifs Professor Peris says may have found their way into the “Attakatha Mahavamsa” (pre-Mahavamsa literary work) before being incorporated by the Mahavamsa author when he wrote on the reigns of our earliest kings. Professor Peris sees motifs of the Greek myth of Danae in the episodes of Ummadacitta, certain early heroes and the sacrifice of Viharamahadevi. However, while Professor Peris’ interpretation of incorporation of Greek story motifs in the earliest literary tradition gives food for thought, Greek impact on Sri Lankan religio-culture illustrates the fact that Sri Lanka had been very much in the international whirlpool.
Κολοσσιαία Βουδιστικά αγάλματα στο Bamiyan: το μεγάλο άρρενος & το μικρότερο θήλεως! ----------------------------------------------------------------Carved in the sixth and seventh centuries, the Buddhas represented a confluence of religious and artistic traditions from India, China, Central Asia, and Iran, and even an echo of Greek influence brought by Alexander the Great’s armies. "The Buddhas of Bamiyan" by Llewelyn Morgan -------------------------------------------------------------------In Hazara folklore, the statues are of a star-crossed couple Salsal and Shahmama, whose doomed love ends tragically in both their deaths. The two remain forever separated, petrified in stone, looking across the Bamiyan valley. .. "State of the World's Minorities and Indigenous Peoples 2016 - Case study: Hazara heritage and the uncertain future of the Buddhas of Bamiyan"


Ας το πούμε πιό καθαρά: οι δύο "Βούδες" του Bamiyan ''είναι'' η Παρθενόπη & ο Μητίοχος .. υιός του Μιλτιάδου, αποθανών εν Περσία !?
[image error]
Alexander as Rider (MMA acc. no. 55.11.11); bronze; Arthribis (?), Egypt; ca. 3rd century BCE. [Image courtesy of the Metropolitan Museum of Art, New York].https://www.icomos.de/admin/ckeditor/...
https://www.khanacademy.org/humanitie... two large Buddha images reflected the international environment of the Bamiyan Valley and were influenced by the art and cultures of India, Central Asia and even ancient Greek culture. For example, both Buddhas wore flowing robes and have been described as having wavy curls of hair. This hairstyle and the flowing drapery are elements rooted in early Gandharan Buddhist imagery that combined Hellenistic Greek traditions of representation with Indian subject matter.[2]
ΜΗΤΙΟΧΟΣ & ΠΑΡΘΕΝΟΠΗ: ΤΟ ΕΛΛΗΝΙΣΤΙΚΟ ΜΥΘΙΣΤΟΡΗΜΑ ΚΑΙ ΟΙ ΜΕΤΑΓΡΑΦΕΣ ΤΟΥ ΣΤΟΥΣ ΑΙΩΝΕΣ Σ' ΑΝΑΤΟΛΗ ΚΑΙ ΔΥΣΗ ..
.. To μυθιστόρημα του Μητιόχου και της Παρθενόπης (Μ&Π) είναι ίσως το παλαιότερο ρομάντσο της ευρωπαϊκής λογοτεχνίας σε πεζό λόγο - χρονολογείται από τον 1ο αι. π.X.H ηρωίδα είναι κόρη του τυράννου της Σάμου Πολυκράτη, ο Μητίοχος είναι γιoς του αθηναίου στρατηγού Μιλτιάδη (ο αναχρονισμός είναι συνηθισμένος στα αρχαία ελληνικά μυθιστορήματα - AEM).Το ρομάντσο, σύμφωνα με τέσσερα φθαρμένα παπυρικά αποσπάσματα που διαθέτουμε, αρχίζει με ένα συμπόσιο στην αυλή του Πολυκράτη.Τελετάρχης είναι ο φιλόσοφος Αναξιμένης και η συζήτηση που διεξάγεται αφορά τη φύση του έρωτα. Στη συζήτηση παίρνουν μέρος και οι δύο νέοι. Αγνοούμε τη συνέχεια, όμως γνωρίζουμε ότι η ιστορία τού M&Π υπήρξε πολύ δημοφιλής στους επόμενους αιώνες.Ο Διονύσιος ο Περιηγητής (αρχές 2ου αι. μ.X.) αναφέρει ότι η αγνή Παρθενόπη έζησε στην Καμπανία και πήρε το όνομά της διά το πολλοίς υποπεσούσα ανδράσι φυλάξαι την παρθενίαν.Ο Λουκιανός - περίπου σύγχρονος του Διονυσίου - μας πληροφορεί ότι στη M. Ασία εξακολουθούν να παριστάνονται πολλά δράματα, ανάμεσα στα οποία η θλιβερή ιστορία του Πολυκράτη και η περιπλάνηση της Παρθενόπης ως την Περσία. Μάλιστα διερωτάται ποιος σοβαρός άνθρωπος θα παρακολουθούσε έναν θηλυπρεπή ηθοποιό (θηλυδρίαν) ντυμένο γυναίκα να μιμείται ερωτικά γύναια, όπως Φαίδρες, Παρθενόπες και Ροδόπες.Τέλος, δύο μωσαϊκά από τη Συρία (2ος αι. μ.X.) δείχνουν την Παρθενόπη να συζητεί με τον Μητίοχο που είναι ντυμένος Ρωμαίος αξιωματικός. Δεν αποκλείεται και τα δύο μωσαϊκά να εξεικονίζουν θεατρικές παραστάσεις εμπνευσμένες από την ιστορία της Παρθενόπης. ΠΗΓΗ: Γιατρομανωλάκης Γιώργης & Lugubelinus OKT 2013
ΣΗΜ: ο Μητίοχος είναι υιός του Αθηναίου Μιλτιάδου, αιχμαλωτίσθηκε δε από τους Πέρσες και έζησε στην Περσική επικράτεια ..
And the Persian for “Naples” is?Την περασμένη εβδομάδα διάβασα το πιο συναρπαστικό βιβλίο που έχω διαβάσει εδώ και χρόνια. Αν συνεχίσω θα αναφέρω ότι αυτό το βιβλίο συγκρίνει τα αποσπασματικά λείψανα ενός αρχαίου ελληνικού μυθιστορήματος με τα θραύσματα ενός μεσαιωνικού περσικού επικού ποιήματος, αυτή μπορεί κάλλιστα να είναι η στιγμή που χωρίζουμε την παρέα σου, αγαπητέ αναγνώστη. Και αν εγκαταλείψετε αυτό το ιστολόγιο και βρείτε κάτι πιο ενδιαφέρον να κάνετε, θα το καταλάβω. Ήταν μεγάλη έκπληξη και για μένα.

Γιατί όμως το βρήκα τόσο ενδιαφέρον; Το ελληνικό κείμενο είναι μερικές σελίδες ενός μυθιστορήματος, που ίσως γράφτηκε τον πρώτο αιώνα μ.Χ., με τίτλο Παρθενόπη ή Μητίοχος και Παρθενόπη, ενώ το μάλλον μεγαλύτερο απόσπασμα της περσικής ποιήσεως είναι ένα κομμάτι του Vamiq u 'Adhra (Ο ένθερμος εραστής και η παρθένος), που γράφτηκε από τον ποιητή ‘Unsuri στο Ghazni, τώρα στο Αφγανιστάν, στο ενδέκατος αιώνας μ.Χ. Κατά τύχη, τα πολύ μικρά μέρη κάθε έργου που σώζονται αλληλοκαλύπτονται και είναι απολύτως ξεκάθαρο ότι το περσικό ποίημα είναι μίμηση του ελληνικού μυθιστορήματος. Ο σύνδεσμος ή οι σύνδεσμοι μεταξύ των δύο κειμένων πρέπει να είναι αρκετά στενοί: μπορεί να υπήρχε μια αραβική ενδιάμεση εκδοχή του ελληνικού μυθιστορήματος που ο ‘Unsuri μετέτρεψε σε περσικό στίχο, αλλά είναι επίσης πιθανό η «μετάφραση» από τα ελληνικά στα περσικά να ήταν άμεση — ότι ‘Unsuri ή κάποιος συνεργάτης εγνώριζε και διάβαζε ελληνικά, με άλλα λόγια.
Όλα αυτά δημιουργούν μιαn αρκετά αποπροσανατολιστική εμπειρία αναγνώσεως. Σε αυτό το αφγανικό ποίημα, που γράφτηκε μια γενιά περίπου πριν από την κατάκτηση των Νορμανδών, βρισκόμαστε να διαβάζουμε για τον πατέρα του 'Adhra, Fuluqrat (Πολυκράτης), τύραννο του Shamus (Σάμος), με τον ποιητή της αυλής του Ifiqus (Ibykos: "In Iran and Rum and Hindustan / Είπαν καλά λόγια για αυτόν»). Εν τω μεταξύ, ο Vamiq αφηγείται την ιστορία του Hurmuz (Ερμής) που ανακαλύπτει για πρώτη φορά πώς ένα κέλυφος χελώνας μπορεί να γίνει λύρα και συγκρίνει τον εαυτό του με τον Landrus (Λέανδρος) στην παθιασμένη αφοσίωσή του και τον 'Adhra στον Haru (Ήρωα) στην ομορφιά της. Οι πλοκές, ή μάλλον η πλοκή, του μυθιστορήματος και του ποιήματος είναι η κλασική πλοκή ενός αρχαίου μυθιστορήματος: ένα όμορφο αγόρι και όμορφη κοπέλα συναντιούνται, ερωτεύονται αμέσως, χωρίζονται από ατυχία και το κορίτσι διατηρεί την παρθενιά της (το 'adhra είναι αραβικό για «παρθένος» και παρθεν- σημαίνει επίσης «παρθένος» στα ελληνικά) παρά τις πολυάριθμες ατυχίες και τα αναγκαστικά ταξίδια με πειρατές και δουλέμπορους μακριά και ευρέως. Μεταξύ άλλων, το ποίημα του ‘Unsuri φαίνεται να έχει μεταφέρει τον 'Adhra και τον αναγνώστη στο Ριγκιγιούν (Ρήγιον) στη νότια Ιταλία, και πιθανώς στο Τάρεντουμ (Ταρας). Το όνομα «Παρθενόπη» σχετίζεται με την πόλη της Νάπολης, συγκεκριμένα με την μυθικό ιδρυτή της: συνήθως αυτή η Παρθενόπη λέγεται ότι είναι μια Σειρήνα που πνίγηκε και θάφτηκε εκεί, αλλά όταν (για παράδειγμα) ο Ρωμαίος ποιητής Πόπλιος Παπίνιος Στάτιος - Statius μιλάει για την Παρθενόπη, τήν ιδρυτή της Νάπολης, καθώς κάποιος «κουβαλούσε πάνω από τις θάλασσες» (Silvae 3.5.79), {According to tradition, Kyme founded Neapolis around 470 BCE (Pseudo-Scymnus, 242-243; Strabo, 5.4.7). A dove of Apollo was also said to hâve guided the settlers from Kyme to Neapolis (Statius, Silvae, 3.5.79-80).6 Récent excavations suggest the foundation date may hâve been earlier, ca. 530-500 BCE (Giampaola & d'Agostino, 2005, pp. 56-57, 59-60, 62). Chalkidians, Pithekoussans and Athenians also joined the colony, and at this time the city took the name of Neapolis (Strabo, 5.4.7).7 Both Kyme's and Neapolis' foundations were indirectly connected to the Thessalian hero Eumelos who was the récipient of a cuit at Neapolis (Statius, Silvae, 4.8.47-49; IG XIV. 715; Miranda, 1985, p. 392).8 Eumelos was the son of Admetus, a Thessalian king, who founded a temple of Apollo at Tamynae near Eretria (Strabo. 10.1.10). Statius{Silvae, 4.8.49) noted that Eumelos adored Apollo, the divinity that Statius considered to be the guide of the Euboean colonists in Italy.} είναι μια στροφή της φράσης που υποδηλώνει την περιπλάνησή της Παρθενόπη. Έτσι, η Νάπολη πιθανότατα σηματοδότησε το όριο των ταξιδιών της Παρθενόπης στη Δύση. Προφανώς στο τέλος της ιστορίας αγόρι και κορίτσι ενώθηκαν ξανά και έζησαν ευτυχισμένα για πάντα, αλλά δεν έχουμε ξεκάθαρα στοιχεία για αυτό.

Για έναν κλασικιστή, τουλάχιστον, είναι πολύ εκπληκτικό να βρίσκει ένα κλασικό ελληνικό κείμενο που ασκεί αυτό το είδος επιρροής προς τα ανατολικά στα σύνορα της Ινδίας, μια χιλιετία μετά τη σύνθεσή του. Ο ‘Unsuri ήταν ποιητής της αυλής του Mahmud του Ghazni {971-1030 μ.Χ. ΣτΜ: πλησίον της Kabul} και αυτή η αυλή, που εμπλουτίστηκε από τις στρατιωτικές επιδρομές του Mahmud στην Ινδία, υπήρξε ένα σημαντικό πολιτιστικό κέντρο. Εδώ δραστηριοποιήθηκε κατά τις τελευταίες δεκαετίες της ζωής του ο μεγάλος πολυμαθής al-Biruni, ενώ υπήρξε επίσης ο τόπος όπου συντέθηκε το εθνικό έπος του περσικού λαού, το Shahnama του Firdausi, «Το Βιβλίο των Βασιλέων». Στην περίπτωση του al-Biruni, γνωρίζουμε ότι η γραφή του επηρεάστηκε σε μεγάλο βαθμό από την ελληνική σκέψη: ο al-Biruni είναι μια αξιοσημείωτη φυσιογνωμία, ταυτόχρονα συγγραφέας της πρώτης μεγάλης μελέτης για την Ινδία, και ένα μυαλό βαθύς γνώστης του Αριστοτέλη, αν και πολύ έτοιμος να διαφωνήσει. με τον Έλληνα διδάσκαλο. Μπορεί επίσης να είχε κάποιο είδος εργασιακής σχέσεως με τον ‘Unsuri, καθώς μοιράζονταν ορισμένα κοινά θέματα (και οι δύο έγραψαν για τους Buddhas του Bamiyan, για παράδειγμα, καθώς και για το Vamiq and ‘Adhra). Ωστόσο, η αντίληψη ότι η ελληνική λογοτεχνία, εν αντιθέσει προς την φιλοσοφία, την επιστήμη ή τα μαθηματικά, θα μπορούσε να βρει τόσο θετική υποδοχή στις ανατολικές παρυφές του ισλαμικού κόσμου είναι κάτι άλλο.

Αυτός ο κλασικιστής έχει μερικούς ακόμη λόγους να ενδιαφέρεται για το ποίημα του ‘Unsuri, όλοι τους δε σχετίζονται με την προσωπική μου εμμονή με το Bamiyan. Ο πρώτος είναι απλώς μια δελεαστική πιθανότητα. Το κείμενο του Vamiq u ‘Adhra ανακαλύφθηκε από τον Πακιστανό μελετητή Mohammad Shafi περίπου το 1950, επαναχρησιμοποιηθέν στην βιβλιοδεσία ενός παλιού αραβικού θεολογικού εγχειριδίου. Ένα σημείωμα που βρέθηκε μαζί με τα φύλλα της ποίησης φαίνεται να είναι μια απογραφή βιβλίων που ανήκουν σε έναν άνδρα ονόματι Zaki b. Muhammad b. ‘Ali ‘Abd ul-Hamid al-Bamiyani, και η κατάληξη al-Bamiyani στο τέλος του εντυπωσιακού ονόματος αυτού του ανθρώπου μπορεί να υποδηλώνει ότι η βιβλιοθήκη από την οποία δημιουργήθηκε αυτό το αντίγραφο του Vamiq u ‘Adhra ευρίσκετο στο Bamiyan. Το ίδιο το χειρόγραφο χρονολογείται στον 12ο αιώνα και εκείνη την εποχή το Bamiyan ήταν μια ακμάζουσα και σημαντική πόλη, μέχρι την καταστροφή της από τον Τζένγκις Χαν το 1221.
Η προέλευση του χειρογράφου από το Bamiyan είναι μια ελκυστική πιθανότητα, αλλά μια λιγότερο αδύναμη σχέση είναι ότι ο Unsuri, συγγραφέας του Vamiq u 'Adhra, έγραψε και ένα άλλο ποίημα με τίτλο Khing but u Surkh but (το ΛΕΥΚΟ ΕΙΔΩΛΟ και το ΕΡΥΘΡΟ ΕΙΔΩΛΟ), μια άλλη ρομαντική ιστορία, επίσης χαμένη, η οποία πρόσφερε μιαν εξήγηση για τα μεγάλα αγάλματα του Βούδα στο Bamiyan, ονομαστά θαύματα στον μεσαιωνικό ισλαμικό κόσμο: Khing ήτοι «Λευκό είδωλο» και Surkh δηλαδή «Κόκκινο είδωλο» ήταν τα καθιερωμένα ονόματα στις ισλαμικές αφηγήσεις για τον μικρότερο και μεγαλύτερο Βούδα στο Bamiyan. Το ποίημα του Unsuri για τους Βούδες μοιραζόταν το ίδιο μετρικό και ομοιοκαταληξιακό σύστημα με το Vamiq u ‘Adhra, ένα επικό σύστημα που χρησιμοποιείται επίσης για ειδύλλια, και στην πραγματικότητα είναι συχνά ασαφές ποια θραύσματα ανήκουν στον Vamiq u ‘Adhra και ποια στον Khing but u Surkh but. Αλλά ξέρουμε ότι το τελευταίο ποίημα περιέγραφε πώς δύο εραστές χωρίστηκαν και πέθαναν χωριστά, αλλά θάφτηκαν μαζί, με τους τάφους τους να είναι τα δύο γιγάντια αγάλματα του Βούδα. (Πρόσφατη έρευνα έχει προτείνει ότι αυτά τα ονόματα για τους Βούδες προήλθαν πολύ νωρίς στην ισλαμική ιστορία του Αφγανιστάν. Τα αγάλματα σκαλίστηκαν τον 6o και τον 7o αιώνα μ.Χ., αλλά ήδη από το 800 μ.Χ. το Bamiyan είχε προσηλυτισθεί στο Ισλάμ. Όταν μουσουλμάνοι μάρτυρες περιέγραψan για πρώτη φορά τους Βούδες, τα αγάλματα διατηρούσαν κάποια από την πλούσια διακόσμηση που διέθεταν όταν το Bamiyan ήταν ακόμα Βουδιστικό. Από την καταστροφή των Βούδων το 2001, Γερμανοί ερευνητές διαπίστωσαν ότι τα αγάλματα ξαναβαφτίστηκαν επανειλημμένα κατά τη βουδιστική περίοδο, αλλά στην τελική τους μορφή βάφτηκαν λευκό (khing) στην περίπτωση του μικρότερου Βούδα και κόκκινο (surkh) στην περίπτωση του μεγαλύτερου. Δεν είναι συχνό οι ιστορικές πηγές και η αρχαιολογία να συνδυάζονται τόσο όμορφα.)
Στο βιβλίο μου για το Bamiyan χρησιμοποίησα το γεγονός ότι ο ‘Unsuri’ έγραψε ένα ποίημα γι' αυτούς για να δείξω πόσο διαφορετική ήταν ιστορικά η μουσουλμανική στάση απέναντι στους γιγάντιους Βούδες. Για να ακούσετε τους Ταλιμπάν θα σκεφτόσασταν ότι, ως θρησκευτικές εικόνες, ήταν μια προφανής προσβολή για το Ισλάμ. Αλλά το γεγονός είναι ότι επέζησαν για περισσότερα από χίλια χρόνια σε μια ισλαμική κουλτούρα, όπου αντιμετωπίζονταν (όπως έχω ήδη αναφέρει) ως θαύματα του θεόπλαστου κόσμου. Εδώ στο ποίημα του ‘Unsuri’ ήταν οι ρομαντικοί πρωταγωνιστές.
Αυτό μας φέρνει γύρω από αυτό που πιστεύω ότι είναι το πιο σημαντικό πράγμα που έχει να μας πει ο Vamiq u ‘Adhra για το Bamiyan. Περιέγραψα τον προστάτη του ‘Unsuri’, τον Mahmud του Ghazni,, ως μεγάλο προστάτη των τεχνών. Αυτό συνέβαινε στη λογοτεχνία και τις φυσικές επιστήμες, καθώς και στις εικαστικές τέχνες: για παράδειγμα, όμορφα διακοσμημένα ανάκτορα των Γαζναβιδών κάποτε παρατάχθηκαν στον ποταμό Helmand κοντά στο Lashkar Gah (την χειμερινή πρωτεύουσα των Γκαζναβιδών), ένα μέρος με εντελώς διαφορετικούς συνειρμούς σήμερα. Αλλά είναι δίκαιο να πούμε ότι δεν είναι ο τρόπος με τον οποίο ο Mahmud φαίνεται σε όλα τα μέρη. Πάρτε για παράδειγμα τον Mullah Omar, πνευματικό επικεφαλής των Ταλιμπάν, ο οποίος επανειλημμένα, ενόψει της καταστροφής των Βούδων του Bamiyan το 2001, ανέφερε τον Mahmud του Ghazni ως προηγούμενο για την δική του πολιτική. Μια ιστορία, και είναι απλώς μια ιστορία, αφηγείται τη λεηλασία του ινδουιστικού ναού από τον Mahmud στο Somnath στην ακτή του Gujarat: οι ιερείς στο ναό, όπως μας λένε, προσπάθησαν να αγοράσουν πίσω το είδωλό τους, έναν Shiva linga, από τον Mahmud, στον οποίο υποτίθεται ότι απάντησε, «Είμαι ο ειδωλοθραύστης (but-shekan), όχι ο ειδωλοπώλης (but-furosh)». Σύμφωνα με το παραμύθι, ο Mahmud είναι ο τέλειος Ισλαμιστής πολεμιστής, χωρίς να αποσπάται η προσοχή του για την ευσεβή καταστροφή των ειδώλων από την αποπλάνηση του χρήματος. Το 2001, όταν ξένες οργανώσεις προσφέρθηκαν να πληρώσουν στο Αφγανιστάν για να διατηρήσουν τους Βούδες, ο Mullah Omar απάντησε με τα (υποτιθέμενα) λόγια του Mahmud και φυσικά προχώρησε στο να σπάσει τα είδωλα του Bamiyan.
Αλλά η αλήθεια για τον Mahmud υπάρχει, αν κοιτάξουμε αρκετά προσεκτικά, στο Vamiq u ‘Adhra. Ο Mahmud δεν οδηγείται από θρησκευτικό ζήλο, αλλά υποκινούνταν από τις ανθρώπινες και πρακτικές απαιτήσεις ενός εντυπωσιακού ανακτόρου, ενός επαγγελματικού στρατού και επεκτατικών φιλοδοξιών: χρειαζόταν χρήματα και οι πλούσιοι ναοί της Ινδίας ήταν καλές πηγές τους. Τα μετρητά ήταν το κίνητρό του για την εισβολή στην Ινδία, όχι η διάσωση ψυχών. Τώρα ο Mahmud αναμφίβολα έντυσε τις δραστηριότητές του ως ενέργειες ενός ευσεβούς μουσουλμάνου που έφεραν φώτιση στους ειδωλολάτρες Ινδούς. Στην πραγματικότητα, όμως, η θέση της αυτοκρατορίας των Γκαζναβιδών στα σύνορα μεταξύ του κόσμου του Ισλάμ και της Ινδίας απαιτούσε από έναν ηγεμόνα στην επικίνδυνη θέση του να είναι πολύ φιλελεύθερος, επί του παρόντος, στις σχέσεις που διατηρούσε με άλλες θρησκείες. Για παράδειγμα, υπήρχε μια ινδική συνοικία στο Gazni, όπου ζούσαν ινδικά σώματα που αποτελούσαν σημαντικό μέρος των δυνάμεων εισβολής του Mahmud. Ακούμε ακόμη και για τις χήρες των πεσόντων Ινδών στρατιωτών του Mahmud να κάνουν sati, μια εντελώς αντιισλαμική πρακτική.
Στο Vamiq u 'Adhra ο Mahmud, ή ίσως ο διάδοχός του Ma'sud, απόλαυσε μια ελληνική λαϊκή ιστορία ενός ζευγαριού που συναντήθηκε στο περίφημο ναό haikal ή but-khana της Ήρας στην Σάμο, μια από αυτές μια δυναμική νεαρή γυναίκα που διατηρεί τη δική της φιλοσοφική συζήτηση για τη φύση της Αγάπης στην παρέα των ανδρών και αργότερα πολεμά στη μάχη. Η λογοτεχνία δεν είναι ζωή με κανέναν απλό τρόπο, φυσικά, αλλά είναι εξίσου σαφές ότι η ιδέα του Mahmud ως μοντέλου πουριτανικού ζηλωτού δεν μπορεί να επιβιώσει στο εκλεπτυσμένο και ένδοξα πολυχρωματικό περιβάλλον της αυλής του στο Gazni ή στα ανάκτορα αναψυχής δίπλα στο Helmand.
Παρά την πολυπλοκότητα, η ζωή στο Αφγανιστάν του ενδέκατου αιώνα ήταν ανασφαλής. Στους δύο αιώνες μετά την καριέρα του ‘Unsuri (ο οποίος πέθανε το 1039/40), η Γκάζνι θα λεηλατηθεί δύο φορές, από έναν ηγέτη Ghurid, γνωστό για τη μεταχείρισή του προς τον Γκάζνι ως Jahan-suz, «Ο Κόσμος-καύστης», και στη συνέχεια με ακόμη μεγαλύτερη καταστροφική δύναμη από τον Genghis Khan. Το Μπαμιγιάν, επίσης, θα καταστραφεί από τους Μογγόλους: ο περιηγητής ibn-Battuta μας λέει ότι «ο Τζένγκις έσφαξε τους κατοίκους του Μπαμιγιάν και το κατέστρεψε από πάνω μέχρι κάτω, με εξαίρεση τον μιναρέ του Τζαμί της Παρασκευής». Δεν προκαλεί έκπληξη το γεγονός ότι το ποίημα του ‘Unsuri για τον Vamiq and ‘Adhra εξαφανίστηκε.
ΣΗΜΕΙΩΣΕΙΣ
ΒΙΒΛΙΟΓΡΑΦΙΑHans van Roon. 2012. "Bactrian Greeks, the Bamiyan and Avukana Buddha statues," Source: The Sunday Times (of Sri Lanka) in MONGOLS CHINA AND THE SILK ROADQ Archaeology and History of the Silk Road, <https://mongolschinaandthesilkroad.bl... by Hans van Roon at 22:15
http://dlib.pdn.ac.lk/bitstream/1/427...
https://www.jstor.org/stable/43307281..., A. 2014. "Vijaya and Romulus: Interpreting the Origin myths of Sri Lanka and Rome," Journal of the Royal Asiatic Society (third series) 24 (1), pp. 51-73.
http://www.srilankaguardian.org/2014/... Lanka Guardian, 2014. Greek settlements & influence in ancient Sri Lanka.
https://archive.org/details/mahavamsa..., W. 1912. Mahavamsa: the great chronicle of Ceylon, University of California Libraries.
https://www.jstor.org/stable/j.ctt2jb..., L. 2012. The Buddhas of Bamiyan, Harvard University Presshttps://youtu.be/tOzS-2S-Oes
https://tsukuba.repo.nii.ac.jp/record... Taniguchi and Marine Cotte. 2022. The Wall Paintings of Bamiyan, Afghanistan Technology and Materials, Archetype Publications.
https://www.khanacademy.org/humanitie...
https://britishmuseum.iro.bl.uk/downl...
Errington, E. 2017. The Charles Masson Archive: British Library, British Museum and Other Documents Relating to the 1832–1838 Masson Collection from Afghanistan.
https://upload.wikimedia.org/wikipedi... NagaokaCulture UnitUNESCO ed. 2020. The Future of the Bamiyan Buddha Statues. Heritage Reconstruction in Theory and Practice, Phnom Penh, Cambodia.
Γιατρομανωλάκης, Γ. 2008. "H παρθένα και ο αγαπητικός της," το Βήμα, <https://www.tovima.gr/2008/11/24/book... (6 Δεκ. 2024).
https://bmcr.brynmawr.edu/2005/2005.1..., M. 2016. Rev. of. T. Hägg, L. Boje Mortensen, T. Eide, Parthenope : selected studies in ancient Greek fiction (1969-2004), in BMCR 2005.10.16.
Llewelyn Morgan. 2013. "And the Persian for “Naples” is?," Lugubelinus, <https://mongolschinaandthesilkroad.bl... (6 Dec. 2024).
http://www.bibliotheca-classica.org/s..., Β. and T. Hägg, 2003. The Virgin and her Lover: Fragments of an Ancient Greek Novel, Leiden.
https://bmcr.brynmawr.edu/2006/2006.0... Becker, A. 2006. Rev. of Rev. of T. Hägg and B. Utas, Fragments of an Ancient Greek Novel and a Persian Epic Poem, in BMCR 2006.05.05.
https://open.library.ubc.ca/soa/cIRcl... Sharon Lane. 2009. "Archëgetës, Oikistës, and New-Oikistës: The Cults of Founders in Greek Southern Italy and Sicily" (diss. Univ. of British Columbia).
ΜΗΤΙΟΧΟΣ & ΠΑΡΘΕΝΟΠΗ: ΤΟ ΕΛΛΗΝΙΣΤΙΚΟ ΜΥΘΙΣΤΟΡΗΜΑ ΚΑΙ ΟΙ ΜΕΤΑΓΡΑΦΕΣ ΤΟΥ ΣΤΟΥΣ ΑΙΩΝΕΣ Σ' ΑΝΑΤΟΛΗ ΚΑΙ ΔΥΣΗ ..
October 25, 2024
WRESTLING IN QIN/HAN CHINA & ATTIKA!


ΣΧΟΛΙΑΣΜΟΣ ΑΤΤΙΚΟΥ ΑΓΓΕΙΟΥ ΣΥΜΦΩΝΑ ΜΕ ΤΟ TUFTS: Berlin F 2159 (Vase) Πλευρά Β: παλαιστές. Δύο ζευγάρια παλεύουν ενώ ένας προπονητής παρακολουθεί. Στο κεντρικό ζευγάρι οι αντίπαλοι χυμούν ο ένας εναντίον του άλλου, με διασταυρωμένα τα αριστερά τους πόδια. Ο άντρας στα δεξιά έχει τυλίξει τα χέρια του γύρω από τον άλλον, πιάνοντας τον δεξί του αγκώνα πίσω από την πλάτη του. Ο άνδρας στα αριστερά εις ανταπόδωση πιάνει το ελεύθερο χέρι του από τον καρπό. Ο άνδρας στα αριστερά είναι γενειοφόρος, το πρόσωπο του άλλου είναι εν μέρει κρυμμένο πίσω από τον ώμο του πρώτου. Στα δεξιά, ένας νεαρός άνδρας με μεγάλες φαβορίτες στα πλάγια έχει σηκώσει έναν γενειοφόρο άνδρα στον ώμο του, με τα χέρια του κλειδωμένα γύρω από τη μέση του άνδρα και τα πόδια του λυγισμένα για να πάρει το βάρος. Ο γενειοφόρος άνδρας έχει πιάσει τους πήχεις του νεότερου, προσπαθώντας να χαλαρώσει την λαβή του. Ο γενειοφόρος άνδρας φαίνεται σε μετωπική όψη. Έχει λεπτό μουστάκι αλλά και γένια και τα μαλλιά του που φθάνουν το πηγούνι χωρίζονται στην μέση. Ο νεότερος διαθέτει φαβορίτες. Ένας μανδύας κρέμεται ανάμεσα στα δύο ζεύγη και ένας αμφορέας με λαιμόχειρα στέκεται από κάτω. Στην άκρη αριστερά ένας νεαρός άνδρας με μακριά μαλλιά και φαβορίτες (ο προπονητής) στέκεται και παρακολουθεί. Κρατάει ένα μακρύ ραβδί και μυρίζει ένα μεγάλο τριαντάφυλλο. Τα μακριά μαλλιά του πέφτουν σε τρέσες στους ώμους και κάτω από την πλάτη του. Φοράει ένα μανδύα διακοσμημένο με ρόδακα τυλιγμένο ώστε να αφήνει τον έναν ώμο γυμνό και το κεφάλι του μερικώς καλυμμένο. Ο δείκτης και τα μεσαία δάχτυλα του χεριού που κρατά το προσωπικό είναι τεντωμένα ευθεία.



Διάφορες σκηνές πάλης έχουν ανακαλυφθεί, μαζί με σκηνές τοξοβολίας, πάλης με ζώνη και οπλισμένους με σπαθιά, που δείχνουν τον σημαντικό ρόλο που παίζουν οι πολεμικές τέχνες στα γυμναστήρια της αυτοκρατορίας Kushana. Το "Rhabdops" ή ράβδος με ένα κομμάτι ύφασμα που χρησιμοποιούσε ο διαιτητής σε αγώνα πάλης που απεικονίζεται σε ένα ελληνικό αγγείο διακοσμημένο από τον Όνησιμο (490-480 π.Χ.), μοιάζει πολύ με αυτά που χρησιμοποιούσαν οι διαιτητές Kushana στην Gandhara περισσότερα από εξακόσια χρόνια αργότερα. Αυτό υποδηλώνει την συνέχεια των κανόνων της Ολυμπιακής πάλης και την μετάδοση της ελληνικής επιστήμης των μαχητικών αθλημάτων. Εάν στην Kushana διατηρούνταν η θρησκευτική σημασία των αγώνων και οι παραδοσιακοί Ολυμπιακοί κανόνες, με Έλληνες παλαιστές (Μένανδρος) να συμμετέχουν ακόμη, μπορούμε πιθανώς να συμπεράνουμε ότι οι παν-Κουσανικοί αγώνες γίνονταν σε ειδικές περιπτώσεις και ότι θα υπήρχε συμμετοχή σε διεθνείς αγώνες, οι οποίοι συνεχίστηκαν με την ίδια παράδοση στη Δάφνη μέχρι τον έκτο αιώνα. Οι ινδικοί αγώνες ελάμβαν χώρα την πρώτη ημέρα του σεληνιακού μήνα Kartik (Οκτώβριος) και διαρκούσαν δεκατρείς ημέρες σύμφωνα με το έπος της Mahabharata,25 όσο και οι Ολυμπιακοί Αγώνες, οι οποίοι διεξήγοντο την δεύτερη ή την τρίτη πανσέληνο μετά το θερινό ηλιοστάσιο (Αύγουστος έως Σεπτέμβριος).26 Η Milindapañha {Milindapañha είναι βουδιστικό κείμενο που χρονολογείται από το 100 π.Χ. έως το 200 μ.Χ. Υποτίθεται ότι καταγράφει έναν διάλογο μεταξύ του Ινδού βουδιστή σοφού Ναγκασένα και του ινδοελληνικού βασιλιά Μενάνδρου Α' της Βακτριανής του 2ου αιώνα π.Χ., στην Σαγκάλα, του σημερινού Σιαλκότ.} καταγράφει ότι ο παλαιστής έπρεπε να βάλει την πλάτη του αντιπάλου του στο έδαφος για να κερδίσει." Επιπλέον. Οι τεχνικές που χρησιμοποιούνται στην πάλη συγκρίθηκαν με τη διαδικασία σκέψεως28 ένας άμεσος παραλληλισμός με τις διδασκαλίες του Σωκράτους.29 {29: Το πιο ξεκάθαρο παράδειγμα βρίσκεται στον Πλάτωνα: Plat. Theaet. 169a-b. Η συσχέτιση των δεξιοτήτων της πάλης με τη φιλοσοφία ήταν ένα ιδιαίτερα ελληνικό χαρακτηριστικό καθ' όλην την διάρκεια των Πανελληνίων Αγώνων και επηρεάστηκε έντονα από τα συγγράμματα του Πλάτωνος από τον τέταρτο αιώνα π.Χ. Η πάλη συγκρίθηκε επίσης με την τέχνη της ρητορικής κατά την διάρκεια της Ρωμαϊκής Αυτοκρατορίας, όπως με τον {Έλληνα} Λιβάνιο της Αντιόχειας (314-394 μ.Χ., για παράδειγμα, ο οποίος επίσης εξασκούσε την πάλη και «χρησιμοποίησε τα κόλπα πάλης του ενάντια στον μέντορά του» στην διαλεκτική του γεια, σύμφωνα με μια επιστολή του πρός τον συγγενή του Βασσιανό - Bassianus το 360 μ.Χ. Nylus Ankyranus (μ.Χ.; -430), ενώ ο Ιωάννης Χρυσόστομος υπεστήριξε τον ίδιο συσχετισμό μεταξύ ψυχής και σωματικής μάχης στο Narratio του (3; 10-14), λέγοντας ότι ο παιδοτρίβης θα έπρεπε να διδάσκει τους νεαρούς μαθητές του τις πολεμικές τέχνες για να αντιστέκονται στα πάθη τους και να παραμένουν έτσι « στον βράχο (της αρετής),» όπως οι ναυτικοί θα θέτουν τα σκάφη τους ενάντια στις καταιγίδες (του πάθους) στα λιμάνια.[6]Ο ίδιος Lucas Christopoulos προσέθεσε (December 4, 2022 @ 9:35 pm):Ήταν ο Ying Zheng (Qinshi Huangdi) που θεσμοθέτησε την πάλη στην Αυτοκρατορία (Jiang wu zhi li, ba wei juedi shi shi 講 武之禮, 罷爲角抵是時). Αυτό προέκυψε ως αποτέλεσμα μετά τη σωματική επαφή με τους Ελληνοβακτριανούς (Έλληνες και εξελληνισμένους Ιρανοσκύθες ιππείς) στο Gansu στο τέλος της περιόδου των εμπόλεμων κρατών. Τα στοιχεία επαφής (συμμαχίας) είναι τα δώδεκα χρυσελεφάντινα αγάλματα των «Di barbarians» από το Lintao και το χρυσό κολοσσιαίο άγαλμα του βασιλιά Xiutu που βρέθηκε εκατό χρόνια αργότερα επίσης στο Gansu.[7]
[image error] UNBEARDED Heracles with his lion from Gandhara![8]

ΣΗΜΕΙΩΣΕΙΣ[1]. Yunxiang Bai 2009, fig. 10.[2]. https://www.perseus.tufts.edu/hopper/.... Andrea Jian Chen 2018, fig. 23.[4]. <https://sogdians.si.edu/cup-with-goat..., fig. 2. After Alexander M. Belenitsky [Belenizki], Monumental’noe iskusstvo drevnego Pendzhikenta: Zhivopis’, skul’ptura Монументаль’ное искусство древнего Пенджикента: Живопись’, скул’птура (Monumental art of ancient Panjikant: Painting and sculpture) (Moscow: Iskusstvo, 1973), 30.[5]. MMA 1994.112, Gandhara, https://www.metmuseum.org/art/collect.... Christopoulos 2013.[7]. Christopoulos 2022, <https://languagelog.ldc.upenn.edu/nll..., < https://languagelog.ldc.upenn.edu/nll... Το πρωτότυπο κείμενο έχει ως εξής:It was Ying Zheng (Qinshi Huangdi) who institutionalized wrestling in the Empire (Jiang wu zhi li, ba wei juedi shi shi 講 武之禮, 罷爲角抵是時). It came as a result following the physical contact with the Greco-Bactrians (Greeks and Hellenized Irano-Scythian horsemen) in Gansu at the end of the Warring State period. The contact (alliance) evidences are the twelve chryselephantine statues of “Di barbarians” from Lintao and the golden colossal statue of king Xiutu found a hundred years later in Gansu as well.[8]. Βάρος ασκήσεως παλαιστών με εμπρόσθια παράσταση του Ηρακλέους με τον λέοντα της Νεμέας και των Διοσκούρων στην οπίσθια, βλ. σημ. 5.[9]. http://www.museum-dkm.de/en/relief-wi..., Bai. 2009. "Archaeological Discoveries and Qin-Han Period Sports and Games" Chinese Archaeology 9 (1), pp. 47-54.
https://www.academia.edu/39832575/Sil... Jian Chen. 2018. "Silk Road Influences on the Art of Seals: A Study of the Song Yuan Huaya," MDPI Humanities (Special Issue: Further Explorations Along the Silk Road) 7 (3), 83, pp. 1-37.
https://www.jstor.org/stable/i2469992..., L. 2013. "Greek Combat Sports and Their Transmission to Central and East Asia," The Classical World 106 (3), pp. 431-459.
October 22, 2024
HEAVY GREEK INFLUENCE ON GANDHARAN ART & BUDDISM
ΑΝΑΓΛΥΦΟ ΜΕ ΤΟΝ Devadatta ΕΠΙΧΕΙΡΟΥΝΤΑ ΤΗΝ ΘΑΝΑΤΩΣΗ ΤΟΥ ΒΟΥΔΑ - Relief with Devadatta attempting to murder Buddha (Collection DKM) - ΠΛΗΘΩΡΑ ΕΛΛΗΝΙΚΩΝ & ΕΛΛΗΝΟ-ΡΩΜΑΙΚΩΝ ΕΠΙΡΡΟΩΝ!

Ανάγλυφο με παράσταση της απόπειρας δολοφονίας του Devadatta κατά του ΒούδαΦυσικό στυλσχιστόλιθο25,5 x 39 x 6 cm HBTΟ θρύλος που απεικονίζεται στις ανάγλυφες αφηγήσεις για τις δύο πρώτες επιθέσεις κατά του Siddhārtha από τον κακό ξάδερφο Devadatta. Μετά την ένταξή του στο βουδιστικό τάγμα, αυτός εδώ προσπάθησε ανεπιτυχώς να αναλάβει την ηγεσία του εκκλησιάσματός του. Ο Devadatta προσπάθησε να σπρώξει τον Βούδα μέσα από μια σειρά επιθέσεων αλλά μάταια. Σύμφωνα με τον Mūlasarvāstivādin Vinaya, ο Devadatta είχε έναν μηχανικό και 500 άνδρες να φτιάξουν μια μηχανή για να σκοτώσουν τον Βούδα για την πρώτη του απόπειρα δολοφονίας. Ωστόσο, ο Devadatta εξέδωσε την εντολή μόνο αφού επιβεβαίωσε ότι οι άνδρες ήταν αποφασισμένοι να σκοτώσουν τον Βούδα εάν η συσκευή δεν έπρεπε να λειτουργήσει. Ωστόσο, οι μηχανικοί μετάνιωσαν για ό,τι έκαναν πριν τεθεί σε λειτουργία η μηχανή, κατέβηκαν στον Βούδα και μετατράπηκαν. Η δεύτερη προσπάθεια του Devadatta ήταν να ρίξει μια μεγάλη πέτρα στον Βούδα. Ο Vajrapāṇi (ΣτΜ: ΗΡΑΚΛΗΣ), ωστόσο, συνέτριψε αυτόν και ένα Yakṣa (αρσενικό πνεύμα της φύσης, που σχετίζεται με τη φυτοφαγία και την ευημερία, θηλυκό Yakṣī) έχασε τη ζωή του προσπαθώντας να πιάσει ένα κάταγμα που τραυμάτισε το πόδι του Siddhartha.
Το ανάγλυφο, το οποίο συνεχιζόταν προς τα δεξιά, ορίζεται από πάνω από ένα χυτό διακοσμητικό (από μήτρα - καλούπι) με επικαλυπτόμενα λογχοειδή φύλλα, κάτω από ένα απλό επίμηκες ορθογώνιο φιλέτο και στην αριστερή πλευρά από ένα πλαίσιο που περικλείει μια Γανδαρινή - Κορινθιακή στήλη. Υπάρχει μία οπή για στερέωση στο πίσω μέρος και ίχνη αυλακώσεων σμίλης και τετράγωνη λαβή για εισαγωγή τένοντα - συνδέσμου στο επάνω μέρος.
Κεντρική εικόνα του αναγλύφου είναι ο όρθιος Βούδας με ένα μικρό uṣṇīṣa (ΣτΜ: ήτοι κότσο στην κεφαλή όπως ο Αττικός κρωβύλος) και με το ένδυμα που καλύπτει και τους δύο ώμους, αγγίζει μια υψηλό στενόμακρο ή κιονοειδή λίθο [1] με το δεξί του χέρι ενώ στερεώνει το ιμάτιο σε θηλιά με το αριστερό του χέρι. Στα αριστερά του Βούδα είναι ένας όρθιος γενειοφόρος Vajrapani (ΣτΜ: ΗΡΑΚΛΗΣ) που φορά ένα κοντό ένδυμα, κρατώντας το {ΣτΜ: τελετουργικό όπλο όπως ο διπλούς κεραυνός του Διός} vajra του με τα δύο του χέρια. Στην άλλη πλευρά της πέτρας, από τα δεξιά προς τα αριστερά, ακολουθούν πέντε νεανικές μορφές, τέσσερις από τις οποίες φέρουν έναν δεύτερο λίθο, που απεικονίζεται εδώ επικλινής - λοξά. Ο πρώτος στέκεται με το κεφάλι στραμμένο προς τον Βούδα, ενώ ο δεύτερος, μισογονατισμένος, γυρίζει προς τον κίονα. Και οι δύο φορούν ένα laṅghoṭī (υφασμάτινο μανδύα), ένα από τα τυπικά ενδύματα των παλαιστών και των αθλητών της Gandhara. [2] Από τις άλλες τρεις πορφές στην άλλη πλευρά του επικλινούς πυλώνα, οι δύο πρώτες φαίνονται ως το μήκος του θάμνου ενώ, από την τρίτη, πάνω, αριστερά, βλέπουμε μόνο το κεφάλι.
Ο μύθος που απεικονίζεται στο ανάγλυφο είναι των δύο πρώτων επιθέσεων που έγιναν στον Siddhārtha από τον κακό ξάδερφό του και αντίπαλό του Ντεβαντάτα . Έχοντας προσχωρήσει στο βουδιστικό τάγμα και προσπάθησε ανεπιτυχώς να αναλάβει επικεφαλής της κοινότητας, ο Devadatta προσπάθησε να καταστείλει τον Βούδα με μια σειρά επιθέσεων, αλλά χωρίς αποτέλεσμα. Σύμφωνα με τον Mūlasarvāstivādin Vinaya , η πρώτη απόπειρα του Devadatta συνίστατο στο να κατασκευάσει μια συσκευή από έναν μηχανικό και την οποία δούλεψαν πεντακόσιοι άνδρες για να σκοτώσουν τον Βούδα, διασφαλίζοντας παράλληλα ότι άλλοι θα ήταν έτοιμοι να τον σκοτώσουν εάν δεν λειτουργούσε. Ωστόσο, οι μηχανικοί μετανόησαν και, προτού βάλουν το τεχνητό, κατέβηκαν στον Βούδα με μαγικά βήματα και μεταστράφηκαν. Προσπαθώντας ξανά – και αυτή ήταν η δεύτερη προσπάθεια – ο Devadatta εκσφενδόνισε πάνω του μια μεγάλη πέτρα. Ο Vajrapāni το έσπασε και ένας yakṣa (ένα πνεύμα αρσενικής φύσης, συνδεδεμένο με βλάστηση και πλούτο, θηλ. yakṣī ) έχασε τη ζωή του προσπαθώντας να σταματήσει ένα θραύσμα που τραυματίζει το πόδι του Siddhārtha. [3]
Υπάρχουν πάρα πολλές σκηνές Gandharan αυτών των επεισοδίων [4] , για τον κατάλογο των οποίων βλέπε Taddei (1963: 40, με αναφορές) και Zwalf. [5] Τέλος, αξίζει να σημειωθεί η ομοιότητα στην παραμορφωμένη στάση του σώματος της μορφής στα δεξιά της κάθετης κολόνας με την μορφή στο άκρο αριστερά – και πάλι σε σκηνή με την επίθεση του Devadatta – σε ανάγλυφο στο Βρετανικό Μουσείο. [6]
Anna-Maria Quagliotti, 2009
ΕΙΚΟΝΟΓΡΑΦΙΚΕΣ ΘΕΩΡΗΣΕΙΣ ΕΝΟΣ ΓΑΝΔΑΡΙΝΟΥ ΑΝΑΓΛΥΦΟΥ ΑΠΟ ΤΟ ΜΟΥΣΕΙΟ National Museum of Oriental Art in Rome (Taddei, M. 1963)


ΣΕΛ. 46-47: Εάν μπορούσαμε να αναγνωρίσουμε μια επιρροή στην γυναικεία μορφή (θα δούμε αργότερα σε ποιο βαθμό αυτό ισχύει), δεν μπορεί επίσης να αποκλείσει ότι άλλες μορφές στην σύνθεση Β μπορεί να προέρχονται από πρωτότυπα που δεν συνδέονται άμεσα με το θέμα που αναπαρίσταται. Αυτή είναι η περίπτωση της κεντρικής ανδρικής μορφής που θα έλεγα ότι αναπαράγει ένα πολύ αρχαίο σχέδιο: μπορεί στην πραγματικότητα να συγκριθεί με την μορφή ενός Έλληνα πολεμιστή που ανθίσταται στην επίθεση μιας Αμαζόνας, στην ανατολική ζωφόρο, έργο του γλύπτη Σκόπα στο Μαυσωλείο της Αλικαρνασσού στην Καρία (Μικρά Ασία)[40]. Άν στη συνέχεια παρατηρήσουμε πώς μπαίνουν οι μορφές στο ανάγλυφο Sangiorgi, η μία μέσα στην άλλη, και πώς το πυραμιδικό σχέδιο της νύμφης και της κήλης μέσα στην οποία είναι τοποθετημένο το συνεσταλμένο σώμα του Σατύρου είναι περισσότερο από εμφανές, δεν μπορούμε να μην αναγνωρίσουμε ως προηγούμενο για αυτήν την σύνθεση στην δυτική ζωφόρο του Λεοχάρη ή, με λιγότερη ακρίβεια, στη νότια του Τιμοθέου, επίσης στο Μαυσωλείο της Αλικαρνασσού [41]. Πρέπει επομένως να τροποποιήσουμε - τουλάχιστον εν μέρει - την κρίση του Curtius για το αρχέτυπο της σαρκοφάγου Sangiorgi [42: Dionysischer Sarkophag ;Fragmente attischer Sarkophage in Wien, 1946], με την έννοια ότι η βασική προέλευση ορισμένων σχεδίων πρέπει να τοποθετηθεί σωστά στον 4ο αιώνα π.Χ. Θα μπορούσαμε από την άλλη να δεχτούμε την απόδοση του στον 3ο αιώνα π.Χ. του έργου από το οποίο απορρέει ουσιαστικά το ανάγλυφο. Ταυτόχρονα δεν μπορεί κανείς να κρύψει την ύπαρξη κάποιας συγγένειας με τα ελληνιστικά ανάγλυφα του 2ου αιώνα π.Χ., ως επί το πλείστον στη Μικρά Ασία (ο Κούρτιος ωστόσο αποδίδει το πρωτότυπο σε Αττικό περιβάλλον), τα οποία με τις δειλές τους προτάσεις τοπίου προαναγγέλλουν τη γεύση του 1ου αιώνα π.Χ γούνινα εικονογραφικά ανάγλυφα [43]. Στοιχεία που προέρχονται σαφώς από τη ζωφόρο του Μαυσωλείου μετανάστευσαν ήδη από τις πρώτες δεκαετίες του 3ου αιώνα π.Χ. από το Ελληνιστικό περιβάλλον: το γεγονός τεκμηριώνεται, για παράδειγμα, από μια ετρουσκική τεφροδόχο με μια αμαζονομαχία από το Vulci, στο Μουσείο του Βατικανού [44], και αργότερα από μερικά αγγεία καληνίου [45]. Τέτοια στοιχεία εισήχθησαν ξανά στην Ιταλία τον 2ο αιώνα μ.Χ., όταν κατά τη βασιλεία του Αδριανού η μίμηση αρχαίων ελληνικών αριστουργημάτων ενθαρρύνθηκε από τον ίδιο τον Αυτοκράτορα [45bis]. Υπάρχει μια άλλη σειρά έργων που θα μπορούσαν επίσης να επηρέασαν τη διαμόρφωση της σκηνής της ανέγερσης του έρμα [46]: δηλαδή εκείνα τα έργα στα οποία κάποιοι Γαλάτες είναι απασχολημένοι με τη λεηλασία ενός ιερού, που πιθανώς είναι αυτό των Δελφών, ίσως κατεστραμμένο. από τους βαρβάρους το 279 π.Χ [47]; η ομάδα των Γαλατών που ρίχνουν την ιερή εικόνα είναι ιδιαίτερα σημαντική [48]. Επίσης, φιγούρες που με τον ένα ή τον άλλο τρόπο θυμίζουν εκείνη του Σατύρου στο κέντρο της σαρκοφάγου Sangiorgi βρίσκονται συχνά σε δοχεία από το Chiusi [49: Bieńkowski, Piotr, Die Darstellungen der Gallier in der hellenistischen Kunst,



ΒΙΒΛΙΟΓΡΑΦΙΑ
https://next.unior.it/sebina/reposito..., M. 1963. “Iconographic Considerations on a Gandhāra Relief in the National Museum of Oriental Art in Rome,” East and West 14 (1/2), pp. 38-55.
TABLE OF CONTENTS A. erection of a war trophy 42
1. gemma augustea, vienna, kunsthistorisches mudeum (fig.4). attributed by furtwangler to dioskurides 42
B. erection of a dioysiam herma.
C. cupids who play with the club of hercules 44
https://digi.ub.uni-heidelberg.de/dig...
Bieńkowski, P. 1908. Die Darstellungen der Gallier in der hellenistischen Kunst, Wien.
http://sbbwu.edu.pk/journal/WU_Journa...
Ghani-ur-Rahman. 2017. "The Episode of Unsuccessful Attempt of Measuring the Gautama Buddha in Gandhara Sculpture: Socio-religious Background and Iconographic Symbolism," FWU Journal of Social Sciences, Summer 2017, Vol.11, No.1, pp. 143-147.
October 18, 2024
Î ÎιÏÎ½Ï ÏÎ¿Ï ÏÏ ÎµÎ¹ÏηγηÏÎ®Ï ÏÎ¿Ï ÎοÏ...
Î ÎιÏÎ½Ï ÏÎ¿Ï ÏÏ ÎµÎ¹ÏηγηÏÎ®Ï ÏÎ¿Ï ÎÎ¿Ï Î´Î¹ÏÏÎ¹ÎºÎ¿Ï ÏαÏαδείÏÎ¿Ï Î³Î¹Î± ÏÎ¿Ï Ï Î·Î´Î¿Î½Î¹ÏÏÎÏ ÎÎ»Î»Î·Î½ÎµÏ Îº.α. ..
ÎÏ Î´Î¿Ïμε ÏÏÏ ÏεÏιγÏάÏει ο ΦιλÏÏÏÏαÏÎ¿Ï ÎÎ¸Î·Î½Î±Î¯Î¿Ï ÎµÎº ÎÎ®Î¼Î½Î¿Ï Ïην εÏίÏκεÏη ÏÎ¿Ï ÎÏολλÏÎ½Î¯Î¿Ï Î¤Ï Î±Î½ÎÏÏ ÏÏην Îνδική Ïον α' αι. μ.Χ. και Ïην εÏαÏή ÏÎ¿Ï Î¼Îµ Ïην εκεί Î±ÎºÎ¿Î»Î¿Ï Î¸Î¿Ïμενη âÎÎ¹Î¿Î½Ï Ïιακήâ λαÏÏεία (Philostr. VA 2.8): διαβάνÏÎµÏ Î´á½² Ïὸν ÎÏÏá¿Î½Î± ÏοÏαμὸν αá½Ïοὶ μὲν á¼Ïá½¶ νεῶν, κάμηλοι δὲ ÏεζῠÏὸ á½Î´ÏÏ, á½ Î³á½°Ï ÏοÏÎ±Î¼á½¸Ï Î¿á½ÏÏ Î¼ÎγαÏ, á¼Î³ÎνονÏο á¼Î½ ÏῠβαÏÎ¹Î»ÎµÏ Î¿Î¼ÎνῠἠÏείÏῳ, á¼Î½ á¾ á¼Î½Î±Ïεá¿Î½Î¿Î½ ÏεÏÏÏÎµÏ Ïαι ÎῦÏα á½ÏÎ¿Ï á¼Ï κοÏÏ Ïὴν á¼ÎºÏαν, á½¥ÏÏÎµÏ á½ á¼Î½ ÎÏ Î´Î¯á¾³ ΤμῶλοÏ, á¼Î½Î±Î²Î±Î¯Î½ÎµÎ¹Î½ δ᾽ αá½Ïὸ á¼Î¾ÎµÏÏιν, ὡδοÏοίηÏαι Î³á½°Ï á½Ïὸ Ïοῦ γεÏÏγεá¿Ïθαι. á¼Î½ÎµÎ»Î¸ÏνÏÎµÏ Î¿á½Î½ ἱεÏá¿· ÎιονÏÏÎ¿Ï á¼Î½ÏÏ Ïεá¿Î½ ÏαÏιν, ὠδὴ ÎιÏÎ½Ï Ïον á¼Î±Ï Ïá¿· ÏÏ ÏεῦÏαι δάÏÎ½Î±Î¹Ï ÏεÏιεÏÏÎ·ÎºÏ Î¯Î±Î¹Ï ÎºÏκλῳ, ÏοÏοῦÏον ÏεÏιεÏοÏÏÎ±Î¹Ï Ïá¿Ï γá¿Ï, á½ Ïον á¼ÏÏÏÏη νεῷ Î¾Ï Î¼Î¼ÎÏÏῳ, κιÏÏÏν Ïε ÏεÏιβαλεá¿Î½ αá½Ïὸν καὶ á¼Î¼ÏÎÎ»Î¿Ï Ï Ïαá¿Ï δάÏναιÏ, á¼Î³Î±Î»Î¼Î¬ Ïε á¼Î±Ï Ïοῦ á¼Î½Î´Î¿Î½ ÏÏήÏαÏθαι γιγνÏÏκονÏα á½¡Ï Î¾Ï Î¼ÏÏÏει Ïá½° δÎνδÏα á½ ÏÏÏÎ½Î¿Ï ÎºÎ±á½¶ δÏÏει Ïινὰ á¼Ïá¾½ αá½Ïῶν á½ÏοÏον, á½Ï οá½ÏÏ Î¾Ï Î¼Î²ÎβληÏαι νῦν, á½¡Ï Î¼Î®Ïε á½ÎµÏθαι Ïὸ ἱεÏὸν μήÏá¾½ á¼Î½Îμῳ á¼ÏÏνεá¿Ïθαι. δÏÎÏανα δὲ καὶ á¼ÏÏιÏοι καὶ ληνοὶ καὶ Ïá½° á¼Î¼Ïá½¶ Î»Î·Î½Î¿á½ºÏ á¼Î½Î¬ÎºÎµÎ¹Ïαι Ïá¿· ÎιονÏÏῳ ÏÏÏ Ïá¾¶ καὶ á¼ÏÎ³Ï Ïá¾¶ καθάÏÎµÏ ÏÏÏ Î³á¿¶Î½Ïι. Ïὸ δὲ á¼Î³Î±Î»Î¼Î± εἴκαÏÏαι μὲν á¼Ïήβῳ Ἰνδῷ, Î»Î¯Î¸Î¿Ï Î´á½² á¼Î¾ÎµÏÏαι Î»ÎµÏ ÎºÎ¿á¿¦. á½ÏγιάζονÏÎ¿Ï Î´á½² αá½Ïοῦ καὶ ÏείονÏÎ¿Ï Ïὴν ÎῦÏαν á¼ÎºÎ¿ÏÎ¿Ï Ïιν αἱ ÏÏÎ»ÎµÎ¹Ï Î±á¼± á½Ïὸ Ïá¿· á½Ïει καὶ Î¾Ï Î½ÎµÎ¾Î±Î¯ÏονÏαι. ή Ïε νεο-Îλληνική αÏÏδοÏη:[1] .... ÎÏαν ÏÎÏαÏαν Ïον ÏοÏÎ±Î¼Ï ÎÏÏήνα, οι ίδιοι ÏÎ¬Î½Ï Ïε Ïλοία και οι ÎºÎ±Î¼Î®Î»ÎµÏ ÏεÏÏαÏÏνÏÎ±Ï â γιαÏί εκεί ο ÏοÏαμÏÏ Î´ÎµÎ½ είναι βαθÏÏ â ÎÏÏαÏαν ÏÏη βαÏÎ¹Î»ÎµÏ Î¿Î¼Îνη ÏÏÏα ÏÏÎ¿Ï Ï ÏÏνεÏαι Ïο ÏÏÎ¿Ï ÎÏÏα Ïε Î¼Ï ÏεÏή κοÏÏ Ïή, ÏÏÏÏ Î¿ ΤμÏÎ»Î¿Ï ÏÏην ÎÏ Î´Î¯Î±. Το Î²Î¿Ï Î½Ï Î±Ï ÏÏ ÎµÎ¯Î½Î±Î¹ βαÏÏ, γιαÏί ÎÏει οδοÏοιηθεί αÏÏ Ïην καλλιÎÏγεια. ÎÎνε λοιÏÏν ÏÏÏ, ÏÏαν ανÎβηκαν εκεί, βÏήκαν ιεÏÏ ÏÎ¿Ï ÎιονÏÏÎ¿Ï ÏÎ¿Ï Î¿ Î¯Î´Î¹Î¿Ï Î¿ ÎιÏÎ½Ï ÏÎ¿Ï ÎºÎ±ÏαÏκεÏαÏε για Ïον ÎµÎ±Ï ÏÏ ÏÎ¿Ï ÏÏ ÏεÏονÏÎ±Ï Î³ÏÏÏ Î³ÏÏÏ Î´Î¬ÏνεÏ. Îι δάÏÎ½ÎµÏ Ï ÏÏνονÏαι αÏÏ Ïο ÎδαÏÎ¿Ï ÏÏÏο ÏεÏίÏÎ¿Ï ÏÏο και ο ÏεÏÎ¯Î²Î¿Î»Î¿Ï ÎµÎ½ÏÏ Î¼ÎÏÏÎ¹Î¿Ï Î½Î±Î¿Ï ÎºÎ±Î¹ γÏÏÏ ÏÎ¿Ï Ï Ï ÏάÏÏÎ¿Ï Î½ αμÏÎλια και κιÏÏÏÏ. ÎÎÏα ÏÏον Î½Î±Ï Î¿ θεÏÏ ÎÏÏηÏε Ïο άγαλμα ÏÎ¿Ï , ÏÏοβλÎÏονÏÎ±Ï ÏÏÏ Î¼Îµ Ïον ÏÏÏνο Ïα δÎνδÏα θα μεγάλÏναν και θα ÏÏημάÏιζαν ÏÏ Ïική οÏοÏή, ÏÏÏÏ ÏÏάγμαÏι ÏÏ Î½Îβη ÏÏÏα, ÎÏÏι ÏÏÏε δεν μÏαίνει ÏÏο ιεÏÏ Î¿ÏÏε βÏοÏή οÏÏε αÎÏαÏ. Τα αÏιεÏÏμαÏα είναι δÏεÏάνια, ÏανÎÏια και ÏαÏηÏήÏια και Ïλα Ïα ÏÏεÏικά με Ïα ÏαÏηÏήÏια, ÏÏιαγμÎνα αÏÏ ÏÏÏ ÏÏ ÎºÎ±Î¹ αÏήμι, για Ïον ÎιÏÎ½Ï Ïο ÏÏ Î¸ÎµÏ ÏÎ¿Ï ÏÏÏÎ³Î¿Ï . Το άγαλμα μοιάζει με ÎÎ½Î´Ï ÎÏηβο και είναι ÏÏιαγμÎνο αÏÏ Î¬ÏÏÏη ÏÎÏÏα. ÎÏαν ο θεÏÏ Î¿Ïγιάζει, ÏείεÏαι η ÎÏÏα και οι κάÏοικοι ÏÏν ÏÏλÏν κάÏÏ Î±ÏÏ Ïο ÏÏÎ¿Ï Î±ÎºÎ¿Ïν και ÏÏ Î¼Î¼ÎµÏÎÏÎ¿Ï Î½. ... Το αÏÏÏÏαÏμα ÏαίνεÏαι να εÏιβεβαιÏνει, ÏÎ¿Ï Î»Î¬ÏιÏÏον, Ïην διάÏÏ Ïη ÏÎ·Ï ÎÎ¹Î¿Î½Ï ÏÎ¹Î±ÎºÎ®Ï ÎµÎ¹ÎºÎ¿Î½Î¿Î³ÏαÏÎ¯Î±Ï ÏÏην Îνδική, γεγονÏÏ Ïο οÏοίο άλλÏÏÏε ÏεκμηÏιÏνεÏαι αÏÏ ÏλείÏÏα ÏÏεÏικά αÏÏαιολογικά ÎµÏ ÏήμαÏα. Το εÏÏÏημα ÏμÏÏ ÏÎ¿Ï Î±Î½Î±ÏÏεÏαι είναι Ïε ÏοιÏν Î²Î±Î¸Î¼Ï Î±Ï Ïή η ÎÎ¹Î¿Î½Ï Ïιακή εικονογÏαÏία διαÏηÏοÏÏε Ïο ÏÏ Î¼Î²Î¿Î»Î¹ÎºÏ â θÏηÏÎºÎµÏ ÏÎ¹ÎºÏ ÏεÏιεÏÏÎ¼ÎµÎ½Ï ÏηÏ.
[image error] ÎÏνιακή ÏÏήλη με ÏκηνÎÏ ÏÏÏεÏÏ, ÏνεÏμαÏα & Î¼Î¿Ï ÏικοÏÏ, Mathura[2]
ÎεÏά ÏÎ¹Ï ÎµÎºÏÏÏαÏÎµÎ¯ÎµÏ ÏÎ¿Ï ÎÎµÎ³Î¬Î»Î¿Ï ÎλεξάνδÏÎ¿Ï , η λαÏÏεία Î±Ï ÏÎ®Ï ÏÎ·Ï Î¸ÎµÏÏηÏÎ±Ï ÎµÎ¾Î±ÏλÏθηκε Ïε αÏÏ Î½Î®Î¸Î¹ÏÏη ÎκÏαÏη Ïε Ïλον Ïον ÎλληνιÏÏÎ¹ÎºÏ ÎºÏÏμο: αÏÏ ÏÎ¹Ï ÎÏεÏανικÎÏ Î½Î®ÏÎ¿Ï Ï ÎºÎ±Î¹ Ïην ÎÎ¯Î³Ï ÏÏο μÎÏÏι Ïην Î¥ÏεÏÎºÎ±Ï ÎºÎ±Ïία, Ïο ÎÏγανιÏÏάν και Ïην Îνδία, ÏÏÏÏ Î±ÏοδεικνÏεÏαι αÏÏ Ïην ÏληθÏÏα ανÏικειμÎνÏν με εικÏÎ½ÎµÏ ÏÎ¿Ï Î¸ÎµÎ¿Ï ÎºÎ±Î¹ ÏÎ·Ï Î»Î±ÏÏÎµÎ¯Î±Ï ÏÎ¿Ï Î±ÏÏ Ïλην Ïην ÏÏοαναÏεÏθείÏα ÎµÏ Ïεία ÏεÏιοÏή.[3] ΣÏμÏÏνα με Ïα λÏγια ÏÏν αÏÏαίÏν ÏÏ Î³Î³ÏαÏÎÏν «ΠÎλεÏθεÏÎ¿Ï Î Î±ÏÎ®Ï - Liber Pater Îκανε θÏÎ¹Î±Î¼Î²ÎµÏ Ïική ÏοÏεία ÏÏην ÎÏία». Σε Î±Ï ÏÏ Î±Î½Î±Î¼Ïίβολα ÏÏ Î½Îβαλε ÏÏο γεγονÏÏ ÏÏι η ÏÏÏη ÏÎ¿Ï ÎιονÏÏÎ¿Ï Î®Ïαν ÏÏενά ÏÏ Î½Î´ÎµÎ´ÎµÎ¼Îνη με Ïην ÏθοÏά και Ïην αναγÎννηÏη ÏÎ·Ï ÏÏÏεÏÏ ÏÎ¿Ï ÎµÏιμÏνÏο Ïε Î¬Î»Î»ÎµÏ Î¸ÏηÏκείεÏ. ÎÏ ÏÏ Î±ÎºÏιβÏÏ ÎºÎ±Î¸ÏÏιÏε Ïην διάδοÏη ÏÎ·Ï Î»Î±ÏÏÎµÎ¯Î±Ï ÏÎ¿Ï ÎιονÏÏÎ¿Ï , Ïην ÏÏ Î³ÏÏÎ½ÎµÏ Ïή ÏÎ·Ï Î¼Îµ ÏοÏικÎÏ Î¸ÎµÏÏηÏÎµÏ ÏÏην ελληνιÏÏική εÏοÏή, για Ïην οÏοία είναι ÏÏÏο ÏαÏακÏηÏιÏÏικÏÏ Î¿ θÏηÏÎºÎµÏ ÏικÏÏ ÏÏ Î³ÎºÏηÏιÏμÏÏ. Îι ίδιοι οι αÏÏαίοι ÏÏ Î³Î³ÏαÏÎµÎ¯Ï ÏÏνιÏαν εÏανειλημμÎνα Ïην ÏÏ Î³ÏÏÎ½ÎµÏ Ïη ÏÎ¿Ï ÎιÏÎ½Ï ÏÎ¿Ï Î¼Îµ ÏÎ¹Ï ÏοÏικÎÏ Î¸ÎµÏÏηÏεÏ. Î Losev ÏαÏÎ¿Ï ÏιάζονÏÎ±Ï Î¼Î¯Î± ÏÏνοÏη ÏÏν αÏοδείξεÏν θÏηÏÎºÎµÏ ÏÎ¹ÎºÎ¿Ï ÏÏ Î³ÎºÏηÏιÏμοÏ, αναÏÎÏεÏαι ÏÏον Îμνο ÏÎ¿Ï ÏÎ¿Ï Martianus Capella για Ïον Îλιο[4]:"οι κάÏοικοι ÏÎ¿Ï ÎÎµÎ¯Î»Î¿Ï Ïον λαÏÏεÏÎ¿Ï Î½ ÏÏ Î£ÎÏαÏιν, ÏÏην ÎÎμÏιδα ÏÏ ÎÏιÏιν, ÏÏÎ¹Ï Î¹ÎµÏÎÏ ÏελεÏÎ¿Ï ÏÎ³Î¯ÎµÏ ÏÏν ΠεÏÏÏν αÏοκαλείÏαι ÎίθÏαÏ, ÏÏην ΦÏÏ Î³Î¯Î± ÎÏÏÎ¹Ï .. ÏÏην Φοινικική ÎÏλο ÏÏ ÎδÏνιÏ" κλÏ.αÏÏ Ïο οÏοίο ÏÏοκÏÏÏει ÏÏι ο κÏÏÎ¹Î¿Ï Î¸ÎµÏÏ ÏÏν ιÏανÏÏÏνÏν λαÏν - ο ÎίθÏÎ±Ï - ανÏιÏÏοιÏοÏÏε ÏÏον ÎιÏÎ½Ï Ïο. ΠαÏÏÎ±Î¯Î¿Ï Î¹Î½Î´Î¿ÏÏανικÏÏ Î¸ÎµÏÏ ÏÎ¿Ï ÏÏ Î¼Î²Î¿Î»Î±Î¯Î¿Ï , ο θεÏÏ ÏÎ¿Ï Î®Î»Î¹Î¿Ï ÎίθÏα, ÏÏα ÏÎλη ÏÎ¿Ï mitraiem, αÏÎκÏηÏε ÏÎÏÏεÏÎ¹Ï ÎεÏÏίεÏ, με ÏÎ¿Ï Ï Î¿ÏÎ¿Î¯Î¿Ï Ï Î®Ïαν ÏÏ Î½Î´ÎµÎ¼Îνη η ιδÎα ÏÎ·Ï ÎµÎ¾Î¹Î»ÎµÏÏÎ¹ÎºÎ®Ï Î¸Ï ÏÎ¯Î±Ï ÎµÎ¯Î½Î±Î¹ μια θεÏαÏεία ÏαÏÏμοια με Ïην εÏμηνεία ÏÎ¿Ï ÎιονÏÏÎ¿Ï Î¼ÎµÏÎ±Î¾Ï ÏÏν ÎÏÏικÏν και ÎεοÏλαÏÏνικÏν. ΠλαÏÏεία ÏÎ¿Ï ÎιονÏÏÎ¿Ï Î®Ïαν εÏίÏÎ·Ï ÏÏενά ÏÏ Î½Î´ÎµÎ´ÎµÎ¼Îνη με Ïη λαÏÏεία ÏÎ¿Ï ÎÏÏλλÏνα, η οÏοία ήδη αÏÏ Ïην εÏοÏή ÏÏν ÎÏαιμενιδÏν ÏÏ ÏÏεÏιζÏÏαν με Î±Ï Ïήν ÏÎ¿Ï ÎίθÏα!ΣÏÎ¹Ï Î±ÏÏÎ±Î¯ÎµÏ ÏηγÎÏ Ï ÏάÏÏÎ¿Ï Î½ άμεÏÎµÏ ÎµÎ½Î´ÎµÎ¯Î¾ÎµÎ¹Ï Î³Î¹Î± Ïην εξάÏλÏÏη ÏÎ·Ï Î»Î±ÏÏÎµÎ¯Î±Ï ÏÎ¿Ï ÎιονÏÏÎ¿Ï ÏÏÎ¹Ï Î±ÏÏÏεÏÎµÏ Î±Î½Î±ÏολικÎÏ ÏαÏÏ ÏÎÏ ÏÎ·Ï Î¿Î¹ÎºÎ¿Ï Î¼ÎνηÏ: Î ÎÏ ÏιÏÎ¯Î´Î·Ï ÏÏÎ¹Ï ÎάκÏεÏ, Eur. Ba. 1.15, ÏεÏιγÏάÏονÏÎ±Ï Ïην διαδÏομή ÏÎ¿Ï ÎιονÏÏÎ¿Ï Î±ÏÏ Ïην αναÏολή..., αναÏÎÏει Ïα ÏείÏη ÏÎ·Ï ÎακÏÏίαÏ. Î ÎÏÏιανÏÏ (Arr. An. c, 1, 2) και ο Quintus Curtius Rufus (ÎÏινÏÎ¿Ï ÎοÏÏÏÎ¹Î¿Ï Î¡Î¿ÏÏοÏ, 1Î¿Ï Î±Î¹., The Story of Alexander, VII, X, 7, 13) ÏÏ Î¼ÏÏνοÏν ÏÏι ÏÏα ÏÏνοÏα ÏÎ·Ï ÎακÏÏÎ¯Î±Ï ÎºÎ±Î¹ ÏÎ·Ï ÎνδίαÏ, ÏÏην ÏÏλη Nisa, ÏÏο ÏÏÎ¿Ï Meru, ο ÎλÎξανδÏÎ¿Ï ÎµÎ¯Î´Îµ Îνα άγαλμα ÏÎ¿Ï ÎιονÏÏÎ¿Ï Ï ÏÏ Ïην μοÏÏή ενÏÏ ÎÎ½Î´Î¿Ï Î½ÎµÎ±ÏÎ¿Ï (ÏÏοÏανÏÏ ÏÎ¿Ï Tires). ÎÏ ÏÏ Î´Î¯Î½ÎµÎ¹ αÏοÏμή, ÏÏ Î½ÎµÏίζει η Kuzmina, να ÏκεÏÏοÏμε ÏÏι Ïα ÏÏοιÏεία ÏÎ¿Ï ÎÎ¹Î¿Î½Ï ÏιαÏÎ¼Î¿Ï ÎµÎ¹ÏÏÏÏηÏαν ÏÏη ÎακÏÏιανή ήδη αÏÏ Ïην ÏÏοελληνική ή μάλλον ÏÏοαλεξανδÏινή εÏοÏή.ÎάλιÏÏα, ÏÏÏÏ Î±Î½Î±ÏÎÏεÏαι Î±Î»Î»Î¿Ï ÎµÎºÏενÎÏÏεÏα, η Kuzmina αναγνÏÏιÏε ÏÏ ÏÏεÏίÏÎµÎ¹Ï ÏÎ¿Ï Î³Î½ÏÏÏÎ¿Ï Î´Î¹Î±Î´Î®Î¼Î±ÏÎ¿Ï ÏÎ¿Ï Kargaly με Ïην ÎÎ¹Î¿Î½Ï Ïιακή λαÏÏεία! [5] Πίδια ακαδημαÏκÏÏ Î¼Î¬Î»Î¹ÏÏα Ï ÏεÏÏήÏιξε ο ÎιÏÎ½Ï ÏÎ¿Ï Î´Î¹Î±Î´ÏαμάÏιÏε κενÏÏÎ¹ÎºÏ ÏÏλο ÏÏÎ¹Ï Î¸ÏηÏÎºÎµÎ¯ÎµÏ ÏÏν ÏεÏιοÏÏν ÏÎ·Ï ÎαÏÏÎ·Ï Î¸Î¬Î»Î±ÏÏαÏ, ÏÏÏο ÏÏν ÎλληνίδÏν ÏÏλεÏÏ ÏÏο και ÏÏν Î£ÎºÏ Î¸Ïν. [6]

Îι Braund και Hall δημοÏÎ¯ÎµÏ Ïαν μια ÏÏ Î¶Î®ÏηÏη για Îνα αÏÏ Ïα Ïιο ÏημανÏικά αÏοδεικÏικά ÏÏοιÏεία αναÏοÏικά με Ïην ÎµÎ½Î¸Î¿Ï ÏιÏδη ÏÏάÏη ÏÏν αÏÏαίÏν κοινοÏήÏÏν ÏÎ·Ï ÎαÏÏÎ·Ï ÎάλαÏÏÎ±Ï ÎνανÏι ÏÎ¿Ï Î¸ÎµÎ¬ÏÏÎ¿Ï : Îνα θÏαÏÏμα αθηναÏÎºÎ¿Ï ÎºÏαÏήÏα ÏιθανÏÏαÏα καÏαÏÎºÎµÏ Î±ÏμÎÎ½Î¿Ï Î¼ÎµÏÎ±Î¾Ï 430 και 420 Ï.Χ., μια εικÏνα ÏÎ¿Ï Î¿ÏÎ¿Î¯Î¿Ï Î±Î½Î±ÏαÏάγεÏαι ÏÏο εξÏÏÏ Î»Î»Î¿ ÏÎ¿Ï ÏÏεÏÎ¹ÎºÎ¿Ï ÏÏÎ¼Î¿Ï .[8] ΤÎÏÏεÏÎµÎ¹Ï Î¼Î¿ÏÏÎÏ ÏαÏÎ¿Ï ÏιάζονÏαι με ενÏÏ ÏÏÏιακά διακοÏμημÎνα ενδÏμαÏα και Ïε Ïλάγια ÏÏη: ÎÎ½Î±Ï Î±Ï Î»Î·ÏήÏ, ÎÎ½Î±Ï Î¬Î»Î»Î¿Ï Î¼Î¿Ï ÏικÏÏ ÎºÎ±Î¹ δÏο κινοÏμενοι άνδÏÎµÏ ÏοÏÎµÏ ÏÎÏ Î¼Îµ Î³Ï Î½Î±Î¹ÎºÎµÎ¯ÎµÏ Î¼Î¬ÏÎºÎµÏ ÎºÎ±Î¹ λαμÏεÏά Î»ÎµÏ ÎºÎ¬ ÏÏÏÏÏÏα, με ÏεÏνηÏά μαλλιά κολλημÎνα και εÏιγÏαÏÎÏ ÏÎ¿Ï Î»Îνε ÏÏι είναι ÏμοÏÏÎµÏ (ÎÎÎÎΣ), εμÏανιζÏμενοι ÏÏ Î³Ï Î½Î±Î¯ÎºÎµÏ ÏαÏÏÏι Ïο Î²Î¹Î¿Î»Î¿Î³Î¹ÎºÏ ÏÎ¿Ï Ï ÏÏλο δεν είναι Î±Ï ÏÏ.
[image error] Îγγείο αÏÏ Ïην Gandhara με Î±Î½Î¬Î³Î»Ï Ïη ÎÎ¹Î¿Î½Ï Ïιακή Ïκηνή[9]
ÎάÏÏÏ Î±Î½Î¬Î»Î¿Î³Î¿ εÏÏημα θÏÎ±Ï ÏμαÏÎ¹ÎºÎ¿Ï Î±ÏιÏÏÎ¿Ï ÏγημαÏÎ¹ÎºÎ¿Ï Î»Î¯Î¸Î¹Î½Î¿Ï Î±Î³Î³ÎµÎ¯Î¿Ï ÏÎ·Ï ÏÏÏÎ¹Î¼Î·Ï ÎÎ¿Ï Î´Î¹ÏÏÎ¹ÎºÎ®Ï ÏεÏιÏÎ´Î¿Ï ÏÏοÎÏÏεÏαι αÏÏ Ïην Gandhara. ÎÏ ÏÏ ÏεÏιλαμβάνει Î±Î½Î¬Î³Î»Ï Ïη ÏαÏάÏÏαÏη ÏÎ¿Ï ÎιονÏÏÎ¿Ï ÏÏ Î½Î¿Î´ÎµÎ¯Î± ÏÎ·Ï ÎÏÎ¹Î¬Î´Î½Î·Ï ÎºÎ±Î¹ ÎαινάδοÏ,[10] ÏιθÎμενη εμÏÏÏÏ Î±ÏÏ Ïο ÏαÏακÏηÏιÏÏÎ¹ÎºÏ Ï ÏαÏμάÏινο ÏÎÏαÏμα ÏÎ¿Ï ÎµÏÏηÏιμοÏοιείÏο ÏÏο ÎλληνιÏÏÎ¹ÎºÏ Î¸ÎαÏÏο ÏÏ Î±Ï Î»Î±Î¯Î±![11] Τα διακοÏμηÏικά ÏÏοιÏεία, η εικονογÏάÏηÏη αλλά και Ïο ÏÏÎ¿Ï Î¼Îµ Ïο οÏοίο ÎÏει καÏαÏÎºÎµÏ Î±ÏÏεί Ïο ÏÏοÏήλαÏο αγγείο ÏαÏαÏÎμÏÎ¿Ï Î½ άμεÏα ÏÏα κλαÏικά Ï ÏοδείγμαÏα.[12] ÎξιοÏημείÏÏη είναι η εÏμηνεία η οÏοία δίδεÏαι για Ïoν ÏÏ Î¼Î²Î¿Î»Î¹ÏÎ¼Ï ÏÎ¿Ï ÏÏοαναÏεÏθÎνÏÎ¿Ï ÏεÏάÏμαÏÎ¿Ï ÏÏ ÏÏοιÏÎµÎ¯Î¿Ï Ïο οÏοίο αÏοκαλÏÏÏει Î±Ï ÏÏ ÏÎ¿Ï Î®Ïαν κÏÏ Î¼Î¼Îνο,[13] δηλαδή Ïην Î±ÎºÎ¿Î»Î¿Ï Î¸Î¿ÏÏα Ïκηνή, ή Ï,Ïι άλλο μÏοÏεί να Ï Ïονοηθεί μεÏαÏοÏικά!ÎνδιαÏÎÏÏν είναι εν ÏÏοκειμÎÎ½Ï ÏÏολιαÏμÏÏ ÏÎ·Ï Carter ÏÏεÏικά με γÏνιακή Î±Î½Î¬Î³Î»Ï Ïη ÏÏήλη ÏÎ·Ï ÏÏÎ¿Î»Î®Ï Mathura ÏεÏÎ¹Î»Î±Î¼Î²Î¬Î½Î¿Ï Ïα Î±Î½Î¬Î³Î»Ï ÏÎµÏ ÏκηνÎÏ ÏÏÏεÏÏ, ÏνεÏμαÏα & Î¼Î¿Ï ÏικοÏÏ, αÏÏ Ïην ÎοÏÏανική ÏεÏίοδο, ÏÏονολογοÏμενη ÏεÏί Ïο 100 μ.Χ.: [14]
Î ÏαÏακÏήÏÎ±Ï ÏÎ¿Ï Î±Î½Î±Î³Î»ÏÏÎ¿Ï ÏαÏÎ¿Ï Ïιάζει Îνα αÏÏ Î½Î®Î¸Î¹ÏÏο μείγμα αÏÏ ÎλληνιÏÏικά ÏÏοιÏεία Ïε ÏÏ Î½Î´Ï Î±ÏÎ¼Ï Î¼Îµ ÏÎ¿Ï Ï ÏÏÎ¹Î¼Î¿Ï Ï, ÏÏÏÎ¿Î³Î³Ï Î»ÎµÎ¼ÎÎ½Î¿Ï Ï ÏÎ³ÎºÎ¿Ï Ï ÏÎ·Ï ÏÏÏÎ¹Î¼Î·Ï Î¹Î½Î´Î¹ÎºÎ®Ï Î³Î»Ï ÏÏÎ¹ÎºÎ®Ï ÏÎ·Ï Î£ÏÎ¿Î»Î®Ï Mathura..... ÎάÏÏ Î±ÏÏ ÏÎ¿Ï Ï Î¾ÎÎ½Î¿Ï Ï Î±Î»Î»Î¬ ÏολιÏιÏÏικά εκλεκÏικοÏÏ ÎÎ¿Ï ÏÎ¬Î½Î¿Ï Ï, ο ÎÎ¿Ï Î´Î¹ÏμÏÏ ÎµÎ½Î¸Î±ÏÏÏνθηκε να ÎµÏ Î´Î¿ÎºÎ¹Î¼Î®Ïει, αÏοκÏÏνÏÎ±Ï ÏολλοÏÏ Î½ÎÎ¿Ï Ï Î¿ÏαδοÏÏ Î±ÏÏ Î¼Î¹Î± μη-βÏαÏμανική, εθνικά εÏεÏογενή Ïάξη εμÏÏÏÏν. ÎÏ Ïή Ïη ÏÏιγμή, εÏίÏηÏ, Îλαβαν ÏÏÏαν ÏÎ¿Î»Ï Î¬ÏÎ¹Î¸Î¼ÎµÏ ÎµÎ¾ÎµÎ»Î¯Î¾ÎµÎ¹Ï ÏÎ¿Ï ÏÏηÏÎ¯Î¼ÎµÏ Ïαν για να Î´Î¹ÎµÏ ÏÏÎ½Î¿Ï Î½ Ïη βάÏη ÏÎ¿Ï ÎÎ¿Ï Î´Î¹ÏÎ¼Î¿Ï Î³Î¹Î± να Ïον μεÏαÏÏÎÏÎ¿Ï Î½ Ïε μια ÏÏαγμαÏικά δημοÏιλή διεθνή ÏίÏÏη. ÎÏίÏηÏ, η ÏαÏαÏÏαÏική θεμαÏολογία ÏÎ¿Ï Ï Î±Î½ÏικαÏοÏÏÏίζει ÏÎÏÎ¿Î¹Ï ÎµÎ¯Î´Î¿Ï Ï Î±Î»Î»Î±Î³ÎÏ.
Îια Ïο ίδιο ÏεÏνοÏÏγημα ο εÏιμεληÏÎ®Ï ÏÎ¿Ï The Cleveland Museum of Art ÏημειÏνει:[15]ÎÏ ÏÏÏ Î¿ ÏÏ Î»ÏÎ½Î±Ï Î±Î½Ïανακλά Ïην εÏιÏÏοή ÏÎ¿Ï ÎµÎ»Î»Î·Î½Î¿ÏÏμαÏÎºÎ¿Ï ÏολιÏιÏÎ¼Î¿Ï ÏÏην ινδική ÏÎÏνη και Ïην εÏιÏÏοή ÏÏν ÏÏÏ Î» ÎκανÏάÏα και ÏÏν βακÏανικÏν θεμάÏÏν ÏÏην ÏÎÏνη ÏÎ¿Ï Mathura. Î ÏÏήλη αÏεικονίζει Î³Ï Î½Î±Î¹ÎºÎµÎ¯ÎµÏ Î¼Î¿ÏÏÎÏ ÏÎ¿Ï , εμÏανÏÏ Î¼ÎµÎ¸Ï ÏμÎνεÏ, ÏÎ±Î¯Î¶Î¿Ï Î½ ÏÏγανα και ÏοÏεÏÎ¿Ï Î½. ÎÏο εÏιÏλÎον ÏκηνÎÏ ÎµÎ¯Î½Î±Î¹ ÏαÏαγμÎÎ½ÎµÏ ÏÏην βάÏη. Î ÏÏÏα, μια καμÏοÏÏη Î³Ï Î½Î±Î¯ÎºÎ± ÏίÏνει κÏαÏί για μια ÏαÏÏÏαÏκη ανδÏική μοÏÏή γονιμÏÏηÏÎ±Ï (yaksha). ΠδεÏÏεÏη Ïκηνή αÏεικονίζει ÏιθανÏÏ Ïην ιÏÏοÏία ÏÎ¿Ï yaksha με κεÏάλι αλÏÎ³Î¿Ï ÏÎ¿Ï ÎÏαγε Ïα θÏμαÏά ÏηÏ.ÎµÎ½Ï Ïην ÎλληνιÏÏική ÏÏ ÏÏÎÏιÏη ÏÎ¿Ï ÏεÏÎ½Î¿Ï ÏγήμαÏÎ¿Ï ÎÏει Ï ÏογÏαμμίÏει και ο Fabri.[16]ΦαίνεÏαι ÏμÏÏ ÏÏι ÎιÏÎ½Ï ÏοÏ, ή μάλλον Ïο ÎÎ¹Î¿Î½Ï ÏÎ¹Î±ÎºÏ ÏνεÏμα και Ïα ÏÏοιÏεία ÏÎ¿Ï (ÏÏ Î¼ÏÏÏια κ.α.)[17], εÏηÏÎαÏε εÏίÏÎ·Ï Ïον ÎÎ¿Ï Î´Î¹ÏÎ¼Ï ÎºÎ±Î¹, μÎÏÏ Î±Ï ÏοÏ, καÏÎÏÏη γνÏÏÏÏÏ ÏÏÎ¿Ï Ï ÏιÏÏοÏÏ Î±Ï ÏÎ®Ï ÏÎ·Ï Î¸ÏηÏÎºÎµÏ ÏÎ¹ÎºÎ®Ï ÏίÏÏεÏÏ Î±Î»Î»Î¬ και ÏÏο λοιÏÏ ÎºÎ¿Î¹Î½Ï! ÎÏ Î±Î½Î±ÏεÏθοÏμε Ïε ÏαÏάδειγμα ÏÏεÏÎ¹ÎºÎ®Ï ÎÎ¿Ï Î´Î¹ÏÏÎ¹ÎºÎ®Ï ÎµÎ¹ÎºÎ¿Î½Î¿Î³ÏαÏÎ¯Î±Ï ÎºÎ±Î¹ ÏÏÏ Î±Ï ÏÏ ÏÏεÏίζεÏαι και αÏηÏεί Ïην αÏοÏÏÏÏηÏη ÎÎ¹Î¿Î½Ï ÏιακÏν ÏÏ Î»Î»Î®ÏεÏν και Ïην Ï Î¹Î¿Î¸ÎÏηÏή ÏÎ¿Ï Ï ÏÏην διαδικαÏία εκλαÏκεÏÏεÏÏ, ÏÏÎ¿Î²Î¿Î»Î®Ï ÎºÎ±Î¹ διδαÏÎ®Ï ÏÎ¿Ï ÎÎ¿Ï Î´Î¹ÏμοÏ!Î Tadashi Tanabe Ï ÏογÏαμμίζει ÏÏι ÏÏο ÏÏμα ÏÏν Î³Î»Ï ÏÏÏν ÏÎ·Ï ÏÎÏÎ½Î·Ï Gandhara ÏÏ Î½Î±Î½ÏοÏμε Î±Î½Î¬Î³Î»Ï Ïα ÏλαίÏια - ÏÎ¯Î½Î±ÎºÎµÏ ÏÎ¿Ï Î±ÏÎµÎ¹ÎºÎ¿Î½Î¯Î¶Î¿Ï Î½ ÏÎ¹Ï Î»ÎµÎ³ÏÎ¼ÎµÎ½ÎµÏ ÎÎ¹Î¿Î½Ï ÏιακÎÏ Î® ÎακÏικÎÏ ÏκηνÎÏ.[18] Î ÎιÏÎ½Ï ÏÎ¿Ï ÎµÎ¯Î½Î±Î¹ ο διάÏÎ·Î¼Î¿Ï Î¸ÎµÏÏ ÏÎ·Ï Î±Î¼ÏÎÎ»Î¿Ï , ÏÎ¿Ï Î¿Î¯Î½Î¿Ï , ÏÎ¿Ï ÏÏÏÎ³Î¿Ï , ÏÎ·Ï Î¿Î¹Î½Î¿ÏοιήÏεÏÏ ÎºÎ±Î¹ ÏÎ·Ï ÏελεÏÎ¿Ï ÏÎ³Î¹ÎºÎ®Ï Î¼Î±Î½Î¯Î±Ï, γονιμÏÏηÏαÏ, θεάÏÏÎ¿Ï ÎºÎ±Î¹ θÏηÏÎºÎµÏ ÏÎ¹ÎºÎ®Ï ÎµÎºÏÏάÏεÏÏ ÏÏην αÏÏαία ελληνική θÏηÏκεία και μÏθο. Îι οÏαδοί ÏÎ¿Ï Î±ÏαÏÏÎ¯Î¶Î¿Ï Î½ Ïον ÎίαÏο ονομάζονÏαι δε: ΣάÏÏ ÏοÏ, ΣιληνÏÏ, ÎεÏÏ Î Î¬Î½, ÎαινάδεÏ. ΠκÏÏÎ¼Î¿Ï ÏÎ¿Ï ÎιονÏÏÎ¿Ï ÎºÎ±Î¹ ÏÎ¿Ï ÎιάÏÎ¿Ï ÏÏ Î¼Î²Î¿Î»Î¯Î¶Î¿Ï Î½ Ïον ÏαÏάδειÏο μÎÏα ÏÏον οÏοίο οι ÏιÏÏοί και οι οÏαδοί ÏÎ¿Ï Î¸Î± αναγεννηθοÏν και θα μÏοÏÎÏÎ¿Ï Î½ να Î³ÎµÏ Î¸Î¿Ïν διάÏοÏÎµÏ Î±ÏολαÏÏÎµÎ¹Ï ÏÎ·Ï Î´Î¹Î¿Î½Ï ÏÎ¹Î±ÎºÎ®Ï Î¼ÎµÏαθανάÏÎ¹Î±Ï Î¶ÏήÏ.ÎικÏÎ½ÎµÏ ÏÎ¿Ï Î±ÏοÏοÏν ÏÏον ÎιÏÎ½Ï Ïο δείÏÎ½Î¿Ï Î½ ÏÏ Î¼ÏÏÏια, ανδÏικά και Î³Ï Î½Î±Î¹ÎºÎµÎ¯Î± ζεÏγη ÏίλÏν ή εÏαÏÏÏν, εκÏÎλεÏη Î¼Î¿Ï ÏÎ¹ÎºÎ®Ï ÎºÎ±Î¹ οινοÏαÏαγÏγή. ΤÎÏÎ¿Î¹ÎµÏ ÎµÎ¹ÎºÏÎ½ÎµÏ Î±Î½Î±Î¼Ïίβολα ÎÏÎ¿Ï Î½ εÏηÏεαÏÏεί ÏÏÏον εικονογÏαÏικά ÏÏον και Ï Ïολογικά αÏÏ Ïην ελληνική ÏÎÏνη ÏÏ Î¼ÏεÏιλαμβανομÎÎ½Î·Ï ÏÎ·Ï ÎµÎ»Î»Î·Î½Î¹ÏÏÎ¹ÎºÎ®Ï ÎºÎ±Î¹ ÏÎ·Ï ÎµÎ»Î»Î·Î½Î¿ÏÏμαÏκήÏ. ΣÏο ÏÏεÏÎ¹ÎºÏ Î¬ÏθÏο ο Tadashi Tanabe αÏÏολείÏαι με μια ÏÎÏοια Î´Î¹Î¿Î½Ï Ïιακή εικÏνα ÏÎ·Ï Gandhara και εÏιÏειÏεί να ÏαÏάÏÏει Î´Î¹ÎµÏ ÎºÏινίÏÎµÎ¹Ï ÏÏεÏικά με Ïο ÏÏÏ Î¼Î¹Î± ÏÎÏοια εικÏνα μεÏαδÏθηκε αÏÏ Ïην ΡÏμαÏκή ÎÏ ÏοκÏαÏοÏία ÏÏην Gandhara. Î ÏÏÏον ÏαÏÎ¿Ï ÏιάζονÏαι ÏÏ ÏικÎÏ Î´Î¹Î¿Î½Ï ÏιακÎÏ ÎµÎ¹ÎºÏÎ½ÎµÏ ÏÎ¿Ï Î±ÏεικονίζονÏαι Ïε Î±Î½Î¬Î³Î»Ï ÏÎ¿Ï Ï ÏÎ¯Î½Î±ÎºÎµÏ ÏÎ·Ï Gandhara. ÎεÏÏεÏον, ÏαÏÎ¿Ï ÏιάζονÏαι ÏÏ ÏικÎÏ Î´Î¹Î¿Î½Ï ÏιακÎÏ ÎµÎ¹ÎºÏÎ½ÎµÏ ÏÎ¿Ï Î±ÏεικονίζονÏαι ÏÏην ελληνική και ÏÏμαÏκή ÏÎÏνη. ΤÏίÏον, διεÏÎµÏ Î½Î¬Ïαι η ÏÏαÏξη Î´Î¹Î¿Î½Ï ÏιακÏν εικÏνÏν ÏÏην ÎναÏολή ÏÏ Î¼ÏεÏιλαμβανομÎÎ½Î·Ï ÏÎ·Ï Gandhara.Σε ÏÏνÏομο άÏθÏο ÏÎ¿Ï Î¿ Katsumi Tanabe ÏαÏÎ¿Ï Ïιάζει Îνα Î¼Î¿Î½Î±Î´Î¹ÎºÏ ÎÎ¿Ï Î´Î¹ÏÏÎ¹ÎºÏ Î±Î½Î¬Î³Î»Ï Ïο αÏÏ Ïην Gandhara ÏÎ¿Ï ÏÏÏα ÏÏ Î»Î¬ÏÏεÏαι Ïε ιδιÏÏική ÏÏ Î»Î»Î¿Î³Î® ÏÎ·Ï ÎαÏÏνίαÏ.[19] Το ÎÏγο ÏÎÏÎ½Î·Ï Î±ÏοÏελείÏαι αÏÏ ÏÎÏÏεÏÎµÎ¹Ï ÏκηνÎÏ: (1) ο ÎοÏÎ´Î±Ï ÏÏεκÏμενοÏ, (2) ÎºÏ Ïία καλλÏÏιζομÎνη ÏÏ Î½Î¿Î´ÎµÎ¯Î± Ï ÏηÏÎÏη, (3) εÏÏÏÎ¹ÎºÏ Î¶ÎµÏγοÏ, (4) δÏο αγÏÏια. ÎεÏÎ±Î¾Ï Î±Ï ÏÏν ÏÏν ÏεÏÏάÏÏν ÏκηνÏν, η Ïιο ιδιαίÏεÏη είναι η εμÏάνιÏη ÏÎ·Ï ÎºÎ±Î»Î»ÏÏιζομÎÎ½Î·Ï ÎºÏ ÏÎ¯Î±Ï Î´Î¯Ïλα ÏÏο εÏÏÏÎ¹ÎºÏ Î¶ÎµÏÎ³Î¿Ï ÎºÎ±Î¹ Ïον ÎοÏδα.Îίναι γνÏÏÏÏ ÏÏι ÏÎ¿Ï Î»Î¬ÏιÏÏον δÏο Î±Î½Î¬Î³Î»Ï Ïα ÏÎ¿Ï Î±Î½Î±ÏκάÏηκαν αÏÏ Ïην Butkara ÏÏη Swat αÏÎµÎ¹ÎºÎ¿Î½Î¯Î¶Î¿Ï Î½ Ïην ανÏιÏαÏαβολή ÎοÏδα και ÏÎ¿Ï ÎµÏÏÏÎ¹ÎºÎ¿Ï Î¶ÎµÏÎ³Î¿Ï Ï. Σε ÎµÎ´Ï ÏÏολιαζÏμενο Ïο Î±Î½Î¬Î³Î»Ï Ïο ÏÎ¿Ï Î²ÏÎθηκε ÏÏÏÏÏαÏα η καλλÏÏιζομÎνη ÎºÏ Ïία ÏÏοÏÏίθεÏαι Ïε Î±Ï Ïήν Ïην ÏαÏάθεÏη. ÎαθÏÏ Î±Ï Ïή η ÏÏιÏλή Ïκηνή είναι Î¬Î½ÎµÏ ÏÏÎ¿Î·Î³Î¿Ï Î¼ÎÎ½Î¿Ï , είναι ÏÎ¿Î»Ï ÏημανÏική για Ïην αξιολÏγηÏη ÏÏν ÏκηνÏν καλλÏÏιÏÎ¼Î¿Ï ÏÏην ÏÎÏνη Gandhara και εÏίÏÎ·Ï Î³Î¹Î± ÏÎ¹Ï ÎºÎ±Î»Î»ÏÏιζÏÎ¼ÎµÎ½ÎµÏ Î³Ï Î½Î±Î¯ÎºÎµÏ ÎµÎ½ γÎνει. ΣÏμÏÏνα με Ïην ÏÏοηγοÏμενη μελÎÏη ÏÎ¿Ï , ÏÏ Î½ÎµÏίζει ο εÏÎµÏ Î½Î·ÏήÏ, Î±Ï ÏÏ Ïο ÎµÎ¯Î´Î¿Ï Î±Î½ÏιÏαÏαθÎÏεÏÏ / ανÏιÏαÏÎ±Î²Î¿Î»Î®Ï Ïημαίνει ÏÏι ο ÎοÏÎ´Î±Ï ÏÏ ÏÏ ÏοÏομÏÏÏ (ÎΡÎÎΣ) οδηγεί ÏÎ¹Ï ÏÏ ÏÎÏ ÏÏν ÎÎ¿Ï Î´Î¹ÏÏÏν μεÏά θάναÏον ÏÏον ΠαÏάδειÏο, η ÎµÏ ÏαÏίÏÏηÏη ÏÎ¿Ï Î¿ÏÎ¿Î¯Î¿Ï ÏαÏαβάλλεÏαι με Ïην ÏαÏκική ηδονή ÏÎ¿Ï ÎµÏÏÏÎ¹ÎºÎ¿Ï Î¶ÎµÏÎ³Î¿Ï Ï.ÎεβαίÏÏ ÏημειÏνεÏαι ÏÏι η καλλÏÏιζομÎνη Î³Ï Î½Î±Î¯ÎºÎ± είναι η ίδια με Î±Ï Ïήν ÏÎ¿Ï ÎµÏÏÏÎ¹ÎºÎ¿Ï Î¶ÎµÏÎ³Î¿Ï Ï.ΠκαλλÏÏιÏμÏÏ Î»Î¿Î¹ÏÏν ÏαίνεÏαι να ÏÏ ÏÏεÏίζεÏαι ÏÏενά με Ïην εÏÏÏική ÏÏÎÏη. Îε άλλα λÏγια, η Ïκηνή καλλÏÏιÏÎ¼Î¿Ï ÏÎ¿Ï Î±ÏεικονίζεÏαι Ïε ÎÎ¿Ï Î´Î¹ÏÏικά Î±Î½Î¬Î³Î»Ï Ïα ÏÎ·Ï Gandhara, καθÏÏ ÎºÎ±Î¹ η ÎºÏ Ïία κάÏÏ Î±ÏÏ Ïο δÎνδÏο (Salabhanjika), ÏαίνεÏαι να Ï ÏοδηλÏÎ½Î¿Ï Î½ Ïην ÏÎµÎ¾Î¿Ï Î±Î»Î¹ÎºÎ® ηδονή - ÎµÏ ÏαÏίÏÏηÏη μÎÏÏ ÏÎ·Ï Î¿ÏÎ¿Î¯Î±Ï Î¿Î¹ ÎÎ¿Ï Î´Î¹ÏÏÎÏ ÏÎ·Ï Gandhara καÏανοοÏÏαν Ïην ÎµÏ ÏαÏίÏÏηÏη ÏÎ¿Ï ÎÎ¿Ï Î´Î¹ÏÏÎ¹ÎºÎ¿Ï Î Î±ÏαδείÏÎ¿Ï (Nirvana και Paramita).ÎÏιÏÏÏÏθεÏα ÏÏÎÏει να αναÏεÏθεί και κάÏι ακÏμη. ΠκαθÏÎÏÏÎ·Ï Ïον οÏοίον καÏÎÏει η ενδιαÏεÏÏμενη ÎºÏ Ïία είναι ο αÏοκαλοÏÎ¼ÎµÎ½Î¿Ï Î¿ÏιζÏνÏÎ¹Î¿Ï ÎºÎ±Î¸ÏÎÏÏÎ·Ï ÏÎ¿Ï Î´Î·Î¼Î¹Î¿Ï Ïγήθηκε ÏÏην ÎÏαλία Ïον ÏÏÏÏο αιÏνα μ.Χ. και ÏÏην ÏÏ Î½ÎÏεια διαδÏθηκε ÎµÏ ÏÎÏÏ ÏÏην ÎÏÏη και Ïην ÎναÏολή. ÎεÏαÏÎÏθηκε ÏÏην Îνδική ήÏειÏο μÎÏÏ ÏÎ·Ï ÎÏÏ Î¸ÏÎ¬Ï ÎºÎ±Î¹ ÏÎ·Ï ÎÏÎ±Î²Î¹ÎºÎ®Ï ÎάλαÏÏÎ±Ï ÎºÎ±Ïά Ïην ÏεÏίοδο ÏÏν ÎοÏÏανÏν (Kushan). ÎÎÏÏι ÏÏÏα δεν Ï ÏάÏÏει κανÎνα ÏαÏάδειγμα Î±Ï ÏÎ¿Ï ÏÎ¿Ï ÏÏÏÎ¿Ï ÎºÎ±Î¸ÏÎÏÏη ÏÎ¿Ï Î½Î± βεβαιÏνεÏαι ÏÏο Î³Î»Ï ÏÏÏ ÏÎ·Ï Gandhara, αν και ÏÏην ÏÎÏνη ÏÎ·Ï Mathura ÎÏÎ¿Ï Î¼Îµ ÏÎ¿Ï Î»Î¬ÏιÏÏον δÏο ÏÏεÏικά ÏαÏαδείγμαÏα. ÎÏομÎνÏÏ, Î±Ï ÏÏ Ïο κομμάÏι είναι Ïο ÏÏÏÏο ÏαÏάδειγμα ÏÎÏÎ½Î·Ï Gandhara ÏÎ¿Ï ÎµÎ¯Î½Î±Î¹ γνÏÏÏÏ Ïε μαÏ, Ïο οÏοίο αÏεικονίζει Î±Ï ÏÏν Ïον Î¼Î¿Î½Î±Î´Î¹ÎºÏ ÏÏÏο καθÏÎÏÏη.ÎÏιÏλÎον, η Ïκηνή καλλÏÏιÏÎ¼Î¿Ï ÏÎ¿Ï Î±ÏεικονίζεÏαι Ïε Î±Ï ÏÏ Ïο ÏεÏνοÏÏγημα δείÏνει ÏÏι για Ïον ÏÏ Î³ÎºÎµÎºÏιμÎνο ÏκοÏÏ Î´ÎµÎ½ ÏÏηÏιμοÏοιείÏαι Ïο λεγÏμενο Ïινάκιο καλλÏÏιÏμοÏ. ÎνÏίθεÏα, ο Ï ÏηÏÎÏÎ·Ï ÎºÏαÏά μιά μεγάλη Ïιάλη για καλλÏÏιÏÎ¼Ï Î¿Î¼Î¿Î¹Î¬Î¶Î¿Ï Ïα Ïε Î±Ï Ïήν ÏÎ¿Ï Î±ÏεικονίζεÏαι Ïε ÏεÏνοÏÏγημα αÏÏ ÎÎ½Î´Î¹ÎºÏ ÎµÎ»ÎµÏανÏÏδονÏο και αναÏκάÏηκε ÏÏο Begram. ÎÏ Ïά Ïα δÏο κομμάÏια δείÏÎ½Î¿Ï Î½ ÏÏι η γηÏαιά ÎºÏ Ïία ÏÎ·Ï ÎÎ½Î´Î¯Î±Ï Î´ÎµÎ½ ÏÏηÏιμοÏοίηÏε για καλλÏÏιÏÎ¼Ï Ïον λεγÏμενο δίÏκο καλλÏÏιÏÎ¼Î¿Ï Î±Î»Î»Î¬ μιά μεγάλη Ïιάλη. ÎÏομÎνÏÏ, εÏιÏÏÎÏεÏαι να ÏÏ Î¼ÏεÏÎ¬Î½Î¿Ï Î¼Îµ ÏÏι Ïο λεγÏμενο διÏκάÏιο καλλÏÏιÏÎ¼Î¿Ï ÏÎ·Ï Gandhara δεν ÎÏει ÏÎÏοια λειÏÎ¿Ï Ïγία.


ΣÏο ίδιο Î¼Î®ÎºÎ¿Ï ÎºÏμαÏÎ¿Ï Î¿ Bopearachchi ÏÏολιάζονÏÎ±Ï ÏοξÏÏÏ Î±Î½Î¬Î³Î»Ï Ïο αÏÏ Ïο ÎÎ¿Ï Î´Î¹ÏÏÎ¹ÎºÏ Î¹ÎµÏÏ ÏÎ¿Ï Zar Dheri γÏάÏει:[20]ÎÏ ÏÎÏ Î¿Î¹ Î´Î¹Î¿Î½Ï ÏιακÎÏ ÏκηνÎÏ Î¸Î± μÏοÏοÏÏαν να θεÏÏηθοÏν ÏÏ ÏÏ Î¼Î²Î¿Î»Î¹ÎºÎ® αναÏαÏάÏÏαÏη ÏÎ·Ï ÎÎÏÎ·Ï Î ÎµÏιοÏÎ®Ï ÏÏν gandharva ή Yakshas. Î Ï ÏÏ ÏÏ Î¶Î®ÏηÏη Î±Î½Î¬Î³Î»Ï Ïη Ïλάκα και Ïολλά άλλα αÏÏιÏεκÏονικά μÎλη αÏεικονίζονÏα Î´Î¹Î¿Î½Ï ÏιακÎÏ ÏκηνÎÏ ÏÎ¿Ï Î²ÏÎθηκαν ξεÏÏÏιÏÏά αÏÏ Î±Ï ÏÏ Ïο Î±Î½Î¬Î³Î»Ï Ïο ÏÏξο (αÏίδα) είÏαν ÏÏ ÏκοÏÏ Î½Î± αναÏεÏθοÏν ÏÏην Î¿Ï Ïάνια ÏÏÏη ÏÎ·Ï ÎÎÏÎ·Ï Î ÎµÏιοÏήÏ.[21] Î¥ÏÏ Ïο ÏÏÏ ÏÏν Î³Î»Ï ÏÏÏν Gandhara Ïα οÏοία ανεÏκάÏηÏαν ÏÏÎ¿Î·Î³Î¿Ï Î¼ÎνÏÏ ÏÏο Zar Dheri, η Martha Carter εÏεÏήμανε ÏÏι ÏÏα ÎανδαÏινά yakshaο ÏÏ Î¹Î´Î¹ÏÏÏοÏα ÏνεÏμαÏα ÏÎ·Ï ÏÏÏεÏÏ ÏÏοÏεÏÎÏεÏο Î¿Î¯Î½Î¿Ï ÎµÎ¸ÎµÏÏοÏνÏο δε ÏÏ Î±Î¹ÏθηÏιακοί ημίθεοι καÏοικοÏνÏÎµÏ Îναν Î¸Î±Ï Î¼Î¬Ïιο ÏαÏάδειÏο. Î¥ÏοÏÏήÏιξε ÏεÏαιÏÎÏÏ ÏÏι Î±Ï Ïή η εικÏνα ήÏαν Ïιο ÏÏοÏιÏή και αναμÏίβολα ÏÏ Î½Î¹ÏÏοÏÏε μιά Ïιο ÎµÎ»ÎºÏ ÏÏική μεÏαθανάÏια εναλλακÏική λÏÏη γιά ÏÎ¿Ï Ï ÎµÎ¸Î½Î¹ÎºÏÏ Î±Î½Î±Î¼ÎµÎ¼Î¹Î³Î¼ÎÎ½Î¿Ï Ï ÎºÎ±Î¹ Ïιο ηδονιÏÏÎÏ ÎÎ¿Ï Î´Î¹ÏÏÎÏ (ÎÎ»Î»Î·Î½ÎµÏ ?). Îι Î¯Î´Î¹ÎµÏ Î´Î¹Î¿Î½Ï ÏιακÎÏ ÏκηνÎÏ Î¸Î± μÏοÏοÏÏαν εÏίÏÎ·Ï Î½Î± Î³Î¯Î½Î¿Ï Î½ καÏανοηÏÎÏ ÏÏ ÏαÏαÏÎμÏÎ¿Ï ÏÎµÏ ÏÏο ÏÏÏÏμαÏοÏοιημÎνο ÏÏαμα ÏÎ·Ï Î¹Î½Î´Î¹ÎºÎ®Ï ÎºÎ¿ÏÎ¼Î¿Î»Î¿Î³Î¯Î±Ï ÏÏÏÏ Î±Ï ÏÏ ÏεÏιγÏάÏεÏαι ÏÏην Îεδική βιβλιογÏαÏία.[22]
ÎÏÏ Ïην ÏÎ»ÎµÏ Ïά ÏÎ¿Ï Î¿ Tadashi Tanabe διαÏÏÏÏÏε Ïο εÏÏÏημα:[23]Î Î¿Î¹Î¿Ï Î®Ïαν ο λÏÎ³Î¿Ï Î³Î¹Î± Ïον οÏοίο μια ÏÎÏοια εÏÏÏική εικÏνα ειÏήÏθη ÏÏη Î²Î¿Ï Î´Î¹ÏÏική ÏÎÏνη Gandhara; Îια να ÏÏ Î¼ÏληÏÏÏει:Î K. Karen εξήγηÏε ÏÏι η νιÏβάνα αÏαιÏοÏνÏαν και εÏαινοÏνÏαν ÏÏ Î¼Î²Î±Ïικά αÏÏ ÏÎ¿Ï Ï ÏεÏιÏÏÏÏεÏÎ¿Ï Ï Î¼Î¿Î½Î±ÏοÏÏ. ΩÏÏÏÏο, οι ÏεÏιÏÏÏÏεÏοι λαÏκοί Î²Î¿Ï Î´Î¹ÏÏÎÏ Î¸Î¹Î±ÏÏÏÎµÏ Î´ÎµÎ½ μÏοÏοÏÏαν να καÏακÏήÏÎ¿Ï Î½ Ïην νιÏβάνα ÏÏÏÏ ÏÎÏÏ Ïε ο ÎοÏδαÏ. Î©Ï ÎµÎº ÏοÏÏÎ¿Ï , η ÏκÎÏη να αναγεννηθοÏν Ïε Îναν αÏÏ ÏÎ¿Ï Ï Îξι Î¿Ï ÏÎ¬Î½Î¹Î¿Ï Ï ÎºÏÏÎ¼Î¿Ï Ï ÏÎ¿Ï ÎαÏÎ¹Î»ÎµÎ¯Î¿Ï ÏÎ¿Ï Î ÏÎ¸Î¿Ï ÏÏοβλÎÏθηκε γι' Î±Ï ÏοÏÏ. ÎÏÏ Î¼Î¹Î± ÏÎÏοια ÏκοÏιά, η ÏκÎÏη να ξαναγεννηθοÏν ÏÏον ΠαÏάδειÏο ÏιθανÏÏ Î³Î¿Î®ÏÎµÏ Ïε ÏολλοÏÏ Î»Î±ÏκοÏÏ Î²Î¿Ï Î´Î¹ÏÏÎÏ Î¸Î¹Î±ÏÏÏÎµÏ ÏÎ¿Î»Ï ÏεÏιÏÏÏÏεÏο αÏÏ Ïην νιÏβάνα. ΩÏÏÏÏο, Ïλοι οι ÎÎ¿Ï Î´Î¹ÏÏÎÏ Î´ÎµÎ½ μÏοÏοÏÏαν να Î³Î¯Î½Î¿Ï Î½ μάÏÏÏ ÏÎµÏ Î±Ï ÏÎ¿Ï ÏÎ¿Ï Ï ÏάÏÏει ÏÏο βαÏίλειο ÏÎ¿Ï ÏÏÎ¸Î¿Ï , γιαÏί ÎºÎ±Î½ÎµÎ¯Ï Î´ÎµÎ½ είÏε Ïάει ÏοÏΠεκεί. ÎαÏά ÏÏ Î½ÎÏειαν, η εικÏνα ÏÎ¿Ï ÎαÏÎ¹Î»ÎµÎ¯Î¿Ï ÏÎ·Ï ÎÏÎ¹Î¸Ï Î¼Î¯Î±Ï ÏÏÎÏει να ÏÎ¿Ï Ï ÎµÎ¯Ïε δοθεί για να ÏÎ¿Ï Ï ÏείÏει για Ïην ÏÏαÏξη και εÏίÏÎ·Ï Î³Î¹Î± να οÏαμαÏιÏÏοÏν θαÏμαÏα ÏÎ¿Ï ÏαÏαδειÏÎÎ½Î¹Î¿Ï ÎºÏÏÎ¼Î¿Ï ÎºÎ±Î¹ ÏÎ¹Ï Î±ÏολαÏÏÎµÎ¹Ï ÏÎ¿Ï Î¼ÏοÏοÏν να αÏοκÏηθοÏν εκεί.ÎÏομÎνÏÏ, ο ÏαÏÏν ÏÏ Î³Î³ÏαÏÎÎ±Ï Ï ÏοθÎÏει ÏÏι ο λÏÎ³Î¿Ï Î³Î¹Î± Ïον οÏοίο η εÏαίÏα και ο Î¿Î¯ÎºÎ¿Ï Î±Î½Î¿ÏÎ®Ï Î±ÏεικονίζονÏαι μαζί ÏÏα δÏο Î±Î½Î¬Î³Î»Ï Ïα Ïλακίδια είναι για να Ï ÏÎµÎ½Î¸Ï Î¼Î¯Ïει ζÏνÏανά ÏÏÎ¿Ï Ï Î»Î±ÏκοÏÏ Î²Î¿Ï Î´Î¹ÏÏÎÏ Î¸Î¹Î±ÏÏÏÎµÏ ÎºÎ±Î¹ Ïε Îνα ÏÏ Î³ÎºÎµÎºÏιμÎνο ÎµÎ¯Î´Î¿Ï Î¼Î¿Î½Î±ÏÏν ÏÎ¹Ï Î±ÏολαÏÏÎµÎ¹Ï ÏÎ¿Ï Î¼ÏοÏεί να αÏοκÏηθοÏν ÏÏο βαÏίλειο. ÏÎ·Ï ÎÏÎ¹Î¸Ï Î¼Î¯Î±Ï, ÏÏ Î³ÎºÎµÎºÏιμÎνα, ÏÏον ÏαÏάδειÏο ÏÎ¿Ï ÎÏ ÏÎ±Î½Î¿Ï TrÄyastriá¹Åa.[24]

ΣÎÎÎÎΩΣÎÎΣ[1]. ΦιλÏÏÏÏαÏÎ¿Ï ÎÏανÏα 1, 307, εκδ. ÎάκÏοÏ. [2]. Corner Railing Pillar with Drinking Scenes, Yakshis, and Musicians, Mathura Kushan period circa 100 CE (angle and two sides), Cleveland Museum of Art, CMA 77.34 <Corner Railing Pillar with Drinking Scenes, Yakshis, and Musicians Mathura Kushan period circa 100 CE (angle and two sides).jpg>[3]. ÐÑзÑмина (Kuzmina) 1987, pp. 168, 169, 171.[4] Î ÎαÏÏιανÏÏ ÎαÏÎλλα ήÏαν ÎαÏÎ¯Î½Î¿Ï ÏÏ Î³Î³ÏαÏÎÎ±Ï ÏÎ¿Ï 5Î¿Ï Î±Î¹Ïνα μ.Χ.[5]. ÐÑзÑмина (Kuzmina) 1987, p. 171. Îλ. ÎµÎ´Ï ÏÏο § 9.2.1.[6]. ÐÑзÑмина (Kuzmina) 1987, p. 166.[7]. Το θÏαÏÏμα βÏÎθηκε Ïο 1962 ÏÏÎ¹Ï Î±Î½Î±ÏκαÏÎÏ Î¼Î¹Î±Ï ÎºÎ±ÏÎ¿Î¹ÎºÎ¯Î±Ï ÏÎ¿Ï Î´Î¹ÎµÎ¾Î®ÏθηÏαν Ï ÏÏ Ïη διεÏÎ¸Ï Î½Ïη ÏÎ¿Ï L. M. Slavin (ÎÏ. ÏÎµÎ´Î¯Î¿Ï : 0-62/1344) ÏÏον ΤομÎα Î ÏÎ·Ï ÏÏλεÏÏ. Î¦Ï Î»Î¬ÏÏεÏαι ÏÏο ÎÏÏÎ±Î¹Î¿Î»Î¿Î³Î¹ÎºÏ ÎÎ¿Ï Ïείο ÏÎ¿Ï ÎνÏÏιÏοÏÏÎ¿Ï ÎÏÏαιολογίαÏ, ÏÎ¿Ï Î±Î½Î®ÎºÎµÎ¹ ÏÏην Îθνική Îκαδημία ÎÏιÏÏημÏν ÏÎ¿Ï ÎιÎÎ²Î¿Ï (αÏ. Ï. AM 1097/5219). Î ÏληÏÎÏÏεÏη ÏÏ Î¶Î®ÏηÏη για Ïο κομμάÏι ÏÏιν αÏÏ ÏÎ¿Ï Ï Braund and Hall ήÏαν ÏÎ·Ï Skrzhinskaya (Skrzhinskaya 2010). Το αÏÏÏÏαÏμα ÏαÏÎ¿Ï ÏιάζεÏαι εÏίÏÎ·Ï ÏÏ ÏÏoμεÏÏÏίδα (Frontispiece).[8]. Braund, Hall and Wyles 2019, p. 4.[9]. Fragment of a Vessel with a Dionysian Scene, MET 2000.284.15.[10]. ÎονιδάÏÎ·Ï 2020, Ïημ. 7_241.[11]. ÎονιδάÏÎ·Ï 2020, Ïημ. 7_242.[12]. ÎονιδάÏÎ·Ï 2020, Ïημ. 7_243.[13]. ÎονιδάÏÎ·Ï 2020, Ïημ. 7_244.[14]. Carter 1982, p. 249.[15]. https://www.clevelandart.org/art/1977.... Fabri 1930, pp. 289, 292.[17]. Zysk 2021. ΣÏεÏικά αÏοÏÏάÏμαÏα ÏÏο ÏÏÏÏÏÏÏ Ïο ÏαÏαÏίθενÏαι εδÏ:.. symposion was adopted by the cultures with which Greeks came in contact, such as the Etruscans. It was a social institution by and for men, whose two patron deities, Dionysus and Aphrodite, symbolised the combining of wine with erotic pleasure, the main purpose of these menâs gatherings. wine, women, and song.. The literary evidence indicates that the three sympotic elements came to full blossom in urban Indian menâs social gatherings or goá¹£á¹hÄ«s dating to a few centuries before the Common Era. The paper combines this literary evidence with archaeological sources to show how a foreign social custom contributed to an indigenous institution of menâs society in ancient India by a process of adaptation. It would appear that as the institution moved into different parts of the Indian subcontinent, it increasingly came under Brahmanic influence, which led to an important ideological change that stressed literary and intellectual pursuits over alcohol and sex. Under royal patronage, the goá¹£á¹hÄ« finally became a means for the development of Sanskrit and Indian literature and drama.[18]. Tadashi Tanabe. 2020.[19]. Katsumi Tanabe 2005. Το ÏÏÏÏÏÏÏ Ïο κείμενο ÎÏει ÏÏ ÎµÎ¾Î®Ï:In this short article I will introduce a unique Gandharan Buddhist relief now kept in the private collection in Japan. it is composed of four scenes: (1) the Buddha standing, (2) a toileting lady and servant, (3) amorous couple, (4) two boys. Among these four scenes the most unique phase is the display of toileting lady beside the amorous or love-making couple and the Buddha. It is well known that at least two releafs excavated from Butkara in Swat depict the juxtaposition of the Buddha and amorous couple. In this newly found relief the toileting lady is added to this juxtaposition, As this triple scene is unprecedented, it is quite important for assessing Gandharan toilet scenes and also toileting ladies. According to my, previous study (Tanabe 2003), this kind of juxtaposition means that the Buddha as psychopompos leads the souls of the Buddhists alter death to the Paradise the pleasure of which is suggested by carnal love between the amorous couple. On the other hand the toileting lady is identical with the lady of the amorous couple. Then, the toileting is intimately related to the love affair. In other words, the toileting scene depicted in Gandharan Buddhist reliefs, as well ls the lady under the tree (Salabhanjika), seems to indicate the sexual pleasure through which the Gandharan Buddhists understood the pleasure of the Buddhist Paradise (Nirviina and Paramita). In addition, one thing must he mentioned. The mirror held by the lady concerned is the so-called horizontal-handled mirror which originated in Italy in the first century AD, and afterwards widely diffused to the West and the East. It was brought to the Indian Subcontinent through the Red Sea and the Arabian Sea during the Kushan period. Until now there is no example of this type attested in Gandharan sculpture, although in Mathuran art we have at least two examples. Therefore, this piece is the first Gandharan example known to u, which depicts this unique type of mirror. Furthermore, the toiletintg scene depicted in this piece shows that no so-called toilet-tray is employed. In its stead the servant holds a big bowl for toileting just like the one depicted in an Indian ivory plaque excavated from Begram. These two pieces demonstrate that the old Indian lady did not employ the so-called toilet-tray but a big bowl for toileting. Therefore we are allowed to conclude that the so-called toilet-tray of Gandhara has no such a function.[20]. Bopearachchi 2011, p. 357.[21]. Bopearachchi 2011, p. 357, n. 25. Το κείμενο εν ÏÏÏÏοÏÏÏÏ Î±ÎºÎ¿Î»Î¿Ï Î¸ÎµÎ¯:p. 357: These Dionysian scenes could be understood as symbolic representation of the Middle Region of gandharva or Yakshas. The present panel under discussion and many others depicting Dionysian scenes found alone with this arch relief were certainly used to evoke the heavenly nature of the Middle Region25.In the light of GandhÄran reliefs unearthed prior to the Zar Dheri excavations26, Martha Carter pointed out that GandhÄran yaksha as capricious spirits of nature were offered grape wine and thought of as roistering sensual demigods inhabiting a delightful paradise. She further argued that this image was a more accessible,
Ο Διόνυσος ως εισηγητής του Βουδιστικού παραδείσου για τ...
Ο Διόνυσος ως εισηγητής του Βουδιστικού παραδείσου για τους ηδονιστές Έλληνες κ.α. ..
Ας δούμε πώς περιγράφει ο Φιλόστρατος Αθηναίος εκ Λήμνου την επίσκεψη του Απολλωνίου Τυανέως στην Ινδική τον α' αι. μ.Χ. και την επαφή του με την εκεί ακολουθούμενη ‘Διονυσιακή’ λατρεία (Philostr. VA 2.8): διαβάντες δὲ τὸν Κωφῆνα ποταμὸν αὐτοὶ μὲν ἐπὶ νεῶν, κάμηλοι δὲ πεζῇ τὸ ὕδωρ, ὁ γὰρ ποταμὸς οὔπω μέγας, ἐγένοντο ἐν τῇ βασιλευομένῃ ἠπείρῳ, ἐν ᾗ ἀνατεῖνον πεφύτευται Νῦσα ὄρος ἐς κορυφὴν ἄκραν, ὥσπερ ὁ ἐν Λυδίᾳ Τμῶλος, ἀναβαίνειν δ᾽ αὐτὸ ἔξεστιν, ὡδοποίηται γὰρ ὑπὸ τοῦ γεωργεῖσθαι. ἀνελθόντες οὖν ἱερῷ Διονύσου ἐντυχεῖν φασιν, ὃ δὴ Διόνυσον ἑαυτῷ φυτεῦσαι δάφναις περιεστηκυίαις κύκλῳ, τοσοῦτον περιεχούσαις τῆς γῆς, ὅσον ἀπόχρη νεῷ ξυμμέτρῳ, κιττόν τε περιβαλεῖν αὐτὸν καὶ ἀμπέλους ταῖς δάφναις, ἄγαλμά τε ἑαυτοῦ ἔνδον στήσασθαι γιγνώσκοντα ὡς ξυμφύσει τὰ δένδρα ὁ χρόνος καὶ δώσει τινὰ ἀπ᾽ αὐτῶν ὄροφον, ὃς οὕτω ξυμβέβληται νῦν, ὡς μήτε ὕεσθαι τὸ ἱερὸν μήτ᾽ ἀνέμῳ ἐσπνεῖσθαι. δρέπανα δὲ καὶ ἄρριχοι καὶ ληνοὶ καὶ τὰ ἀμφὶ ληνοὺς ἀνάκειται τῷ Διονύσῳ χρυσᾶ καὶ ἀργυρᾶ καθάπερ τρυγῶντι. τὸ δὲ ἄγαλμα εἴκασται μὲν ἐφήβῳ Ἰνδῷ, λίθου δὲ ἔξεσται λευκοῦ. ὀργιάζοντος δὲ αὐτοῦ καὶ σείοντος τὴν Νῦσαν ἀκούουσιν αἱ πόλεις αἱ ὑπὸ τῷ ὄρει καὶ ξυνεξαίρονται. ή σε νεο-Ελληνική απόδοση:[1] .... Όταν πέρασαν τον ποταμό Κωφήνα, οι ίδιοι πάνω σε πλοία και οι καμήλες περπατώντας — γιατί εκεί ο ποταμός δεν είναι βαθύς — έφτασαν στη βασιλευομένη χώρα όπου υψώνεται το όρος Νύσα σε μυτερή κορυφή, όπως ο Τμώλος στην Λυδία. Το βουνό αυτό είναι βατό, γιατί έχει οδοποιηθεί από την καλλιέργεια. Λένε λοιπόν πως, όταν ανέβηκαν εκεί, βρήκαν ιερό του Διονύσου που ο ίδιος ο Διόνυσος κατασκεύασε για τον εαυτό του φυτεύοντας γύρω γύρω δάφνες. Οι δάφνες υψώνονται από το έδαφος τόσο περίπου όσο και ο περίβολος ενός μέτριου ναού και γύρω τους υπάρχουν αμπέλια και κισσός. Μέσα στον ναό ο θεός έστησε το άγαλμα του, προβλέποντας πως με τον χρόνο τα δένδρα θα μεγάλωναν και θα σχημάτιζαν φυσική οροφή, όπως πράγματι συνέβη τώρα, έτσι ώστε δεν μπαίνει στο ιερό ούτε βροχή ούτε αέρας. Τα αφιερώματα είναι δρεπάνια, πανέρια και πατητήρια και όλα τα σχετικά με τα πατητήρια, φτιαγμένα από χρυσό και ασήμι, για τον Διόνυσο ως θεό του τρύγου. Το άγαλμα μοιάζει με Ινδό έφηβο και είναι φτιαγμένο από άσπρη πέτρα. Όταν ο θεός οργιάζει, σείεται η Νύσα και οι κάτοικοι των πόλων κάτω από το όρος ακούν και συμμετέχουν. ... Το απόσπασμα φαίνεται να επιβεβαιώνει, τουλάχιστον, την διάχυση της Διονυσιακής εικονογραφίας στην Ινδική, γεγονός το οποίο άλλωστε τεκμηριώνεται από πλείστα σχετικά αρχαιολογικά ευρήματα. Το ερώτημα όμως που αναφύεται είναι σε ποιόν βαθμό αυτή η Διονυσιακή εικονογραφία διατηρούσε το συμβολικό – θρησκευτικό περιεχόμενό της.
Μετά τις εκστρατείες του Μεγάλου Αλεξάνδρου, η λατρεία αυτής της θεότητας εξαπλώθηκε σε ασυνήθιστη έκταση σε όλον τον Ελληνιστικό κόσμο: από τις Βρετανικές νήσους και την Αίγυπτο μέχρι την Υπερκαυκασία, το Αφγανιστάν και την Ινδία, όπως αποδεικνύεται από την πληθώρα αντικειμένων με εικόνες του θεού και της λατρείας του από όλην την προαναφερθείσα ευρεία περιοχή.[2] Σύμφωνα με τα λόγια των αρχαίων συγγραφέων «Ο Ελεύθερος Πατήρ - Liber Pater έκανε θριαμβευτική πορεία στην Ασία». Σε αυτό αναμφίβολα συνέβαλε στο γεγονός ότι η φύση του Διονύσου ήταν στενά συνδεδεμένη με την φθορά και την αναγέννηση της φύσεως που τιμούνταν σε άλλες θρησκείες. Αυτό ακριβώς καθόρισε την διάδοση της λατρείας του Διονύσου, την συγχώνευσή της με τοπικές θεότητες στην ελληνιστική εποχή, για την οποία είναι τόσο χαρακτηριστικός ο θρησκευτικός συγκρητισμός. Οι ίδιοι οι αρχαίοι συγγραφείς τόνισαν επανειλημμένα την συγχώνευση του Διόνυσου με τις τοπικές θεότητες. Ο Losev παρουσιάζοντας μία σύνοψη των αποδείξεων θρησκευτικού συγκρητισμού, αναφέρεται στον Ύμνο του του Martianus Capella για τον Ήλιο[3]:"οι κάτοικοι του Νείλου τον λατρεύουν ως Σέραπιν, στην Μέμφιδα ως Όσιριν, στις ιερές τελετουργίες των Περσών αποκαλείται Μίθρας, στην Φρυγία Άττις .. στην Φοινικική Βύλο ως Άδωνις" κλπ.από το οποίο προκύπτει ότι ο κύριος θεός των ιρανόφωνων λαών - ο Μίθρας - αντιστοιχούσε στον Διόνυσο. Ο αρχαίος ινδοϊρανικός θεός του συμβολαίου, ο θεός του ήλιου Μίθρα, στα τέλη του mitraiem, απέκτησε τέσσερις Μεσσίες, με τους οποίους ήταν συνδεμένη η ιδέα της εξιλεωτικής θυσίας είναι μια θεραπεία παρόμοια με την ερμηνεία του Διονύσου μεταξύ των Ορφικών και Νεοπλατωνικών. Η λατρεία του Διονύσου ήταν επίσης στενά συνδεδεμένη με τη λατρεία του Απόλλωνα, η οποία ήδη από την εποχή των Αχαιμενιδών συσχετιζόταν με αυτήν του Μίθρα!Στις αρχαίες πηγές υπάρχουν άμεσες ενδείξεις για την εξάπλωση της λατρείας του Διονύσου στις απώτερες ανατολικές παρυφές της οικουμένης: Ο Ευριπίδης στις Βάκχες, Eur. Ba. 1.15, περιγράφοντας την διαδρομή του Διονύσου από την ανατολή..., αναφέρει τα τείχη της Βακτρίας. Ο Αρριανός (Arr. An. c, 1, 2) και ο Quintus Curtius Rufus (Κόιντος Κούρτιος Ρούφος, 1ος αι., The Story of Alexander, VII, X, 7, 13) συμφωνούν ότι στα σύνορα της Βακτρίας και της Ινδίας, στην πόλη Nisa, στο όρος Meru, ο Αλέξανδρος είδε ένα άγαλμα του Διονύσου υπό την μορφή ενός Ινδού νεαρού (προφανώς του Tires). Αυτό δίνει αφορμή, συνεχίζει η Kuzmina, να σκεφτούμε ότι τα στοιχεία του Διονυσιασμού εισχώρησαν στη Βακτριανή ήδη από την προελληνική ή μάλλον προαλεξανδρινή εποχή.Μάλιστα, όπως αναφέρεται αλλού εκτενέστερα, η Kuzmina αναγνώρισε συσχετίσεις του γνωστού διαδήματος του Kargaly με την Διονυσιακή λατρεία! [4] Η ίδια ακαδημαϊκός μάλιστα υπεστήριξε ο Διόνυσος διαδραμάτισε κεντρικό ρόλο στις θρησκείες των περιοχών της Μαύρης θάλασσας, τόσο των Ελληνίδων πόλεως όσο και των Σκυθών. [5]

Οι Braund και Hall δημοσίευσαν μια συζήτηση για ένα από τα πιο σημαντικά αποδεικτικά στοιχεία αναφορικά με την ενθουσιώδη στάση των αρχαίων κοινοτήτων της Μαύρης Θάλασσας έναντι του θεάτρου: ένα θραύσμα αθηναϊκού κρατήρα πιθανότατα κατασκευασμένου μεταξύ 430 και 420 π.Χ., μια εικόνα του οποίου αναπαράγεται στο εξώφυλλο τού σχετικού τόμου.[7] Τέσσερεις μορφές παρουσιάζονται με εντυπωσιακά διακοσμημένα ενδύματα και σε πλάγια όψη: ένας αυλητής, ένας άλλος μουσικός και δύο κινούμενοι άνδρες χορευτές με γυναικείες μάσκες και λαμπερά λευκά πρόσωπα, με τεχνητά μαλλιά κολλημένα και επιγραφές που λένε ότι είναι όμορφες (ΚΑΛΕΣ), εμφανιζόμενοι ως γυναίκες παρότι το βιολογικό τους φύλο δεν είναι αυτό.
[image error] ΑΓΓΕΙΟ ΑΠΟ ΤΗΝ GANDHARA ΜΕ ΑΝΑΓΛΥΦΗ ΔΙΟΝΥΣΙΑΚΗ ΣΚΗΝΗ (Fragment of a Vessel with a Dionysian Scene, MET 2000.284.15)
Κάπως ανάλογο εύρημα θραυσματικού αριστουργηματικού λίθινου αγγείου της πρώιμης Βουδιστικής περιόδου προέρχεται από την Gandhara. Αυτό περιλαμβάνει ανάγλυφη παράσταση του Διονύσου συνοδεία της Αριάδνης και Μαινάδος,[8] τιθέμενη εμπρός από το χαρακτηριστικό υφασμάτινο πέτασμα που εχρησιμοποιείτο στο Ελληνιστικό θέατρο ως αυλαία![9] Τα διακοσμητικά στοιχεία, η εικονογράφηση αλλά και το ύφος με το οποίο έχει κατασκευαστεί το τροχήλατο αγγείο παραπέμπουν άμεσα στα κλασικά υποδείγματα.[10] Αξιοσημείωτη είναι η ερμηνεία η οποία δίδεται για τoν συμβολισμό του προαναφερθέντος πετάσματος ως στοιχείου το οποίο αποκαλύπτει αυτό που ήταν κρυμμένο,[11] δηλαδή την ακολουθούσα σκηνή, ή ό,τι άλλο μπορεί να υπονοηθεί μεταφορικά!Φαίνεται όμως ότι Διόνυσος, ή μάλλον το Διονυσιακό πνεύμα, επηρέασε επίσης τον Βουδισμό και, μέσω αυτού, κατέστη γνωστός στους πιστούς αυτής της θρησκευτικής πίστεως αλλά και στο λοιπό κοινό! Ας αναφερθούμε σε παράδειγμα σχετικής Βουδιστικής εικονογραφίας και πως αυτό σχετίζεται και απηχεί την απορρόφηση Διονυσιακών συλλήψεων και την υιοθέτησή τους στην διαδικασία εκλαϊκεύσεως, προβολής και διδαχής του Βουδισμού!Ο Tadashi Tanabe υπογραμμίζει ότι στο σώμα των γλυπτών της τέχνης Gandhara συναντούμε ανάγλυφα πλαίσια - πίνακες που απεικονίζουν τις λεγόμενες Διονυσιακές ή Βακχικές σκηνές.[12] Ο Διόνυσος είναι ο διάσημος θεός της αμπέλου, του οίνου, του τρύγου, της οινοποιήσεως και της τελετουργικής μανίας, γονιμότητας, θεάτρου και θρησκευτικής εκστάσεως στην αρχαία ελληνική θρησκεία και μύθο. Οι οπαδοί του απαρτίζουν τον Θίασο ονομάζονται δε: Σάτυρος, Σιληνός, Θεός Πάν, Μαινάδες. Ο κόσμος του Διονύσου και του Θιάσου συμβολίζουν τον παράδεισο μέσα στον οποίο οι πιστοί και οι οπαδοί του θα αναγεννηθούν και θα μπορέσουν να γευθούν διάφορες απολαύσεις της διονυσιακής μεταθανάτιας ζωής.Εικόνες που αφορούν στον Διόνυσο δείχνουν συμπόσια, ανδρικά και γυναικεία ζεύγη φίλων ή εραστών, εκτέλεση μουσικής και οινοπαραγωγή. Τέτοιες εικόνες αναμφίβολα έχουν επηρεαστεί τόσον εικονογραφικά όσον και υφολογικά από την ελληνική τέχνη συμπεριλαμβανομένης της ελληνιστικής και της ελληνορωμαϊκής. Στο σχετικό άρθρο ο Tadashi Tanabe ασχολείται με μια τέτοια διονυσιακή εικόνα της Gandhara και επιχειρεί να παράσχει διευκρινίσεις σχετικά με το πώς μια τέτοια εικόνα μεταδόθηκε από την Ρωμαϊκή Αυτοκρατορία στην Gandhara. Πρώτον παρουσιάζονται τυπικές διονυσιακές εικόνες που απεικονίζονται σε ανάγλυφους πίνακες της Gandhara. Δεύτερον, παρουσιάζονται τυπικές διονυσιακές εικόνες που απεικονίζονται στην ελληνική και ρωμαϊκή τέχνη. Τρίτον, διερευνάται η ύπαρξη διονυσιακών εικόνων στην Ανατολή συμπεριλαμβανομένης της Gandhara.Σε σύντομο άρθρο του ο Katsumi Tanabe παρουσιάζει ένα μοναδικό Βουδιστικό ανάγλυφο από την Gandhara που τώρα φυλάσσεται σε ιδιωτική συλλογή της Ιαπωνίας.[13] Το έργο τέχνης αποτελείται από τέσσερεις σκηνές: (1) ο Βούδας στεκόμενος, (2) κυρία καλλωπιζομένη συνοδεία υπηρέτη, (3) ερωτικό ζεύγος, (4) δύο αγόρια. Μεταξύ αυτών των τεσσάρων σκηνών, η πιο ιδιαίτερη είναι η εμφάνιση της καλλωπιζομένης κυρίας δίπλα στο ερωτικό ζεύγος και τον Βούδα.Είναι γνωστό ότι τουλάχιστον δύο ανάγλυφα που ανασκάφηκαν από την Butkara στη Swat απεικονίζουν την αντιπαραβολή Βούδα και του ερωτικού ζεύγους. Σε εδώ σχολιαζόμενο το ανάγλυφο που βρέθηκε πρόσφατα η καλλωπιζομένη κυρία προστίθεται σε αυτήν την παράθεση. Καθώς αυτή η τριπλή σκηνή είναι άνευ προηγουμένου, είναι πολύ σημαντική για την αξιολόγηση των σκηνών καλλωπισμού στην τέχνη Gandhara και επίσης για τις καλλωπιζόμενες γυναίκες εν γένει. Σύμφωνα με την προηγούμενη μελέτη του, συνεχίζει ο ερευνητής, αυτό το είδος αντιπαραθέσεως / αντιπαραβολής σημαίνει ότι ο Βούδας ως ψυχοπομπός (ΕΡΜΗΣ) οδηγεί τις ψυχές των Βουδιστών μετά θάνατον στον Παράδεισο, η ευχαρίστηση του οποίου παραβάλλεται με την σαρκική ηδονή του ερωτικού ζεύγους.Βεβαίως σημειώνεται ότι η καλλωπιζομένη γυναίκα είναι η ίδια με αυτήν του ερωτικού ζεύγους.Ο καλλωπισμός λοιπόν φαίνεται να συσχετίζεται στενά με την ερωτική σχέση. Με άλλα λόγια, η σκηνή καλλωπισμού που απεικονίζεται σε Βουδιστικά ανάγλυφα της Gandhara, καθώς και η κυρία κάτω από το δένδρο (Salabhanjika), φαίνεται να υποδηλώνουν την σεξουαλική ηδονή - ευχαρίστηση μέσω της οποίας οι Βουδιστές της Gandhara κατανοούσαν την ευχαρίστηση του Βουδιστικού Παραδείσου (Nirvana και Paramita).Επιπρόσθετα πρέπει να αναφερθεί και κάτι ακόμη. Ο καθρέπτης τον οποίον κατέχει η ενδιαφερόμενη κυρία είναι ο αποκαλούμενος οριζόντιος καθρέφτης που δημιουργήθηκε στην Ιταλία τον πρώτο αιώνα μ.Χ. και στην συνέχεια διαδόθηκε ευρέως στην Δύση και την Ανατολή. Μεταφέρθηκε στην Ινδική ήπειρο μέσω της Ερυθράς και της Αραβικής Θάλασσας κατά την περίοδο των Κοσσανών (Kushan). Μέχρι τώρα δεν υπάρχει κανένα παράδειγμα αυτού του τύπου καθρέπτη που να βεβαιώνεται στο γλυπτό της Gandhara, αν και στην τέχνη της Mathura έχουμε τουλάχιστον δύο σχετικά παραδείγματα. Επομένως, αυτό το κομμάτι είναι το πρώτο παράδειγμα τέχνης Gandhara που είναι γνωστό σε μας, το οποίο απεικονίζει αυτόν τον μοναδικό τύπο καθρέπτη.Επιπλέον, η σκηνή καλλωπισμού που απεικονίζεται σε αυτό το τεχνούργημα δείχνει ότι για τον συγκεκριμένο σκοπό δεν χρησιμοποιείται το λεγόμενο πινάκιο καλλωπισμού. Αντίθετα, ο υπηρέτης κρατά μιά μεγάλη φιάλη για καλλωπισμό ομοιάζουσα σε αυτήν που απεικονίζεται σε τεχνούργημα από Ινδικό ελεφαντόδοντο και ανασκάφηκε στο Begram. Αυτά τα δύο κομμάτια δείχνουν ότι η γηραιά κυρία της Ινδίας δεν χρησιμοποίησε για καλλωπισμό τον λεγόμενο δίσκο καλλωπισμού αλλά μιά μεγάλη φιάλη. Επομένως, επιτρέπεται να συμπεράνουμε ότι το λεγόμενο δισκάριο καλλωπισμού της Gandhara δεν έχει τέτοια λειτουργία.


Στο ίδιο μήκος κύματος ο Bopearachchi σχολιάζοντας τοξωτό ανάγλυφο από το Βουδιστικό ιερό του Zar Dheri γράφει:[14]Αυτές οι διονυσιακές σκηνές θα μπορούσαν να θεωρηθούν ως συμβολική αναπαράσταση της Μέσης Περιοχής των gandharva ή Yakshas. Η υπό συζήτηση ανάγλυφη πλάκα και πολλά άλλα αρχιτεκτονικά μέλη απεικονίζοντα διονυσιακές σκηνές που βρέθηκαν ξεχωριστά από αυτό το ανάγλυφο τόξο (αψίδα) είχαν ως σκοπό να αναφερθούν στην ουράνια φύση της Μέσης Περιοχής.[15] Υπό το φως των γλυπτών Gandhara τα οποία ανεσκάφησαν προηγουμένως στο Zar Dheri, η Martha Carter επεσήμανε ότι στα Γανδαρινά yakshaο ως ιδιότροπα πνεύματα της φύσεως προσεφέρετο οίνος εθεωρούντο δε ως αισθησιακοί ημίθεοι κατοικούντες έναν θαυμάσιο παράδεισο. Υποστήριξε περαιτέρω ότι αυτή η εικόνα ήταν πιο προσιτή και αναμφίβολα συνιστούσε μιά πιο ελκυστική μεταθανάτια εναλλακτική λύση γιά τους εθνικώς αναμεμιγμένους και πιο ηδονιστές Βουδιστές (Έλληνες ?). Οι ίδιες διονυσιακές σκηνές θα μπορούσαν επίσης να γίνουν κατανοητές ως παραπέμπουσες στο στρωματοποιημένο όραμα της ινδικής κοσμολογίας όπως αυτό περιγράφεται στην Βεδική βιβλιογραφία.[16]
Από την πλευρά του ο Tadashi Tanabe διατύπωσε το ερώτημα:[17]Ποιος ήταν ο λόγος για τον οποίο μια τέτοια ερωτική εικόνα εισήχθη στη βουδιστική τέχνη Gandhara; Για να συμπληρώσει:Ο Κ. Κάρεν εξήγησε ότι η νιρβάνα απαιτούνταν και επαινούνταν συμβατικά από τους περισσότερους μοναχούς. Ωστόσο, οι περισσότεροι λαϊκοί βουδιστές θιασώτες δεν μπορούσαν να κατακτήσουν την νιρβάνα όπως πέτυχε ο Βούδας. Ως εκ τούτου, η σκέψη να αναγεννηθούν σε έναν από τους έξι ουράνιους κόσμους του Βασιλείου του Πόθου προβλέφθηκε γι' αυτούς. Από μια τέτοια σκοπιά, η σκέψη να ξαναγεννηθούν στον Παράδεισο πιθανώς γοήτευσε πολλούς λαϊκούς βουδιστές θιασώτες πολύ περισσότερο από την νιρβάνα. Ωστόσο, όλοι οι Βουδιστές δεν μπορούσαν να γίνουν μάρτυρες αυτού που υπάρχει στο βασίλειο του πόθου, γιατί κανείς δεν είχε πάει ποτέ εκεί. Κατά συνέπειαν, η εικόνα του Βασιλείου της Επιθυμίας πρέπει να τους είχε δοθεί για να τους πείσει για την ύπαρξη και επίσης για να οραματιστούν θαύματα του παραδεισένιου κόσμου και τις απολαύσεις που μπορούν να αποκτηθούν εκεί.Επομένως, ο παρών συγγραφέας υποθέτει ότι ο λόγος για τον οποίο η εταίρα και ο οίκος ανοχής απεικονίζονται μαζί στα δύο ανάγλυφα πλακίδια είναι για να υπενθυμίσει ζωντανά στους λαϊκούς βουδιστές θιασώτες και σε ένα συγκεκριμένο είδος μοναχών τις απολαύσεις που μπορεί να αποκτηθούν στο βασίλειο. της Επιθυμίας, συγκεκριμένα, στον παράδεισο του Ουρανού Trāyastriṃśa.
ΣΗΜΕΙΩΣΕΙΣ[1]. Φιλόστρατος Άπαντα 1, 307, εκδ. Κάκτος. [2]. Кузьмина (Kuzmina) 1987, pp. 168, 169, 171.[3] Ο Μαρτιανός Καπέλλα ήταν Λατίνος συγγραφέας του 5ου αιώνα μ.Χ.[4]. Кузьмина (Kuzmina) 1987, p. 171. Βλ. εδώ στο § 9.2.1.[5]. Кузьмина (Kuzmina) 1987, p. 166.[6]. Το θραύσμα βρέθηκε το 1962 στις ανασκαφές μιας κατοικίας που διεξήχθησαν υπό τη διεύθυνση του L. M. Slavin (Αρ. πεδίου: 0-62/1344) στον Τομέα Ε της πόλεως. Φυλάσσεται στο Αρχαιολογικό Μουσείο του Ινστιτούτου Αρχαιολογίας, που ανήκει στην Εθνική Ακαδημία Επιστημών του Κιέβου (αρ. τ. AM 1097/5219). Η πληρέστερη συζήτηση για το κομμάτι πριν από τους Braund and Hall ήταν της Skrzhinskaya (Skrzhinskaya 2010). Το απόσπασμα παρουσιάζεται επίσης ως πρωμετωπίδα (Frontispiece).[7]. Braund, Hall and Wyles 2019, p. 4.[8]. Κονιδάρης 2020, σημ. 7_241.[9]. Κονιδάρης 2020, σημ. 7_242.[10]. Κονιδάρης 2020, σημ. 7_243.[11]. Κονιδάρης 2020, σημ. 7_244.[12]. Tadashi Tanabe. 2020.[13]. Katsumi Tanabe 2005. Το πρωτότυπο κείμενο έχει ως εξής:In this short article I will introduce a unique Gandharan Buddhist relief now kept in the private collection in Japan. it is composed of four scenes: (1) the Buddha standing, (2) a toileting lady and servant, (3) amorous couple, (4) two boys. Among these four scenes the most unique phase is the display of toileting lady beside the amorous or love-making couple and the Buddha. It is well known that at least two releafs excavated from Butkara in Swat depict the juxtaposition of the Buddha and amorous couple. In this newly found relief the toileting lady is added to this juxtaposition, As this triple scene is unprecedented, it is quite important for assessing Gandharan toilet scenes and also toileting ladies. According to my, previous study (Tanabe 2003), this kind of juxtaposition means that the Buddha as psychopompos leads the souls of the Buddhists alter death to the Paradise the pleasure of which is suggested by carnal love between the amorous couple. On the other hand the toileting lady is identical with the lady of the amorous couple. Then, the toileting is intimately related to the love affair. In other words, the toileting scene depicted in Gandharan Buddhist reliefs, as well ls the lady under the tree (Salabhanjika), seems to indicate the sexual pleasure through which the Gandharan Buddhists understood the pleasure of the Buddhist Paradise (Nirviina and Paramita). In addition, one thing must he mentioned. The mirror held by the lady concerned is the so-called horizontal-handled mirror which originated in Italy in the first century AD, and afterwards widely diffused to the West and the East. It was brought to the Indian Subcontinent through the Red Sea and the Arabian Sea during the Kushan period. Until now there is no example of this type attested in Gandharan sculpture, although in Mathuran art we have at least two examples. Therefore, this piece is the first Gandharan example known to u, which depicts this unique type of mirror. Furthermore, the toiletintg scene depicted in this piece shows that no so-called toilet-tray is employed. In its stead the servant holds a big bowl for toileting just like the one depicted in an Indian ivory plaque excavated from Begram. These two pieces demonstrate that the old Indian lady did not employ the so-called toilet-tray but a big bowl for toileting. Therefore we are allowed to conclude that the so-called toilet-tray of Gandhara has no such a function.[14]. Bopearachchi 2011, p. 357.[15]. Bopearachchi 2011, p. 357, n. 25. Το κείμενο εν πρωτοτύπω ακολουθεί:p. 357: These Dionysian scenes could be understood as symbolic representation of the Middle Region of gandharva or Yakshas. The present panel under discussion and many others depicting Dionysian scenes found alone with this arch relief were certainly used to evoke the heavenly nature of the Middle Region25.In the light of Gandhāran reliefs unearthed prior to the Zar Dheri excavations26, Martha Carter pointed out that Gandhāran yaksha as capricious spirits of nature were offered grape wine and thought of as roistering sensual demigods inhabiting a delightful paradise. She further argued that this image was a more accessible, and no doubt more attractive afterlife alternative to ethnically mixed and more hedonistically minded Buddhist converts27. Further to her hypothesis, these Dionysian scenes could also be understood as reminiscent of the stratified vision of the Indian cosmology as narrated in the Vedic literature28...I developed this hypothesis in a series of conferences delivered on: “vin, sexe et amour dans l’art bouddhique du Gandhāra: à la recherche de paradis” at the ecole normale supérieure on June 5th 2008; “alexander the Great and dionysios in India: the Greek Interaction with early Indian Buddhist art”, at department of asian studies, University of texas, austin, on March 9th, 2010; at IsaW, University of new York, on december 9th 2009; at religious studies, south asian studies, east asian studies program, classics department, art history and center for ancient studies, University of pennsylvania, april 26th, 2010Ανέπτυξα αυτήν την υπόθεση σε μια σειρά από συνέδρια όπου συμμετείχα με θέμα: «vin, sexe et amour dans l’art bouddhique du Gandhāra: à la recherche de paradis» στο ecole normale supérieure στις 5 Ιουνίου 2008. «Ο Μέγας Αλέξανδρος και ο Διονύσιος στην Ινδία: η ελληνική αλληλεπίδραση με την πρώιμη ινδική βουδιστική τέχνη», στο τμήμα ασιατικών σπουδών, Πανεπιστήμιο του Τέξας, Ώστιν, στις 9 Μαρτίου 2010. στο ISAW, Πανεπιστήμιο της Νέας Υόρκης, στις 9 Δεκεμβρίου 2009. σε θρησκευτικές σπουδές, σπουδές Νότιας Ασίας, πρόγραμμα σπουδών ανατολικής Ασίας, τμήμα κλασικών, ιστορία της τέχνης και κέντρο αρχαίων σπουδών, Πανεπιστήμιο της Πενσυλβάνια, 26 Απριλίου 2010[16]. Bopearachchi 2011, p. 357, n. 28.[17]. Tadashi Tanabe 2019, p. 35. Το πρωτότυπο απόσπασμα έχει ως εξής:What was the reason why such an erotic image was introduced to Gandhāran Buddhist art? K. Karen explained that nirvāṇa was conventionally demanded and praised by most of the monks (Karen 1999: 98). However, most of lay Buddhist devotees could not get nirvāṇa as the Buddha attained. Therefore, the thought to be reborn in one of the six heavenly worlds of the Realm of Desire was preached for them. From such a point of view the thought to be reborn in Heaven probably fascinated many lay Buddhist devotees far more than nirvāṇa. However, all the Buddhists could not witness what exist in the Realm of Desire, because nobody had ever been there. Accordingly, the image of the Realm of Desire must have been given to them in order to persuade them of the existence and also to visualize wonders of paradisiacal world and pleasures obtainable there.Therefore, the present author supposes that the reason why courtesan and brothel are depicted together on the two relief panels (Figs. 1, 2) is to remind vividly lay Buddhist devotees and a certain kind of monks of the pleasures to be obtained in the Realm of Desire, in particular, in the paradise of the Trāyastriṃśa Heaven.[18]. Tadashi Tanabe 2019, p. 35.
ΒΙΒΛΙΟΓΡΑΦΙΑhttps://dokumen.pub/the-graeco-bactri..., J. 2020. "Greekness after the end of the Bactrian and Indo-Greek kingdoms," in The Graeco-Bactrian and Indo-Greek World, ed. R. Mairs, pp. 653-681, Routledge. {CHINA/BOOKS}
Φιλόστρατος. Τα ες τον Τυανέα Απολλώνιον Α, Β, Γ (Φιλόστρατος Άπαντα 1, 307), εκδ. Κάκτος.
https://i.twirpx.link/file/4158883/Kу..., Е. Е. 2002. “Греческий курос в Бактрии,” in Мифология и искусство скифов и бактрийцев. Культурологические очерки, Москва.
https://www.jstor.org/stable/4629244C..., M. L. 1968. "Dionysiac Aspects of Kushān Art," Ars Orientalis 7, pp. 121-146.
https://www.jstor.org/stable/i2515978..., M. L. 1982. “The Bacchants of Mathura: New Evidence of Dionysiac Yaksha Imagery from Kushan Mathura,” The Bulletin of the Cleveland Museum of Art 69 (8), pp. 247-257.
https://archive.org/details/textesetm..., F. 1899. Textes et monuments relatifs aux mysteres de Mithra I , II, Bruxelles.
https://archive.org/details/etudessur..., S. 1951. Etudes sur les mysteres de Mithra, Lund.
https://books.google.gr/books?id=X6xQ..., D., E. Hall and R. Wyles, eds. 2019. Ancient Theatre and Performance Culture Around the Black Sea, Cambridge Univ. Press.
http://history.org.ua/LiberUA/978-966..., M. V. 2010. Drevnegrecheskiye prazdniki v Elladye i Sevennom Prichernomor'ye (Cultural traditions of Hellas in the ancient states of the Northern Black Sea region. Kiev : Institute of History of Ukraine, National Academy of Sciences of Ukraine [in Russian]), St. Peterssburg
Скржинская М. В. Культурные традиции Эллады в античных государствах Северного Причерномо-рья. Киев: Институт истории Украины НАН Украины, 2010. 324 с.
https://kclpure.kcl.ac.uk/portal/en/p..., D., E. Hall. 2014. "Gender, Role and Performer in Athenian Theatre Iconography: A Masked Tragic Chorus with Kalos and Kale Captions from Olbia," Journal of Hellenic Studies 134, pp. 1-11.
www.twirpx.comКузьмина, Е.Е. 1987. “Дионис у усуней: о семантике каргалинской диадемы,” in Центральная Азия: новые памятники письменности и искусства, pp. 158-181.(Dionysus and Usuns: On the Semantics of the Kargaly Diadem in Central Asia: New Monuments of Writing and Art)
Brancaccio, P. and Xinru Liu. 2009. "Dionysus and drama in the Buddhist art of Gandhara," Journal of Global History 4 (2), pp. 219 - 244.
https://sino-platonic.org/complete/sp..., L. 2022."Dionysian Rituals and the Golden Zeus of China," Sino-Platonic Papers 326, pp. 1-123.
Katsumi Tanabe. 2005. “Symbolic Meaning of Toileting Lady in Gandharan Buddhist Reliefs,” Bulletin of the Ancient Orient Museum XXV, pp. 73-86.ΒΟΥΔΙΣΤΙΚΟ ΑΝΑΓΛΥΦΟ ΤΕΧΝΗΣ GANDHARA (ΣΕΙΡΑ γ')
http://pu.edu.pk/images/journal/archa... Tanabe. 2019. “Courtesan and Brothel in Gandharan Art,” Ancient Punjab 7, pp. 24-51.https://www.oupcanada.com/catalog/978...
https://www.nature.com/articles/s4159..., Y. 2020. "A painful matter: the sandal as a hitting implement in Athenian iconography," Humanit Soc Sci Commun 7 (64), pp. 1-11, <https://www.nature.com/articles/s4159... (14 June 2024). https://doi.org/10.1057/s41599-020-00...
http://pu.edu.pk/images/journal/archa... Tanabe. 2020. “The Dionysiac Imagery from the Mediterranean to Gandhāra,” Ancient Punjab 8, pp. 9-36.
Davinson, J. 2006. “Making a Spectator of Her(self): The Greek Courtesan and the Art of the Present,” in The Courtesan’s Arts: Cross-Cultural Perspectives, ed. M. Feldman, Oxford, pp. 29-51.
Singh, Y. B. 1993. “Roots of the Ganika - Culture of Early India,” Annals of the Bhandarkar Oriental Research Institute 74 (1/4), pp. 181-190. Jstor 183-4
https://sci-hub.se/10.1353/jwh.2020.0..., K. A. 2020. “The Prestige Makers: Greek Slave Women in Ancient India,” Journal of World History 31 (2), pp. 265-294.
https://cyberleninka.ru/article/n/o-g.... Schaub (Saint Petersburg, Russia). Some features of the cult of Dionysus among the Hellenes and barbarians of the Northern Black Sea region
https://dspace.nplg.gov.ge/bitstream/..., L. 2021. “The Cult of Dionysus in Ancient Georgia (4th c. BC- 4 th c. AD),” Iberia – Colchis 16, pp. 119-134.
https://books.google.gr/books?id=X6xQ..., D., E. Hall, R. Wyles, eds. 2019. Ancient Theatre and Performance Culture Around the Black Sea, Cambridge Univ. Press.
https://www.academia.edu/14260827/In_...
Bopearachchi, O. 2011. “In Search of Utpalavarna in Gandharan Buddhist Art,” in Studi in onore di Antonio Invernizzi per il suo sttantesimo compleanno, ed. C. Lippolis and S. de Martino, Firenze, pp. 253-367.
ΠΛΕΟΝ ΠΡΟΣΦΑΤΟΣ ΕΜΠΛΟΥΤΙΣΜΟΣ: 191024
October 6, 2024
Dionysos, drama, Buddhism: Διόνυσος, δράμα και Βουδισμός: intersections and fusions ..
Διόνυσος, δράμα και Βουδισμός: διασταυρώσεις και συγχωνεύσεις ..
Δεν αμφισβητείται ότι στοιχεία της Διονυσιακής λατρείας εμφανίζονται και μάλιστα άφθονα στην Ασία από την Αλεξανδρινή περίοδο και ακολούθως, παραμένει όμως ανοικτό προς συζήτηση το ερώτημα σε ποιό βαθμό και σε ποιές περιπτώσεις αυτή η εξωτερική παρουσία Διονυσιακών στοιχείων συνοδευόταν από το αντίστοιχο συμβολικό περιεχόμενο ή αποτελούσε απλώς διακοσμητικό στοιχείο χωρίς αντίκρυσμα7_213.. Στην Κίνα, ειδικώτερα, η εισαγωγή του Βουδισμού με όχημα την Γανδαρίτιδα τέχνη χαρακτηρίσθηκε - παρερχομένου του χρόνου - από μίαν απομείωση του συμβολικού αντικρύσματος Διονυσιακών μορφών και θεμάτων, από εκκοσμίκευση και, τελικώς, απώλεια των θρησκευτικών συσχετίσεών τους. Χαρακτηριστική είναι σχετικά η περίπτωση των Ατλάντων7_214 της Γανδαρίτιδας οι οποίοι κατέληξαν να φυλάσσουν τους τάφους των Κινέζων λαϊκών, αλλά και αυτή της Νίκης – Apsara,7_215b θηλυκού πνεύματος των νεφών και των υδάτων στo Ινδουιστικό και Βουδιστικό ιδίωμα, η οποία κατέληξε στην ουράνια Κινεζική θεότητα Feitian για να αφομοιωθεί τελικά στα πλαίσια της Νεστοριανής εκκλησίας κατά την περίοδο της δυναστείας Yuan.7_215
Πέραν της Διονυσιακής εικονογραφίας, όμως, η οποία κατά γενικήν ομολογία επηρέασε την Ασιατική τέχνη της περιόδου, ιδιαίτερα δε της Γανδαρίτιδας, η επιρροή του Διονυσιακού δράματος έχει μερικώς μόνον αναλυθεί και η όποια Ελληνιστική επιρροή εκεί εμφανίζεται σήμερα ολιγώτερο γνωστή και προφανής. Από τις αρχές της εποχής μας οι Διονυσιακές παραδόσεις και το δράμα υιοθετήθηκαν από τους Βουδιστές της Γανδαρίτιδας με σκοπό την προώθηση των θρησκευτικών πεποιθήσεών τους. Η δημιουργία ενός συνόλου πλαστικών έργων τέχνης τα οποία παρουσίαζαν την ζωή του Βούδα σε αφηγηματική μορφή7_216 μαζί με το λογοτεχνικό έργο του Ashvaghosha,7_217 μπορεί να θεωρηθούν ως έκφραση της ίδιας δραματικής μορφής που αναπτύχθηκε σε τοπικό επίπεδο παράλληλα με μια ισχυρή τελετουργική Διονυσιακή παρουσία.7_218 Έχει υποστηριχθεί μάλιστα ότι οι καλλιτέχνες της Gandhara μας προσέφεραν μία λογοτεχνική αφήγηση επί λίθου θέτοντας το μέσον αυτό στην υπηρεσία κειμένων,7_219 πραγματοποιώντας έτσι μια οπτικοποίηση του λόγου, για την οποία ο Σιμωνίδης ο Κείος είχε χαρακτηριστικά σημειώσει κατά τον έκτο / πέμπτο αι. π.Χ. (Plut. De Gloria 346f):
.. ὁ Σιμωνίδης τὴν μὲν ζωγραφίαν ποίησιν σιωπῶσαν προσαγορεύει, τὴν δὲ ποίησιν ζωγραφίαν λαλοῦσαν. ἃς γὰρ οἱ ζωγράφοι πράξεις ὡς γιγνομένας δεικνύουσι, ταύτας οἱ λόγοι γεγενημένας…
Η άποψη – πρόταση του Σιμωνίδου έγινε αντικείμενο παραπέρα θεωρητικής επεξεργασίας στην συνέχεια από τον Πλάτωνα και τον Αριστοτέλη οι οποίοι ανέλυσαν το γενικότερο θέμα της μιμήσεως, Plat. Rep. 2, 3, 10 και Aristot. Poet.,7_220 για να επαναληφθεί μερικώς αργότερα από τον Κουίντο Οράτιο Φλάκκο στην δική του Ποιητική και να επιβιώσει ως σήμερα με την Λατινική γραφή της ut pictura poesis. Η περικοπή αυτή έμελλε να γνωρίσει μιά μακρά και ταραγμένη ζωή στα δυτικά γράμματα, κατέστη δε γρήγορα ερμηνευτικό πρόβλημα και αιτία διχογνωμιών. Όλως περιέργως η ιδέα εμφανίσθηκε στο Ινδικό δράμα και μάλιστα επανειλημμένως: Πράγματι εκτεταμένη χρήση της κάνει ο Asvaghosa,7_221 ανοίγοντας τον δρόμο για περαιτέρω προβληματισμό, ενώ ο Kalidassa την υιοθετεί επίσης στο δράμα του The Recognition of Sakuntala.7_222
Η οργάνωση των αναγλύφων, η ακολουθία των απεικονιζόμενων εκεί σκηνών καθώς και η πρόσληψη κάθε εικόνας - στιγμιοτύπου δείχνουν ότι η ζωή του Βούδα στην τέχνη της Gandhara συνελήφθη με όρους δραματικής αποδόσεως.7_223 Προς επίρρωση, μάλιστα, της δραματικής αυτής προσεγγίσεως Ελληνικού ύφους σημειώνουμε ότι κάθε σκηνή – στιγμιότυπο από την ζωή του Βούδα παρουσιαζόταν πλαισιωμένη από κίονες και Κορινθιακά κιονόκρανα, παραπέμποντας στην σκηνή των Ελληνιστικών θεάτρων.
Σύμφωνα με τους Brancaccio & Liu7_224 τα παριστώμενα επεισόδια ζωής επικεντρώνονται στην παρουσίαση της δραματικής δράσεως του Βούδα, όπως αυτά προορίζονταν να ιδωθούν με δυναμικό τρόπο από τους προσκυνητές που περιδιάβαιναν την στούπα. Η τελευταία φαίνεται έτσι να λειτουργεί ως μία σκηνή όπου παρουσιάζεται η ζωή του Βούδα εκτυλισσόμενη στον χρόνο. Επιπλέον, η εικονογραφία των βαθμίδων7_225 οι οποίες διακοσμούν πολλά ιερά της Gandhara, περιλαμβάνουσα σκηνές οινοποσίας καθώς και μουσικο – χορευτικές, αναφέρεται ρητά σε Διονυσιακές τελετουργίες που ελάμβαναν χώρα στον Ελληνιστικό κόσμο πριν από δραματικές παραστάσεις. Τα αρχαιολογικά και καλλιτεχνικά τεκμήρια όπως και οι γραπτές πηγές που συνδυάζονται εδώ δείχνουν ότι ο Βουδισμός έδωσε στην Διονυσιακή παράδοση και το δράμα ένα νέο νόημα. Ενώ οι Βουδιστές ιερείς υιοθέτησαν την θεατρική γλώσσα προκειμένου να διαδώσουν τις δικές τους ιδέες, αυτοί ιδιαίτερα της Γανδαρίτιδας συνέβαλαν παράλληλα στην ανάπτυξη του ινδικού θεάτρου.
Από πληθώρα τεκμηρίων αποκαλύπτεται ότι ο επισκέπτης των Βουδιστικών ιερών αντιμετωπίζετο όχι ως απλός θεατής αλλά ως αυτόπτης μάρτυρας συμμετέχων σε μιάν αλληλεπίδραση η οποία επετύγχανε την ένταξή του στα τεκταινόμενα και την αποτελεσματική κατήχησή του στις νέες ιδέες.7_225a1 Αυτός ο τρόπος επικοινωνίας με τους ήδη πιστούς όσον και τους εν δυνάμει είχε ως σκοπό την αποτελεσματική δημιουργία μιάς κοινότητας εντεταγμένης στα νέα πιστεύω, υπήρξε δε απαραίτητος ιδιαίτερα λόγω της απουσίας γραπτού λόγου.
O σχολιαζόμενος εδώ τύπος προσλήψεως υποβάλλεται ιδιαίτερα στις λεγόμενες αφηγηματικές σκηνές τις σχετικές με την αναπαράσταση της ζωής του Βούδα. Σε αυτές είναι συνήθης η απεικόνιση θεατών, εντός θεωρείων ή επί εξώστη, οι οποίοι παρακολουθούν τα γεγονότα ως εάν ευρίσκοντο οι ίδιοι στο προσκήνιο και μάλιστα δίπλα στον ίδιο τον Βούδα.7_225a2 Η ενεργός συμμετοχή των θεατών σε κάποια εδώ υπονοούμενη παράσταση υπογραμμίζεται από τα κομψά ενδύματα και τα περίτεχνα κοσμήματα που αυτοί απεικονίζονται να φέρουν, ενώ η σκηνή συχνά διακοσμείται από αντικείμενα υψηλής τέχνης όπως αγγεία. Με λίγα λόγια η παρουσία του ‘θεατή εντός της εικόνας’ ανταποκρίνεται σε μιαν οπτική στρατηγική που επιχειρεί να τον καταστήσει ‘αυτόπτη μάρτυρα’ επιτυγχάνοντας έτσι την σύνδεσή του με αυτούς που εκπροσωπούνται στις αφηγηματικές σκηνές και δημιουργώντας μια νέα κοινοτική θρησκευτική κοινότητα.

Εικ. 7_30: Ανάγλυφο της Butkara I με απεικόνιση κυριών σε θεωρείο
Άλλωστε το Ινδικό θέατρο οφείλει πολλά στην επαφή του με τον Ελληνικό πολιτισμό στην κλασική ή και την Ελληνιστική εκδοχή του. Σε πρόσφατη μελέτη του ο Morales-Harley7_226b1 διατυπώνει την άποψη ότι η ελληνο - ρωμαϊκή λογοτεχνία ήταν γνωστή, κατανοητή και ζώσα στην Ινδική, ήτοι διαβαζόταν, αναπαρήγετο και ενέπνεε. Επιπλέον, υποστηρίζει ότι οι τεχνικές προσαρμογής του έπους στο θέατρο θα μπορούσαν να συνιστούν ελληνο - ρωμαϊκές επιρροές στην υποήπειρο και ότι ορισμένα από τα στοιχεία που προσαρμόστηκαν στα λογοτεχνικά μοτίβα (συγκεκριμένα τα θεματίδια της πρεσβείας, της ενέδρας και του τέρατος - όγκρου) θα μπορούσαν να είναι δάνεια των σανσκριτικών συγγραφέων από τον ελληνο - ρωμαϊκό κόσμο. Μάλιστα ως τυπικά παραδείγματα / υποδείγματα των τριών προαναφερθέντων θεματιδίων - της πρεσβείας, της ενέδρας και του τέρατος - θεωρούνται αντιστοίχως η 'Πρεσβεία προς Αχιλλέα' (ραψωδία 9 της Ιλιάδος), τα 'Δολώνεια' (ή επεισόδιο του Δόλωνος, ραψωδία 10 της Ιλιάδος), και η 'Ἀλκίνου ἀπόλογοι - Κυκλώπεια' (ραψωδία 9 της Οδύσσειας). Το βιβλίο του Morales-Harley εξετάζει μια μεγάλη ποικιλία πηγών, όπως η Ιλιάδα, ο Φοίνιξ και ο Ρήσος (του ψευδο - Ευριπίδου), ο Κύκλωπας (ελληνορωμαϊκός) καθώς και η Μαχαμπαράτα, η Πρεσβεία, οι "Πέντε Νύχτες"7_226b2 και η "Μέση Νύκτα".7_226b3 Το αποτέλεσμα της μελέτης είναι καλώς τεκμηριωμένο και μας παρουσιάζει την δυνατότητα πολιτιστικής ανταλλαγής μεταξύ του ελληνο - ρωμαϊκού κόσμου και της Ινδίας, μια πιθανότητα που, αν και θεωρούμενη από τον ίδιο ως υποθετική (;), αξίζει, κατά τον μελετητή, να εξεταστεί. Μάλιστα ο συγγραφέας προχωρεί στην αναγνώριση και άλλων δανείων από τον ελληνικό κόσμο, όπως η σύμβαση της αποφυγής της παρουσιάσεως του θανάτου και της βίας επί σκηνής7_226b4 κ.ά.7_226b5
Παραμένοντας στις εξωτερικές ομοιότητες σημειώνουμε ότι στα Σανσκριτικά δράματα Vikramorvasie (ή Ο Ήρως και η Νύμφη) και Malavikagnimitra του κορυφαίου Kalidasa οι Έλληνες αναφέρονται ως μισθοφόροι ενώ οι Ελληνίδες ομοίως διαπρέπουν ως ανακτορικοί φύλακες.7_226 Από την άλλη ο Ινδικός όρος για την αυλαία / πέτασμα, Yavanika, έχει ερμηνευθεί ως ‘το Ελληνικό πράγμα’, αν και εδώ υπάρχουν αμφισβητήσεις.7_227 Ομοιότητες έχουν εντοπισθεί όσον αφορά στην δομή του Σανσκριτικού δράματος η οποία φαίνεται επηρεασμένη από την Ελληνιστική Νέα Κωμωδία και τις καινοτομίες του Μενάνδρου.7_228 Το έργο Nāṭya Śāstra, Σανσκριτικό κείμενο του Bharata Muni σχετικό με το θέαμα, περιλαμβάνει περιγραφή των χαρακτήρων των έργων, κατ’ αναλογίαν προς το περίπου σύγχρονο Ονομαστικόν του Πολυδεύκη!7_229 Μάλιστα ο χαρακτήρας Vidūṣaka περιγραφόμενος ανωτέρω εμφανίζει εκπληκτική ομοιότητα με τον μίμο ή φλύακτα του Ελληνιστικού θεάτρου, αν και οι σχετικές έρευνες ευρίσκονται ακόμη εν εξελίξει.7_229a1 Πάντως ο χαρακτήρας εμφανίζεται συχνά στην Γανδαρίτιδα τέχνη όπως μαρτυρούν δύο γύψινες κεφαλές με τα χαρακτηριστικά του,7_229a2 και επιβεβαιώνει η παρουσία του επίσης στην εικονογράφηση των σπηλαίων Ajanta, στα ανάγλυφα του Nagarjunakonda κ.α.7_229a3 Στο θέατρο Kutiyattam7_230 γίνεται χρήση πετάσματος του οποίου η ύπαρξη αποσκοπούσε στην απόκρυψη της εισόδου στην σκηνή κεντρικών χαρακτήρων, κατ’ αναλογίαν προς τον Ελληνιστικό σίπαρον ο οποίος υιοθετείτο στον μίμο7_231 και εθεωρείτο ως η θύρα των ηθοποιών.7_232 Η αφηγηματική προσέγγιση η οποία ακολουθείται στην πλαστική απεικόνιση σκηνών της ζωής του Βούδα εμφανίζει χαλαρή ομοιότητα με την ανάλογη προσέγγιση σε Ελληνιστικά γλυπτά όπως αυτό της ζωοφόρου του Τηλέφου από τον βωμό της Περγάμου,7_233 ή το ιερό του Απόλλωνος στην Χρύσα και της χθονίας Εκάτης στην Λαγίνα της Καρίας,7_234 τα οποία όμως ανήκουν στην κατηγορία του συνεχούς αφηγηματικού ύφους, χωρίς τις διακριτές Βουδιστικές σκηνές.

Τόσον στο Σανσκριτικό όσον και στο Ελληνικό θέατρο υιοθετείται συχνά και η μεταθεατρικότητα, ιδιαίτερα μάλιστα στην κωμωδία. Η μεταθεατρικότητα, αλλά και οι συγγενείς όροι μεταθέατρο / μεταδράμα / θέατρο εν θεάτρω, συνιστά την προσέγγιση εκείνη η οποία επιχειρεί την αποφυγή της απόλυτης εμπλοκής του κοινού στην θεατρική πράξη και επομένως σκοπόν έχει ο θεατής να κρατήσει αποστάσεις από την μυθοπλασία, χαρακτηρίζεται δε από αυτοαναφορικότητα.7_235 Ενδεικτικά παράδειγμα τέτοιας προσεγγίσεως συναντάται στο κωμικό έργο Mālavikāgnimitra του Kalidasa, όπου η ίδια η ηρωίδα του Mālavikā είναι ηθοποιός, στην δε τρίτη πράξη του γίνεται ευρεία χρήση της τεχνικής ‘θεάτρου εν θεάτρῳ’.7_236
Ωρισμένοι ιστορικοί σημειώνουν την ύπαρξη τετραγωνικού αμφιθεάτρου στην θέση Nagarjunakonda (Madhya Pradesh) και κερκιδωτής κατασκευής στον λόφο Ramgarh (Madhya Pradesh) οι οποίες θεωρήθηκαν θεατρικές κατασκευές εμπνευσμένες από τους Έλληνες.7_236a1 Στην πρώτη, μάλιστα, από τις προαναφερθείσες θέσεις ευρέθη επιγραφή επιβεβαιώνουσα την εκεί διεξαγωγή καλλιτεχνικών παραστάσεων. Πάντως τα τελευταία χρόνια η άποψη για επηρεασμό του Ινδικού θεάτρου από το Ελληνικό φαίνεται να χάνει έδαφος,7_236a2 αφού – άλλωστε – οι Ινδοί ερευνητές έχουν συχνά την τάση να ερμηνεύουν τα ευρήματα υπό το πρίσμα ενός ακραίου παραμορφωτικού εθνικισμού, ενώ και οι Ελληνο – Ρωμαϊκές βάσεις του πολιτισμού τείνουν στις μέρες μας να αμφισβητούνται ή έστω να αποδυναμώνονται!7_236a3
Ο ίδιος ο θεός προστάτης του Ινδικού δράματος Mangala – συσχετιζόμενος κάποτε με τον Karttikeya / Skanda / Σκάνδα (ή Iskander – Αλέξανδρος) – ταυτοποιείται ονοματικά με τον πλανήτη Άρη, ενώ σύμφωνα με μυθολογικές εκδοχές θεωρείται επίσης προερχόμενος από τον Shiva.7_237 Ο θεός, πέραν των ονοματικών συγγενειών του με την Ελληνική παράδοση,7_238 διαθέτει χαρακτηριστικά που επίσης μοιάζει να μοιράζεται με τον Διόνυσο! Πέραν του ότι οι δυό τους θεωρούνται ‘προστάτες’ του δράματος στις δύο παραδόσεις, διαθέτουν επίσης σωτηριολογική διάσταση, πολεμικό χαρακτήρα και σειρά παράδοξων αν όχι και αντιφατικών χαρακτηριστικών, τα οποία μας είναι οικεία από τον χαρακτήρα του Διονύσου. Άλλωστε ο θεός του δράματος παραβάλλεται επίσης με τον Rudra, θεότητα της Rigveda σχετιζόμενη με το κυνήγι, τον άνεμο και τον τρόμο / μανία.7_239 Σύμφωνα με τον Parpola, ως πρώιμη μορφή του θεού Rudra της Rigveda μπορεί να θεωρηθεί ανθρωπομορφική ανδρική θεότητα με κέρατα και ουρά, που φέρει τόξο, παρουσιάζει συνάφεια με την συκιά και ανήκει στο πλαίσιο του Πολιτισμού του Ινδού!7_240 Από την πλευρά μας σημειώνουμε εδώ άλλο ένα πρόσθετο στοιχείο ενδεχόμενης συσχετίσεως της Ινδικής με την Ελληνική παράδοση, δηλαδή ότι η συκιά έτσι εμφανίζεται συνδεδεμένη με θεότητα Διονυσιακού τύπου, ακριβώς όπως στην Ελλάδα όπου ο Διόνυσος ελατρεύετο και ως Συκίτης.
Από την Gandhara προέρχεται αξιομνημόνευτο θραύσμα αριστουργηματικού λίθινου αγγείου της πρώιμης Βουδιστικής περιόδου. Αυτό περιλαμβάνει ανάγλυφη παράσταση του Διονύσου συνοδεία της Αριάδνης και Μαινάδος,7_241 τιθέμενη εμπρός από το χαρακτηριστικό υφασμάτινο πέτασμα που εχρησιμοποιείτο στο Ελληνιστικό θέατρο ως αυλαία!7_242 Τα διακοσμητικά στοιχεία, η εικονογράφηση αλλά και το ύφος με το οποίο έχει κατασκευαστεί το τροχήλατο αγγείο παραπέμπουν άμεσα στα κλασικά υποδείγματα.7_243 Αξιοσημείωτη είναι η ερμηνεία η οποία δίδεται για τoν συμβολισμό του προαναφερθέντος πετάσματος ως στοιχείου το οποίο αποκαλύπτει αυτό που ήταν κρυμμένο,7_244 δηλαδή την ακολουθούσα σκηνή, ή ό,τι άλλο μπορεί να υπονοηθεί μεταφορικά!

Όλοι οι χαρακτήρες, ο άνδρας στο κέντρο και από μία γυναίκα σε κάθε πλευρά, διαθέτουν ζώνη από δέρας αιλουροειδούς. Πιθανόν πρόκειται γιά δέρματα λεοπαρδάλεως, αν κρίνουμε από τo χαρακτηριστικό τριχωτό της κεφαλής αλλά και τις πατούσες που κρέμονται στις πλευρές.7_244a1 Ενός ζώου το οποίο, επισημαίνεται εδώ, διαθέτει έντονη εικονογραφική σύνδεση με τον Διόνυσο, η οποία αθροίζεται με πλήθος άλλων. Η γυναικεία μορφή στα αριστερά κρατά στο χέρι ένα κύπελλο από τον πόδα του. Χαρακτηρίζεται από κλασικό ύφος, φέρει δε πτυχωτή ένδυση και πέπλο το οποίο ανεμίζει στο αεράκι, στην τυπική εικονογραφία τής Αύρας,7_244a2 παραπέμπουσα έτσι στην κλασική τέχνη και παρέχοντας, ενδεχομένως, περαιτέρω συσχέτιση με τον Διόνυσο! Η δεύτερη γυναικεία μορφή φαίνεται να αγκαλιάζει τον άνδρα στο κέντρο με το δεξί της χέρι ενώ συγκρατεί το ένδυμά της με το αριστερό χέρι, συμπληρώνοντας την Διονυσιακή εικόνα.
Η σημασία του τεκμηρίου και η αιτία αναφοράς του εδώ έγκειται στο γεγονός ότι ενσωματώνει συνδυαστικά σειρά χαρακτηριστικών τα οποία αναλύθηκαν ανωτέρω: (α) την υιοθέτηση Ελληνιστικών και μάλιστα Διονυσιακών θεμάτων, (β) την παράλληλη παρείσφρηση οικείων στοιχείων του δράματος (πέτασμα), (γ) την χρήση των ανωτέρω προκειμένου να εκπεμφθούν / διαδοθούν νοήματα θρησκευτικού / φιλοσοφικού χαρακτήρα, άπαντα στοιχεία με έντονη την Ελληνική σφραγίδα και πνοή αλλά σε Βουδιστικό περιβάλλον!

Έντονο θεατρικό και Διονυσιακό χαρακτήρα διαθέτει επίσης ανάγλυφο προερχόμενο από το κύριο διακοσμητικό πρόγραμμα της Βουδιστικής στούπας στο Andan Dheri, στην επικράτεια των Apraca.7_244a3 Στις δύο άκρες του αναγλύφου εμφανίζονται ανά τρείς χαρακτήρες εκ των οποίων ο ένας άνδρας, διαθέτει ελαφρώς ζωώδη αυτιά παραπέμποντα σε σάτυρο. Η ανδρική μορφή στα δεξιά προσφέρει κύπελλο πόσεως στην μία γυναίκα ενώ ταυτόχρονα στρέφει την κεφαλή του προς την άλλη που παρακολουθεί την σκηνή με ύφος υποδηλώνον την Αιδώ.7_244a4 Σε παρόμοια σκηνή στο άλλο άκρο ο σάτυρος φέρον κύπελλο αγγίζει την μία γυναίκα ενώ η άλλη παρακολουθεί στενά, παρέχοντάς μας έτσι ένα ακόμη τεκμήριο για την μεταφορά στην Ινδική υποήπειρο πολιτιστικών στοιχείων, όπως το θέατρο, αλλά και συμβολικού Διονυσιακού φορτίου μαζύ με ηθικές συλλήψεις υψηλής στάθμης όπως η Αιδώς!
ΣΗΜΕΙΩΣΕΙΣ7_213. Τεχνουργήματα της δυναστείας Sui (581-618), όπως κεραμεική κάμηλος από την Xi'an (Zhao Xu 2018), αλλά και της Tang αργότερα, εκτιμάται ότι συνιστούν διακοσμητικά θέματα χωρίς ιδιαίτερες εννοιολογικές ή συμβολικές συσχετίσεις. Στην τελευταία κατηγορία εκτιμάται ότι ανήκει και μαρμάρινη σφίγγα της περιόδου, ανασκαφείσα σε ταφικό περιβάλλον στην Guyuan της περιοχής Ningxia Hui (Miller 2015).7_214. Rienjang and Stewart 2019, p. 157, fig. 14.7_215b. Yang 2019.7_215. Kumar 2018a, p. 124; Yang 2020. Το ζεύγος αιωρούμενων φτερωτών μορφών συνιστά δημοφιλές θέμα στην Ινδική τέχνη και σε αυτήν της Δ. Ασίας εν γένει, αποδίδεται δε σε Ελληνιστική επιρροή.7_216. Behrendt 2007, pp. 32-45. Για την πρώιμη εμφάνιση της αφηγηματικής παραστατικής τέχνης στην Ελλάδα βλ. Giuliani (Giuliani 2003). Από τα αρχαιότερα παραδείγματα αφηγηματικής τέχνης θεωρείται ο Κρατήρας των Πολεμιστών (ΕΑΜΑ, αρ. ευρ. Π 1426) από την ομώνυμη Οικία της ακροπόλεως των Μυκηνών (Πλιάτσικα 2021).7_217. Ο Aśvaghoṣa ή Ashvaghosha (80 - 150 μ.Χ.) υπήρξε Ινδός Βουδιστής φιλόσοφος, δραματουργός, ποιητής και ρήτορας, θεωρείται δε ο πρώτος δραματουργός και πατέρας του Σανσκριτικού δράματος. Περιλαμβάνεται μεταξύ των κορυφαίων της Σανσκριτικής δραματουργίας, μαζύ με τον Kalidasa, συνέγραψε δε το έργο Buddhacharita (Πράξεις του Βούδα) όπου αφηγείται την ζωή του διανοητή. Αναφέρεται η ύπαρξη και άλλου δράματος του ιδίου υπό τον τίτλο Sariputra-Prakarana, μη μνημονευόμενου αλλού, του οποίου ευρέθησαν αποσπάσματα στο Turfan (Puri 1993, p. 178, n. 8).7_218. Brancaccio and Liu 2009.7_219. Irwin 1981, p. 633. Αναφέρεται από τον Taddei (Taddei 2015, p. 36). Σχετική παράδοση συναντάται και στην Mathura (πλησίον του συγχρόνου Νέου Δελχί), όπου αναπτύχθηκε σχολή Βουδισμού παράλληλη προς αυτήν της Γανδαρίτιδας (Shumaila, Yu and Xu 2017, p. 202), αν και διαφέρουσα από αυτήν. 7_220. Halliwell 2002.7_221. Kachru 2015.7_222. Kachru 2015, p. 22. Στον πρόλογο του δράματος ακούγεται ο σκηνοθέτης του έργου να λέει απευθυνόμενος στην πρωταγωνίστριά του: ‘το ακροατήριο έχει μαγευτεί από τη μελωδία του τραγουδιού σας, και μοιάζει σαν να ήταν ζωγραφιστό. Τώρα ποιο έργο μπορούμε να παίξουμε για να τους ικανοποιήσει;’.7_223. Brancaccio and Liu 2009.7_224. Brancaccio and Liu 2009.7_225. Βαθμίδα είναι το σχεδόν κατακόρυφο στοιχείο κλίμακας, το οποίο καλύπτει το διάστημα μεταξύ ενός βήματος και του επομένου. Διακοσμημένες βαθμίδες χρησιμοποιήθηκαν εκτενώς στην Ελληνο - Βουδιστική τέχνη της Gandhara, για να σχηματίσουν το βάθρο σε μικρά λατρευτικά ιερά. Χαρακτηριστικά παραδείγματα από το ιερό του Chakhil-i-Ghoundi φυλάσσονται στο Μουσείο Guimet. Η αρχαιολογική έρευνα από την Ιταλική Αρχαιολογική Αποστολή (IsMEO) στο ιερό Butkara αποδεικνύει ότι οι βαθμίδες (stair riser) κατά την εποχή του Ινδο - Ελληνικού βασιλείου διακοσμούνταν συχνά με Βουδιστικές σκηνές, ενώ δεν έλειπαν και τα καθαρώς Ελληνιστικά θέματα θαλασσίων τεράτων κ.ά.7_225a1. Εδώ γίνεται αναφορά στην θεωρία της προσλήψεως - διανοητικής και συναισθηματικής - του καλλιτεχνικού έργου (Rezeptionsästhetik), βλ. Penzel 2020.7_225a2. Galli 2011, pp. 321-323, nn. 83, 84.7_226b1. Morales-Harley 2024 (abstract). Από την άλλη ο Udai Prakash Arora σημειώνει (Udai Prakash Arora 2011, p. 56):Πολλές από τις επικές και πουρανικές ιστορίες φαίνεται να έχουν προέλθει από το ελληνικό απόθεμα. Υπάρχουν μάλιστα αρκετές παρόμοιες ιστορίες. Υπάρχουν συσχετίσεις, για παράδειγμα, μεταξύ των θρύλων Kamsa-Krsna και Κρόνου - Διός, Santanu-Gańgńā και Πηλέως - Θέτιδος, Urvsi-Pururavas και Έρωτος - Ψυχής, Indra-Ahilyaand Διός-Deo {Alkmene?}, Ruru-Pramad. και η Άλκηστις-Αδαμέτις, η Σιχαντίν και ο Ίφις «Αλλαγή φύλου», «Ευάλωτες φτέρνες» του Κρίσνα και του Αχιλλέα, ο Σβαγιαμβάρα του Ντράουπαντι και ο «μνηστήρας της Πηνελόπης», η Μάγια Σίτα και το Είδωλον της Ελένης.51 Στις περισσότερες από αυτές τις περιπτώσεις οι μορφές των μύθων είναι ουσιαστικά οι ίδιες. Για παράδειγμα, ακολουθίες όπως ο γάμος μεταξύ ενός θνητού βασιλιά και της θεάς του νερού, το ταμπού της σιωπής που υπεισέρχεται στην ένωση, η επιστροφή της θεάς του νερού στη φυσική της μορφή όταν σπάσει το ταμπού, συμβαίνουν με τις ίδιες ακολουθίες στο Η ιστορία του Mahabharata του Gangā-Sāntanu και η ελληνική ιστορία του Πηλέως - Θέτιδος, το μοτίβο του Ειδώλου της Ελένης, (η σκιά της Ελένης) όχι η πραγματική, όπως η απαγωγή από τον Πάρη, εισήχθη αργότερα στην αρχική ιστορία. Αν δεν προταθεί κάποιος άλλος βάσιμος λόγος, η θεωρία της ελληνικής επιρροής στις επικές και πουρανικές ιστορίες μετά την εγκατάσταση των Ελλήνων της Βακτρίας στο ινδικό έδαφος είναι πολύ πιθανή. 7_226b2. Το έργο Pancaratram έχει τρείς πράξεις, διαδραματίζεται δε στο ανάκτορο του βασιλέα της Virata, με πρωταγωνιστές τους μυθικούς Panadavas. Το έργο επιφέρει συγκλονιστικές αλλαγές στην ίδια την ιστορία του Bharata. Αλλάζει εντελώς την πορεία του πολέμου της Μαχαμπαράτα, που αποδείχτηκε η κύρια αιτία για την εκκαθάριση ολόκληρου του πληθυσμού της Ινδίας του παρελθόντος. Ο Bhāsa έχει καταργήσει εντελώς αυτόν τον μεγάλο τραγικό πόλεμο και έκανε τον άπληστο και κακόβουλο Duryodhana να συμφωνήσει να δώσει το μισό του βασίλειό του στους πέντε Pandavas... Το έργο Πρεσβεία - The Embassy (Dūtavākyam) αποδίδεται στον (Ψ.-)Bhāsa.7_226b3. Το δραμα Madhyamavyayoga ή "Μέση Νύκτα" είναι ένα σανσκριτικό έργο που αποδίδεται στον Bhāsa, έναν διάσημο σανσκριτικό ποιητή. Δεν υπάρχει συναίνεση σχετικά με το πότε γράφτηκε το έργο και έχει χρονολογηθεί διαφορετικά μεταξύ 5ου αι. π.Χ και 11ου αι. μ.Χ. 7_226b4. Morales-Harley 2024, p. 116, n. 132. Βλ. Aισχύλου Supp. 825 κ.ε. και Ag. 1650 ff., Σοφοκλέους OT 1146 κ.ε. και (Ψ.-)Ευριπίδου Andr. 577 κ.ε., Ευριπίδου Hel. 1628 κ.ε. και IA 309 κ.ε., και ψευδο-Ευριπίδου Rhes 684 κ.ε. & PR 2 (The Five Nights (Pañcarātram)) του (Ψ.-)Bhāsa.7_226b5. Morales-Harley 2024, pp. 128-129. Γιά παραλληλισμούς μεταξύ Αχιλλέως και Arjuna βλ. επίσης Douglas Frame 2015. Ο τελευταίος επισημαίνει την αδράνεια του Arjuna ως ηχώ του ινδοευρωπαϊκού θνητού διδύμου, ο οποίος πεθαίνει και πρέπει να τον επαναφέρει στη ζωή ο αθάνατος αδελφός του, αλλά δεν εκφράζει την ίδια βεβαιότητα για την περίπτωση του Αχιλλέως... 7_226. Free 1981, p. 83, n. 12; Shumaila, Yu and Xu 2017, p. 195, n. 3; Varadpande 1987, pp. 197-198.7_227. Free 1981, p. 84, n. 18; Stoneman 2019, p. 412. 7_228. Free 1981, p. 83, n. 15; Janse 1962, pp. 150-156. Σε ένα από τα παλαιότερα Ινδικά θεατρικά έργα, το Mricchakatika (ή το μικρό κεραμεικό αμαξίδιο), του δευτέρου αι. π.Χ. αναγνωρίζονται δάνεια της Νέας Κωμωδίας του Μενάνδρου. Ελληνιστικές και εν γένει Ελληνο – Ρωμαϊκές επιρροές αναγνωρίζονται επίσης στο θέατρο αλλά και στην μουσική του Βιετνάμ!7_229. Stoneman 2019, p. 412, n. 31. Βλ. επίσης σημ. 6_60. Σημειώνεται ότι ο Keith υπεστήριξε ότι οι θέσεις του Nātya Śāstra μοιάζουν με αυτές της Ποιητικής του Αριστοτέλους, άποψη με την οποία φαίνεται να διαφωνεί ο Stoneman (Stoneman 2019, p. 413; Keith [1924] 2015). 7_229a1. Zin 2015.7_229a2. Satomi Hiyama and Arlt. 2018. Οι κεφαλές φυλάσσονται στο Victoria and Albert Museum (no. IS.44–1994) καθώς και στο Βρετανικό (no. OA 1865.4–12.1).7_229a3. Zin 2015, figs. 1-3, 18.7_230. Σανσκριτικό θέατρο, το οποίο παίζεται στην Kerala και συνιστά μια από τις παλαιότερες θεατρικές παραδόσεις της Ινδίας. Με ιστορία τουλάχιστον δύο χιλιάδων ετών το Kutiyattam αντιπροσωπεύει μια σύνθεση του Σανσκριτικού κλασικισμού και των τοπικών παραδόσεων της Kerala.7_231. Ο μῖμος είναι ένα θεατρικό είδος λαϊκής προελεύσεως και αυτοσχεδιαστικού χαρακτήρα που γεννήθηκε στη Μεγάλη Ελλάδα (Σικελία) τον πέμπτο αι. παράλληλα με τη Σικελική κωμωδία.7_232. Free 1981, p. 85.7_233. Taddei 2006, p. 46. Ο Τήλεφος, ήρωας της Τεγέας και γιος του Ηρακλή και της Αυγής, θεωρείται ο μυθικός ιδρυτής της πόλης της Περγάμου. Η ζωοφόρος Τηλέφεια ξεκινά με την αναπαράσταση του μύθου με το χρησμό του Απόλλωνα προς τον Αλέο, τον πατέρα της Αυγής ότι θα χαθεί από τον εγγονό του και συνεχίζει με τη σκηνή της ετοιμασίας της βάρκας που θα οδηγήσει την Αυγή στις ακτές της Μυσίας. Ακολουθούν σκηνές με τις ίδιες μορφές σε διαφορετικές στάσεις και κινήσεις με την παρεμβολή ενός δέντρου ή ενός κίονα ή ενός λόφου.7_234. Webb 1996, p. 36.7_235. Pavis 2006, σελ. 306; Γακοπούλου 2008; Thumiger 2009; Abel 1963, 2003.7_236. Goodwin 1988, pp. 119, 127.7_236a1. Varadpande 1981, p. 91; Varadpande 1987, pp. 227, 241.7_236a2. Zarrilli 1984, pp. 238-239.7_236a3. Zarrilli 1984.7_237. Goodwin 1998, p. 118.7_238. Ohashi 1999, p. 721. Η συσχέτιση του Mangala με τον Άρη πιθανόν αναπτύχθηκε στους αιώνες μετά την Αλεξανδρινή εκστρατεία και την επαφή με την Ελληνική αστρονομία, μάλιστα δε τα ζωδιακά σύμβολα των δύο σχεδόν ταυτίζονται. Για την συσχέτιση του Skanda με τον Αλέξανδρο και τον Ελληνιστικό παράγοντα βλ. § 10. 2. 2.7_239. Ο Πλάτων στον Ίωνα σημειώνει ότι η ποίηση είναι η τέχνη της θεϊκής μανίας ή εμπνεύσεως. Κατά τον ίδιο λόγω του ότι ο ποιητής κατέχεται από αυτήν την θεϊκή μανία, αντί να κατέχει ο ίδιος ‘τέχνη’ ή ‘γνώση’ του θέματος, δεν μπορεί να εκφράζει την αλήθεια, Plat. Ion 532b-c. Αιώνες πρίν ο Όμηρος δήλωνε ότι τα έργα του οφείλοντο ή χρωστούσαν στην θεία έμπνευση των Μουσών!7_240. Parpola 2005, p. 59. Η θεότης περιγράφεται ως ανηλεής επιδρομέας και κυνηγός. Πιθανώς πρόκειται για τον εικονιζόμενο σε σφραγίδα (VS 1406) την οποία δημοσίευσε ο Marshall (Marshall 1931, p. 222), όπου εμφανίζεται να είναι ενδεδυμένος με φύλλα.7_241. Behrendt 2007, p. 30, cat. nr. 29. Το τεκμήριο φυλάσσεται στο Μητροπολιτικό Μουσείο Τέχνης (Samuel Eilenberg Collection, Bequest of Samuel Eilenberg, Ac. Nr. 2000.284.15).7_242. Bryson 1990, pp. 180-181, n. 17. Τα υφάσματα αυτά εχρησιμοποιούντο ως ένα είδος αυλαίας, χωρισμένης στα τρία, η οποία έπεφτε κάτω από το προσκήνιο μέσω σχισμής στο ξύλινο δάπεδο του λογείου, αποκαλύπτοντας την πρόσοψη της σκηνής. Ο χειρισμός της μπορούσε να γίνεται αθέατα κάτω από το προσκήνιο, καθώς τα μετακιόνια του καλύπτονταν από πίνακες. Παράβαλε το πέτασμα από την Αίγυπτο του τρίτου αι. το οποίο φυλάσσεται στο The Cleveland Museum of Art υπό αρ. CMA.1975.6 (Brancaccio and Liu 2009, n. 55). Το πέτασμα αυτό φέρει εικόνα Σατύρου με Μαινάδα κάτω από αψίδα υποστηριζόμενη από κίονες με Κορινθιακά κιονόκρανα, παρουσιάζοντας εκπληκτική ομοιότητα με την εικονογραφία ζευγαριών που συχνά απεικονίζονται κάτω από τις αψίδες στην Γανδαρίτιδα τέχνη.7_243. Lerner and Kossak 1991, pp. 66-67, cat. nr. 27. 7_244. Smith 1875, p. 1046; Allardyce, N. 1931, pp. 105-106. Το siparium (σίπαρος) ήταν ένα κομμάτι πετάσματος φερόμενο επί πλαισίου, το οποίο ανυψωνόταν έμπροσθεν της σκηνής του θεάτρου (Festus, s.v.; Cic. Prov.Cons. 6; Juv. 8.186) και, αντίθετα με την πρακτική μας, αφαιρείτο όταν ξεκινούσε η παράσταση. O σίπαρος, επομένως, αποκρύπτει τους μίμους μέχρι την έναρξη της παραστάσεως, βλ. Free (Free 1981, p. 85, n. 21).7_244a1. Galli 2011, p. 305.7_244a2. Χαρακτηριστικό είναι άγαλμα της Νηρηίδας ή Αύρας της κλασικής περιόδου από την Επίδαυρο (ΕΑΜΑ 157), αλλά και το επίσης Ελληνικό το οποίο φυλάσσεται στο Μουσείο του Παλατίνου (https://parcocolosseo.it/en/marvels/t...). Σύμφωνα με τον επιμελητή του Μουσείου: ‘το άγαλμα έχει αναγνωρισθεί ως ανήκον στην νύμφη Αύρα - προσωποποιούσα το αεράκι - η οποία σύμφωνα και με τον Νόννο Πανοπολίτη στα Διονυσιακά, προκάλεσε την οργή της Αρτέμιδος’.7_244a3. Galli 2011, p. 310, fig. 13. Πρόσθετες περιπτώσεις απεικονίσεων θεατρικών σκηνών στην Gandhara παραθέτει η Cardell, όπως επί παραδείγματι αυτήν με τον Βούδα στον λουτήρα για πρώτη φορά (V & A Museum, IM.82-1939) κ.ά. (Cardell 2017 [2007], p. 31).7_244a4. Η Αιδώς (ή Pudicitia των Ρωμαίων), συμβόλιζε την γυναικεία ντροπή / σεμνότητα έναντι της ανδρικής ερωτικής υπερβολής, είχε δε προσωποποιηθεί στην ομώνυμη θεότητα, Pi.O.7.44.
ΒΙΒΛΙΟΓΡΑΦΙΑ
https://www.facebook.com/permalink.ph... ΑΝΑΚΑΛΥΨΗ ΔΥΟ ΓΥΨΙΝΩΝ ΚΕΦΑΛΩΝ ΤΟΥ VIDUSAKA ΤΗΣ ΤΕΧΝΗΣ GANDHARA (The Discovery of two Stucco Heads of the Vidūṣaka in Gandharan Art) .. Ο ΕΛΛΗΝ ΜΙΜΟΣ ΣΤΗΝ ΑΣΙΑ ..
https://www.academia.edu/104186055/Vi..., M. 2023. "Vidūṣaka’s Cousins: Comic Theatre Characters on Both Sides of the Erythraean Sea," Bi-Annual Scientific Journal (ISMEO) N.S. 4 (63) – no. 1, pp. 153-182.
https://www.academia.edu/39815449/The... Hiyama, R. Arlt. 2-18. "The Discovery of two Stucco Heads of the Vidūṣaka in Gandharan Art," Art of the Orient 7, ed. J. Malinowski and B. Łakomska, pp. 130-136.
THE GREEK MIMOS - VIDUSAKA IN ASIA
Η ΕΓΚΥΚΛΟΠΑΙΔΙΚΗ ΠΡΑΓΜΑΤΕΙΑ Nāṭya Śāstra ΕΠΙ ΤΩΝ ΠΑΡΑΣΤΑΤΙΚΩΝ ΤΕΧΝΩΝ & Η ΠΟΙΗΤΙΚΗ ΤΟΥ ΑΡΙΣΤΟΤΕΛΟΥΣ
Stoneman, R. 2019.The Greek Experience of India: From Alexander to the Indo-Greeks, Princeton University Press. (p. 413)
https://ia902903.us.archive.org/7/ite..., A. B. 1924. The Sanskrit Drama in its Origin, Development, Theory and Practice; repr. Delhi: Motilal Banarsidass 2015.
https://books.openbookpublishers.com/..., R. 2024. The Embassy, the Ambush, and the Ogre. Greco-Roman Influence in Sanskrit Theater, UK.
ΑΠΟ ΤΗΝ ΣΥΝΟΨΗ ΤΟΥ ΒΙΒΛΙΟΥ Αυτός ο τόμος παρουσιάζει μιάν εμπεριστατωμένη και λεπτομερή εξέταση των ομοιοτήτων ανάμεσα στην σανσκριτική και την ελληνορωμαϊκή λογοτεχνία. Μέσω μιας φιλολογικής και λογοτεχνικής αναλύσεως, ο Morales-Harley διατυπώνει την υπόθεση ότι η ελληνορωμαϊκή λογοτεχνία ήταν γνωστή, κατανοητή και αναπαρήγετο στην Ινδία. Επιπλέον, υποστηρίζει δε ότι οι τεχνικές προσαρμογής του έπους στο θέατρο θα μπορούσαν να συνιστούν ελληνορωμαϊκές επιρροές στην Ινδία και ότι ορισμένα από τα στοιχεία που προσαρμόστηκαν στα λογοτεχνικά μοτίβα (συγκεκριμένα τα θεματίδια της πρεσβείας, της ενέδρας και του τέρατος - όγκρου) θα μπορούσαν να είναι δάνεια των σανσκριτικών συγγραφέων από τον ελληνο - ρωμαϊκό κόσμο.
Το βιβλίο βασίζεται σε μια μεγάλη ποικιλία πηγών, όπως η Ιλιάδα, ο Φοίνικας, ο Ρήσος (του ψευδο - Ευριπίδου) και ο Κύκλωπας (ελληνορωμαϊκός) καθώς και η Μαχαμπαράτα, η Πρεσβεία, οι "Πέντε Νύχτες" (Pancaratram) και η "Μέση Νύκτα" (Madhyamavyayoga){ΣτΜ: Pancaratram is a play in three acts. The incidents of the play take place when the Panadavas are in the court of the king of Virata. It brings shocking changes in the very story of Bharata. It completely changes the course of the Mahabharata war, which proved to be the main cause for liquidating the entire population of India of the yore. Bhasa has totally done away with this great tragic war and made the greedy and villainous Duryodhana agree to give away half of his kingdom to the five Pandavas.}[ΣτΜ: Η "Μέση Νύκτα" ή Madhyamavyayoga είναι ένα σανσκριτικό έργο που αποδίδεται στον Bhāsa, έναν διάσημο σανσκριτικό ποιητή. Δεν υπάρχει συναίνεση σχετικά με το πότε γράφτηκε το έργο και έχει χρονολογηθεί διαφορετικά από το 475 π.Χ. έως τον 11ο αιώνα μ.Χ.]. Το αποτέλεσμα είναι ένα καλά τεκμηριωμένο εγχείρημα που μας παρουσιάζει την δυνατότητα πολιτιστικής ανταλλαγής μεταξύ του ελληνο - ρωμαϊκού κόσμου και της Ινδίας, μια πιθανότητα που, αν και υποθετική, αξίζει να αναγνωρίσουμε.Λόγω της συγκριτικής φύσεώς του, αυτός ο τόμος απευθύνεται τόσον σε Ινδολόγους όσον και σε Κλασικούς, συμπεριλαμβανομένων των μελετητών του Μαχαμπαράτα, των Σανσκριτικών μελετητών του θεάτρου και όσων ενδιαφέρονται για συγκριτική εργασία με την σανσκριτική λογοτεχνία. Προσφέρει μια πρωτότυπη προοπτική στο πεδίο και παρέχει έμπνευση για νέες γραμμές έρευνας.
ΣΕΛ. 2-3: Στα Ομηρικά Έπη το επίκεντρο θα είναι η 'Πρεσβεία προς Αχιλλέα' (ραψωδία 9 της Ιλιάδος), τα 'Δολώνεια' (ή επεισόδιο του Δόλωνος, ραψωδία 10 της Ιλιάδος), και η 'Ἀλκίνου ἀπόλογοι - Κυκλώπεια' (ραψωδία 9 της Οδύσσειας), που αντιστοιχούν, κατά σειράν, στα λογοτεχνικά μοτίβα της πρεσβείας, της ενέδρας και του τέρατος. Αυτά τα τρία βιβλία έχουν προβληθεί από διάφορες προοπτικές μέσα στις τάσεις των λεγόμενων αναλυτικών, ενωτιστών, ερευνητών προφορικής θεωρίας για προφορική μετάδοση των επών καθώς και των νεοαναλυτικών.4Στην Πρεσβεία, οι αναλυτές έχουν δει την παρέμβαση του Φοίνικος ως παρεμβολή για την παραξενιά του όσον αφορά τόσον στις πολιτιστικές αξίες όσο και στις δυικές μορφές, ενώ οι ενωτικοί έχουν βρει κοινό έδαφος για ενσωμάτωση στη λαϊκή ιστορία του μύθου του Μελεάγρου.5 {ΣτΜ: Ο ΦΟΊΝΙΞ Συμμετείχε στη συμφιλιωτική πρεσβεία του Αγαμέμνονα προς τον Αχιλλέα, η οποία είχε ως στόχο τον εξευμενισμό του ήρωα και το καταλάγιασμα του θυμού του ενάντια στον αρχηγό των Ελλήνων, που του είχε πάρει τη Βρισηίδα, με αποτέλεσμα την ολέθρια απόφασή του να αποχωρήσει από τη μάχη ενάντια στους Τρώες. Ο Φοίνικας (βλ. Ιλιάδα Ι, ιδίως 502 κ.εξ.)[2] κάλεσε τον παλιό μαθητή του να αποδεχτεί τη διαμεσολάβηση, σεβόμενος τις Λιτές, τις θεότητες των ικεσιών, ώστε να αρθούν οι συμφορές που είχε επιφέρει η Άτη, η θεότητα της πλάνης και της συμφοράς (που είτε είχε πλήξει απευθείας εκείνον, κατά μια εκδοχή, είτε άλλους γύρω από αυτόν, κατά μια άλλη)}
p. 116Given that avoiding violence on stage is a convention within Greek tragedy (Aeschylus Supp. 825 ff. and Ag. 1650 ff.; Sophocles OT 1146 ff.; and (Ps.-)Euripides Andr. 577 ff., Hel. 1628 ff., IA 309 ff., and Rhes. 684 ff.),132 it could have been borrowed by Sanskrit theater ((Ps.-)Bhāsa PR 2).
Δεδομένου ότι η αποφυγή της βίας επί σκηνής συνιστά μιά σύμβαση της ελληνικής τραγωδίας (Aισχύλου Supp. 825 κ.ε. και Ag. 1650 ff., Σοφοκλέους OT 1146 κ.ε. και (Ψ.-)Ευριπίδου Andr. 577 κ.ε., Ευριπίδου Hel. 1628 κ.ε. και IA 309 κ.ε., και ψευδο-Ευριπίδου Rhes 684 κ.ε.,132 θα μπορούσε αυτή να συνιστά Ελληνικό στοιχείο δάνειο στο σανσκριτικό θέατρο ((Ψ.-)Bhāsa PR 2).
ΣΕΛ. 128-129 Ως παράδειγμα της ελληνο-ινδικής anukaraṇa (ΜΙΜΗΣΕΩΣ), το χαρακτηριστικό εδώ θα ήταν η ελαφρά τροποποίηση του υποδείγματος: ένα ελληνικό κείμενο (Ρήσος του ψευδο-Ευριπίδου) με χρονική προθεσμία (πέντε ρολόγια της νύχτας) που έχει προσαρμοστεί από την χρονική προθεσμία (τρεις ρολόγια της νύχτας) της πηγής (Ιλ. 10) θα 'αντιγραφεί' στο γίνει ινδικό κείμενο (The Five Nights) με μιά χρονική προθεσμία (πέντε νύχτες) η οποία έχει αλλάξει από την χωρική προθεσμία (πέντε χωριά) της πηγής (MBh. 5). {Mahābhārata by Vyāsa}[AM4] (Ambush Motif: θεματίδιο της ενέδρας) Ο θάνατος και η βία επί σκηνής αποφεύγονται σύμφωνα με την δραματική σύμβαση. Σε συμφωνία με την ελληνική δραματική σύμβαση, ο ΡΗΣΟΣ αγνοεί τον θάνατο του Δόλωνος (GA9){Greek Ambush}, καθώς και το σύνολο των θανάτων. Οι θάνατοι στην ελληνική σκηνή είναι άκρως ασυνήθιστοι, το ίδιο και στην ινδική σκηνή, όπως ορίζει ο Nāṭyaś. 18.38.142 Ομοίως, Οι Five Nights επιλέγουν να αγνοήσουν την βία από τον Virāṭa (SA9) {Sanskrit Ambush} καθώς και την επερχόμενη βία του πολέμου. Εδώ, η ελληνική σύμβαση θα μπορούσε να είχε δανειστεί ως ινδικός κανόνας.
p. 129Violence on the Greek stage is avoided at all costs by Aeschylus (524-455 BCE),143 Sophocles (496-405 BCE),144 and (Ps.-)Euripides: in Ag. 1650 ff., there are threats of a fight by “sword [ξίφος]”; in OT 1146 ff. {Oedipus Tyrannus by Sophocles}, of “torturing [αἰκίσῃ]” an old man; in Andr. 577 ff.,{Andromache by Euripides} of “staining with blood [καθαιμάξας]” the head of a king with a scepter; in Hel. 1628 ff. {Helen by Euripides}, of “looking to die [κατθανεῖν ἐρᾶν]”; in IA 309 ff. {Iphigenia at Aulis by Euripides}, also of “staining with blood [καθαιμάξω]” the head of an old man with a scepter; and in Rhes. 684 ff. {Rhesus by Ps.-Euripides}, of a “spear [λόγχην]” going through an enemy. This time, Aeschylus’ The Suppliants seems to be the model.
Η βία στην ελληνική σκηνή αποφεύγεται πάση θυσία από τον Αισχύλο (524-455 π.Χ.),[143] Σοφοκλή (496-405 π.Χ.),[144] και Ψευδο - Ευριπίδη: στον Αγαμέμνονα Ag. 1650 επ., υπάρχουν απειλές μάχης με ξίφος, στον Οιδίποδα Τύραννο OT 1146 κ.ε. αναφορά βασανισμού “αἰκίσῃ” γηραιού άνδρα, στην Ανδρομάχη Andr. 577 κ.ε. του «χρωματισμού με αίμα [καθαιμάξας]» της κεφαλής βασιλέως με σκήπτρο, στην Ελένη Hel. 1628 κ.ε., of “κατθανεῖν ἐρᾶν” ("θέλεις να πεθάνεις"; στην Ιφιγένεια εν Αυλίδι ΙΑ 309 κ.ε., επίσης του «χρώσης με αίμα [καθαιμάξω]» το κεφάλι ενός γηραιού άνδρα με σκήπτρο και στον Ρήσο Rhes. 684 επ., μιάς λόγχης που διαπερνά εχθρό. Αυτήν τη φορά, οι Ικέτιδες του Αισχύλου φαίνεται να αποτελούν το υπόδειγμα.
The Suppliants present a lengthy confrontation between the Chorus and a Herald. There, one finds violent references to “the cutting off a head [ἀποκοπὰ κρατός]” (Supp. 841), the throwing of “punches [παλάμαις]” (Supp. 865), and “the dragging by the hair [ὁλκὴ… πλόκαμον (Supp. 884) and ἀποσπάσας κόμης (Supp. 909)]”. But the precise borrowing would have come from a King who calls out the Herald for his arrogance, which in turn would have become the overconfidence and the haughtiness that Virāṭacriticizes, respectively, in Yudhiṣṭhira and Abhimanyu.οὗτος, τί ποιεῖς; ἐκ ποίου φρονήματοςἀνδρῶν Πελασγῶν τήνδ’ ἀτιμάζεις χθόνα;ἀλλ’ ἦ γυναικῶν ἐς πόλιν δοκεῖς μολεῖν;κάρβανος ὢν δ’ Ἕλλησιν ἐγχλίεις ἄγαν·καὶ πόλλ’ ἁμαρτὼν οὐδὲν ὤρθωσας φρενί.(Supp. 911-915)
Οι Ικέτιδες παρουσιάζουν μια μακρά αντιπαράθεση μεταξύ του Χορού και ενός κήρυκα. Εκεί βρίσκει κανείς βίαιες αναφορές στο "κόψιμο κεφαλιού [ἀποκοπὰ κρατός]" (Supp. 841), στην ρίψη «"μπουνιών [παλάμαις]" (Supp. 865), και «το σύρσιμο από τα μαλλιά [ὁλκὴ… πλόκαμον. (Supp. 884) and ἀποσπάσας κόμης (Supp. 909)]”. Αλλά ο ακριβέστερος δανεισμός θα μπορούσε να εντοπισθεί στην περίπτωση Βασιλέα που εγκαλεί τον κήρυκά του για την αλαζονεία του, θεματίδιο που φαίνεται να παραβάλλεται με αυτό της υπερβολικής αυτοπεποιθήσεως και την υπεροψία του Virāṭa που ασκεί κριτική, αντιστοίχως, στους Yudhiṣṭhira και Abhimanyu...------------------------------------------------------------------------------- https://classics-at.chs.harvard.edu/c... Frame. 2015. "Echoes of the Indo-European Twin Gods in Sanskrit and Greek Epic: Arjuna and Achilles," Classics Journal 12 (1).
https://books.google.gr/books?id=-HeJ..., W. W. 2010. The Greeks in Bactria and India, Cambridge University Press.
https://archive.org/details/ancientin...
Varadpande, M. L. 1981. Ancient Indian And Indo Greek Theatre, New Delhi.
ΤΡΙΑ 'ΒΑΚΤΡΙΑΝΑ' ΑΡΓΥΡΑ ΔΟΧΕΙΑ ΜΕ ΑΝΑΓΛΥΦΕΣ ΠΑΡΑΣΤΑΣΕΙΣ ΑΠΟ ΤΟΝ ΕΥΡΙΠΙΔΗ ..Η
June 29, 2024
'Babylonian' Mathematics of the Seleucid Period
Σύμφωνα και με την συνθετική εργασία του Neugebauer (Mathematische Keilschrift-Texte, MKT) από την παλαιο – Βαβυλωνιακή περίοδο (2000-1600 π.Χ.)62 αλλά και από την νεώτερη της περιόδο των Σελευκιδών (μετά το 300 π.Χ.)63 η αριθμητική και μαθηματική τέχνη είχαν κατακτήσει υψηλά επίπεδα. Όπως προκύπτει από τις πινακίδες σφηνοειδούς οι οποίες έχουν φθάσει στα χέρια μας κατά το πλείστον από παράνομες ανασκαφές, στερούμενες δηλαδή σαφούς αρχαιολογικού πλαισίου, οι Βαβυλώνιοι χρησιμοποιούσαν το εξηκονταδικό θεσιακό σύστημα αριθμήσεως, όμως εστερούντο συμβόλου για το μηδέν, μέχρι τουλάχιστον την περίοδο των Σελευκιδών. Μεταξύ των άλλων οι Βαβυλώνιοι ήταν σε θέση να επιλύουν εξισώσεις πρώτου, δευτέρου ή και ανώτερου βαθμού με έναν ή δύο αγνώστους,64 ενώ ήταν γνώστες διαφόρων ταυτοτήτων αλλά και θεμάτων ορθογωνίου τριγώνου (Πυθαγόρειος κανόνας στην πινακίδα Plimpton 322),65 τραπεζίου, κύκλου κ.ά.66
Πάντως παρ’ όλον τον διαφαινόμενο θαυμασμό του προς τα Βαβυλωνιακά μαθηματικά ο Neugebauer δεν δίστασε να σημειώσει ότι αυτά δεν ξεπέρασαν ποτέ το όριο της προ - επιστημονικής σκέψεως, προσθέτοντας ότι μόνον στους τρείς τελευταίους αιώνες της ιστορίας τους, δηλαδή την περίοδο των Σελευκιδών, ο κλάδος της μαθηματικής αστρονομίας τους κατέστη ισότιμος αυτού των Ελλήνων συγχρόνων τους.67 Μάλιστα ο ίδιος θεωρεί ότι το κέντρο της ‘αρχαίας επιστήμης’ ευρίσκεται στην ‘ελληνιστική’ περίοδο,68 με τον τελευταίο επιθετικό προσδιορισμό ‘ελληνιστική’ εντός εισαγωγικών. Όμως εκτιμά ότι αυτή η ‘μορφή επιστήμης’ προέκυψε από την συγχώνευση των κατακτήσεων και επιτευγμάτων των πολύ παλαιότερων ανατολικών πολιτισμών, για να εξαπλωθεί στην συνέχεια από την Ινδία ως την Δυτική Ευρώπη, κυριαρχώντας – κατά τον ίδιο – έως την εποχή του Νεύτωνος οπότε ανεδύθη η σύγχρονη επιστήμη.
Ανακεφαλαιώνοντας επισημαίνουμε ότι κατά τον Neugebauer ο Ελληνιστικός πολιτισμός οφείλει το περιεχόμενό του στους παλαιούς ανατολικούς πολιτισμούς,69 κατά κύριον λόγο την Μεσοποταμία, υπογραμμίζουμε δε εδώ ότι η αναφορά αυτή δεν φαίνεται να περιορίζεται, έστω, στις θετικές επιστήμες, αλλά μοιάζει να επεκτείνεται σε όλες τις πολιτιστικές εκφάνσεις. Ο Ελληνιστικός πολιτισμός, επίσης, κατά τον ίδιο μελετητή αποκόπτεται από τον ευρύτερο Ελληνικό πολιτισμό, αφού άλλωστε είχε τις δικές του ρίζες στους Ανατολικούς πολιτισμούς, οι οποίοι ήκμασαν χίλια και περισσότερα χρόνια παλαιότερα!70 Περίεργη μας φαίνεται και η αναφορά του στα Ελληνικά / Ελληνιστικά Μαθηματικά ως ‘μορφή επιστήμης’ σε αντιπαραβολή προς την ‘σύγχρονη επιστήμη’ που γεννήθηκε με τον Νεύτωνα! Μήπως θα πρέπει να ξαναγράψουμε την ιστορία θεωρώντας την Αναγέννηση ως επιστροφή όχι στο αρχαίο Ελληνικό πνεύμα αλλά ως αναβίωση του Μεσοποταμιακού πολιτιστικού σχήματος; Η παρατήρησή του ότι σύμφωνα με την παρούσα γνώση μας των Βαβυλωνιακών Μαθηματικών τα τελευταία από πολλές απόψεις συγκρίνονται με τα Μαθηματικά της πρώιμης Αναγεννήσεως71 μας προξενεί κατάπληξη και ερωτηματικά: η αξιωματική γεωμετρία του Ευκλείδου έχει εξαφανιστεί από προσώπου γής, ή δεν είναι άξια αναφοράς και θα πρέπει να αντικατασταθεί από τα Μεσοποταμιακά μαθηματικά; Μήπως θα πρέπει να αλλάξουμε και το εκπαιδευτικό σύστημα, καταργώντας την απόδειξη αλλά και τον λόγο εν γένει, υποκαθιστώντας τα με αναπόδεικτα συνταγολόγια;

Εικόνα 3. Βαβυλωνιακή πινακίδα Plimpton 322 με μαθηματικο περιεχόμενο (https://en.wikipedia.org/wiki/Plimpto...)
6.2 Οικοδομική - Αρχιτεκτονική[2]Η μελέτη των θολωτών Μυκηναϊκών τάφων έχει οδηγήσει ερευνητές να διατυπώσουν την άποψη ότι οι Έλληνες της Εποχής του Χαλκού κατείχαν πρακτικές γνώσεις μαθηματικών καμπυλών όπως η παραβολή,80 ενώ έχει επίσης υποστηριχθεί η από μέρους τους γνώση και χρήση Πυθαγορείων τριάδων, ήτοι τριάδων ακεραίων αριθμών οι οποίοι ικανοποιούσαν τον Πυθαγόρειο κανόνα: a2 = b2 + c2.81
[image error] Σφηνοειδής πινακίδα AO 6484 με μαθηματικό περιεχόμενο (Ορχόη - Uruk, 2ος αι. π.Χ.)[4]
Tablet AO 6484 of the Louvre Museum is a “Seleucid” tablet of about 300 bce (see the image below).[5] According to Raymond Archibald’s “Babylonian Mathematics,”[6] the partial sum of a geometric series is given as (in modern notation, of course):


On the same tablet, a sum of squares is given:

Archibald then wonders if the Babylonians of 30 bce[7] knew the formula

Three Seleucid problem texts are known: VAT 7848, AO 6484 and BM 34568. A colophon in AO 6484 states that it was written by the astrologer-priest Anu-abauter, member of a scribal family descending from the astrologer-priest Sin-leqeunnirmi from Uruk. Anu-aba-uter was active in the early second century [Hunger 1968: 40 #92 and passim]. The colophons of the other two texts are destroyed, but they appear to come from the same scholar-scribes' environment and to be roughly contemporary.[8]
III.2 Anu-aba-uter Sîn-leqi-unninni[9]Samas-etir’s pupil Anu-aba-uter is one of the best-attested scholars from Hellenistic Uruk.Apart from the four astronomical tablets (d, e, g, h) we have already discussed, he wrote seven surviving tablets for his father Anu-belsunu in the late 190s BCE, just after he was writing for Samas-etir; five were written for him in 188 BCE by Anu-uballit son of Ina-qibît-Anu of the Ekur-zekir family (who was presumably a young relative of Samas-etir’s). He also owned or wrote five others, including two copied by his nephew Anu-balassu-iqbi in the 180s and 170s. Over two-thirds of his tablets contain the computational astronomy of Systems A and B; the remainder are incantations, zodiacal calendars, and a collection of mathematical problems. ........ The words encapsulate the traditional interdependence of temple and kingship, through divine support for royalty and royal patronage of temples — still a reality in the Hellenistic period (see Section V).
Outside the cosy family network, however — and, increasingly, within it — Urukean society was ever more Hellenised. Antu-banât’s Ahi’ûtu bridegroom, for instance, went by the name of Antiochus, though his father and son used the familiar Babylonian names Inaqibît-Anu and Anu-balassu-iqbi; their family’s use of Greek names increased generation by generation.44 It is likely (though not provable) that non-cuneiform users were even more {NEXT PAGE} prone to adopting Greek nomenclature. That names and language were a matter of choice can be seen from two building inscriptions of Antiochus Ahi’ûtu’s paternal uncle, who oversaw repairs to Anu’s temple Res in 202 BCE. A cuneiform inscription, found on bricks in the ruins, states in part, ‘Anu-uballit, whose other name is Kephalon, son of Anu-balassuiqbi’ rebuilt this temple ‘for the sake of the life of Antiochus, king of the lands, my lord.’Another brick inscription, from the goddess Inana’s temple Esgal, simply reads ‘Anu-uballit, whose other name is Kephalon’ - either in cuneiform nor Greek but in alphabetic Aramaic!45 [10]
ΣΗΜΕΙΩΣΕΙΣ[1]. Κονιδάρης 2021, σελ. 19.[2]. Κονιδάρης 2021, σελ. 26[4]. https://collections.louvre.fr/en/ark:... [5]. Η ορθή χρονολογία είναι στις αρχές του 2ου αι. π.Χ. βλ. Robson 2007, p. 174. [6]. Archibald 1936.[7]. Λάθος, μάλλον εννοεί 300 BC, που κι αυτό είναι εσφαλμένο διότι η πινακίδα χρονολογείται στον β' αι. π.Χ.![8]. Hoyrup 2018.[9]. Robson 2007, p. 9.[10]. Robson 2007, p. 12.
ΒΙΒΛΙΟΓΡΑΦΙΑhttps://www.jstor.org/stable/225054
Archibald, R. C. 1936. "Babylonian Mathematics," Isis 26 (1), pp. 63-81.
https://faculty.etsu.edu/gardnerr/304.... Babylonia: Algebra (East Tennessee State University)
https://www.jstor.org/stable/40025997..., J. M. 2005. "A New Scheme from Uruk for the Retrograde Arc of Mars," Journal of Cuneiform Studies 57, pp. 129-133.
http://webhotel4.ruc.dk/~jensh/Public..., J. 2018. "On Old Babylonian Mathematical Terminology and itsTransformations in the Mathematics of Later Periods," Ganita Bharati: Bulletin of the Indian Society for History of Mathematics 40 (1), pp. 53-99.
https://www.academia.edu/1261766/Meso..., E. 2007. "Mesopotamian mathematics (page proofs)," in The Mathematics of Egypt, Mesopotamia, China, India and Islam: a Sourcebook, ed. V.J. Katz (ed.), , Princeton University Press 2007, pp. 57–186.
https://www.academia.edu/1756631/Secr..., E. 2007. "Family secrets: astronomy and priesthood in Hellenistic Uruk," Lieux de savoir, 1. Espaces et communautés, ed. C. Jacob, Albin Michel, 2007, p. 440-461 (1-16).
https://myria.math.aegean.gr/elements... Αλεξανδρέως. Στοιχεία, αρχαίο κείμενο και απόδοση στην σύγχρονη Μαθηματική γλώσσα υπό Ν. Ροκοπάνου, Στ. Σακελλάρη και Α. Τσολομύτη, Σάμος 2021-2024.
https://www.sciencedirect.com/science..., C. H. B. 2008. “An alternative to the Pythagorean rule? Reevaluating Problem 1 of cuneiform tablet BM 34 568,” Historia Mathematica 35 (3), pp. 173-189.
p. 183: The first of these contexts is Old Babylonian mathematics, whose import on the practices of Seleucid scribes is shown mainly by the continuity of relevant problem types and the persistence of the use of the Akkadian language. Let us then consider how BM 34 568:1, specifically, might be linked to Old Babylonian mathematics...The second context that deserves consideration is Hellenistic mathematics, for there is a well-attested interaction between Eastern and Western cultural and political elements after the conquests of Alexander the Great. But before we enter into details, a note of caution is necessary. The question of the mutual influence between the Near East and Greece, or between East and West, as it is commonly referred to, has been intensively discussed. The specialized studies focus mainly on two distinct periods, Archaic and Ancient Greece on the one side, and the Seleucid period on the other. Some awareness of the difficulty in dealing historically with matters of cultural interaction betweenEast and West is necessary before we go on to discuss the specific issue of the possible contacts between Hellenistic mathematics and Seleucid scribal practices.I will first consider Ancient Greece, because it reinforces the point to be stated below for the Seleucid period. Until the 1950s, the dominant view, especially among Hellenists, was that Greece had blossomed without any influence from its eastern neighbors. The decipherment, in 1952–1953, of Linear B, the writing of Mycenaean Greece, revealed a culture that can be explained only if we assume that a strong influence from the East had taken place in its formation.This understanding was one of the factors that provided a clearer understanding of the Eastern influence on Greek culture.17 In the history of science, a corresponding opinion implying that only the achievements of the Greeks could {} be considered as science persisted until the last decades of the 20th century. As more insight into cuneiform and other non-European evidence was gained, this view was also emphatically criticized, for example in Pingree [1992].Nevertheless, the question of the mutual influence of East and West is still a very subtle one. To use the words of Walter Burkert, when searching for explanations of cultural phenomena, “the mere statement of influence is unsatisfactory.One has to seek out the kinds of response to cultural influence, the modifications that occurred, including possible progress by misunderstanding” [2004, 5]...t whatever had been the degree of interaction of local and Greek culture it did not affect the temples, which continued to conduct their activities according to longstanding local traditions. This would, in fact, be a reason to discard the possibility of a link from BM 34 568:1 to the Greek mathematical tradition.
https://unesdoc.unesco.org/ark:/48223..., M., C. Doumas. 1991. The Middle and Late Bronze Age (2100-1100 BC) (History of humanity: scientific and cultural development, v. II: From the third millennium to the seventh century B.C.), Unesco.
Κονιδάρης, Δ. 2021. Ιστορία των θετικών τεχνών και επιστημών κατά την αρχαιότητα. Αποσιώπηση και μεροληψία, Αθήνα.
June 19, 2024
ΟΡΕΣΤΕΙΑ

Το Εθνικό Θέατρο συνεργάζεται για πρώτη φορά με τον διεθνώς καταξιωμένο Έλληνα σκηνοθέτη και δάσκαλο Θεόδωρο Τερζόπουλο και παρουσιάζει την Παρασκευή 12 και το Σάββατο 13 Ιουλίου στο Αρχαίο θέατρο της Επιδαύρου, την τριλογία[0] Ορέστεια, στο πλαίσιο του Φεστιβάλ Αθηνών Επιδαύρου. Ένα ανεπανάληπτο πολιτιστικό γεγονός, μια εμβληματική παράσταση διανοητικού και φιλοσοφικού βάθους, που έρχεται να διευρύνει τα όρια της τέχνης.
Για την Ορέστεια
Tο 458 π.Χ., σε μια εποχή βίαιων κοινωνικών και πολιτικών ανατροπών, o Αισχύλος παρουσιάζει στη γιορτή των Διονυσίων την Ορέστεια (Αγαμέμνων, Χοηφόροι, Ευμενίδες), τη μοναδική σωζόμενη τριλογία αρχαίου δράματος και το τελευταίο σωζόμενο έργο του, που συνέταξε δύο μόλις χρόνια πριν από τον θάνατό του, αντανακλώντας[1] πολλές από τις ραγδαίες μεταβολές της εποχής του.
Κεντρικός άξονας της τριλογίας είναι το τραγικό βραχυκύκλωμα του Ορέστη[2] που διαχέεται σε όλα τα πρόσωπα του δράματος και στον χορό μέσα από διαδοχικά στάδια: από την αποσταθεροποίηση στο αδιέξοδο, στην τρέλα. Την κατάσταση αυτή εκμεταλλεύεται η Αθηνά στο τρίτο μέρος της τριλογίας, για να θεσμοθετήσει τη δημοκρατία με τη βία, μέσω μιας αμφιλεγόμενης σύναψης ειρήνης.Στα δύο πρώτα μέρη της τριλογίας, στον Αγαμέμνονα και τις Χοηφόρους, οι δολοφονίες που βάζουν τέλος στις τυραννικές[3] εξουσίες του Αγαμέμνονα και της Κλυταιμνήστρας αποτελούν την κορύφωση μιας νέας περιόδου κρίσης και αποσταθεροποίησης που αντανακλάται στις Ευμενίδες. Οι Ερινύες, οι χθόνιες θεότητες, εκπροσωπώντας τα ένστικτα και τις παρορμήσεις διαφυλάσσουν τη μνήμη. Γνωρίζοντας ότι κάθε διαμάχη με τους θεούς είναι προδιαγεγραμμένη ήττα, εξεγείρονται και απειλούν την ευταξία της πόλης. Ο Ορέστης πρέπει να πληρώσει για να τιμωρηθεί όχι μόνο το έγκλημα, αλλά και η επανάληψή του, και να διατηρηθεί ζωντανή η μνήμη της σύγκρουσης.
Η Αθηνά προσπαθεί με κάθε τίμημα να συνάψει «σύμφωνο ειρήνης» ανάμεσα στους θεούς και τις Ερινύες, προσφέροντας ανταλλάγματα και προνόμια. Για να πετύχει τη συνθηκολόγηση, μεταφέρει τη βία στο πεδίο της γλώσσας. Ο λόγος της εισάγει τη δόλια πειθώ, το ψέμα και την παραπλάνηση στην πολιτική σφαίρα. Οι Ερινύες υποκύπτουν με τη θέλησή τους. Φορώντας τα χαρακτηριστικά πορφυρά ενδύματα των μετοίκων, ανακηρύσσονται σε Ευμενίδες και απομακρύνονται από τον πυρήνα της πόλης. Οδηγούνται στην αφάνεια, στη λήθη, στα έγκατα της γης. Το δημοκρατικό πολίτευμα έχει εγκαθιδρυθεί. Όχι όμως ανώδυνα. Ό,τι είναι ασύμβατο με το νέο καθεστώς – το μέρος του ζωντανού σώματος που συνδέεται με τη μνήμη, τα ένστικτα, τη ζωική ορμή – έχει εξοριστεί. Η νέα τάξη πραγμάτων επιβάλλεται από τους εξουσιαστικούς μηχανισμούς με τρόπο τέτοιο, ώστε αυτές οι ζωτικές δυνάμεις μοιάζει σαν να μην υπήρξαν ποτέ.
Οι Ερινύες συμβιβάζονται και αποδέχονται την κοινωνική θέση των μετοίκων, ωστόσο η εσωτερική δομή τους δεν αλλοιώνεται. Όπως τα φυσικά φαινόμενα που δεν εξαφανίζονται από τη γη, αλλά ακολουθούν μια σπειροειδή πορεία μετουσίωσης, κλιμάκωσης και αποκλιμάκωσης, έτσι μπορούμε να φανταζόμαστε και τις χθόνιες θεότητες να οπισθοχωρούν και να αποσύρονται, για να αναδυθούν εκ νέου, παίρνοντας συνεχώς νέες, απροσδόκητες μορφές.Σκηνοθετικό σημείωμα
Γιατί η Ορέστεια συνεχίζει να ασκεί τρομακτική[5] έλξη; Μια πιθανή απάντηση θα μπορούσε να είναι επειδή στον άνθρωπο υπάρχει η ανάγκη για μια βαθύτερη σχέση με τον Μύθο. Ο μύθος της Ορέστειας είναι επικίνδυνος, ανήκει στον κόσμο του ανοίκειου και του παράξενου, προκαλεί τον τρόμο, επειδή αποκαλύπτει το ατίθασο, το βίαιο και τους νόμους του βάθους που δεν μπορούν να δαμαστούν. Η Κλυταιμνήστρα μας καλεί να σπάσουμε μαζί τον καθρέφτη, για να γεννηθεί από τα θραύσματά του μια νέα εφιαλτική εικόνα, που ωστόσο θα διατηρεί τις σκοτεινές ρίζες του μύθου.
Πρόθεσή μας είναι η μελέτη του βάθους του μύθου της Ορέστειας και η αναζήτηση του απρόβλεπτου, του ασυνήθιστου, του παράδοξου. Τα πρόσωπα προσφέρουν τα σώματά τους στο θυσιαστήριο του ανοίκειου, θέτουν διαρκή ερωτήματα και διλήμματα. Η αισθητική της παράστασης προκύπτει από τη δυναμική σχέση του Σώματος με τον Μύθο, τον Χρόνο και τη Μνήμη. Θέτουμε ξανά το θεμελιώδες οντολογικό ερώτημα «περί τίνος πρόκειται», ένα ερώτημα που δεν επιδέχεται οριστικές απαντήσεις, αλλά διαρκώς μας ενεργοποιεί προς την κατεύθυνση της ολοένα βαθύτερης έρευνας της ρίζας του ήχου, της λέξης, των πολλαπλών διαστάσεων του ανθρώπινου αινίγματος και της ανακατασκευής ενός νέου Μύθου.
Θεόδωρος Τερζόπουλος
ΣΗΜΕΙΩΣΕΙΣ[0]. Ή μήπως τετραλογία, περιλαμβανομένου του έργου Πρωτεύς (Kouliouri 2021, p. 25)
[1]. Λεκτικό σφάλμα.
[2]. Βραχυκύκλωμα?
[3]. τυραννικές???
[4].
[5]. Αγγλισμός.
Ορέστεια Αισχύλου, Από 12.07.2024, ΚΑΛΟΚΑΙΡΙΝΗ ΠΕΡΙΟΔΕΙΑ, <https://www.n-t.gr/el/events/Oresteia... (17 Ιουν. 2024)
Μήτας, Στ. 2020. "Η δικαιοσύνη, επί σκηνής και στην πόλη. Σημείωμα για την Ορέστεια του Αισχύλου," The Art of Crime, <https://theartofcrime.gr/%CE%B7-%CE%B... (17 Ιουνίου 2024).
ΑΙΣΧΥΛΟΥ Ορέστεια, μτφ. Ι. Γρυπάρη, Αθήναι 1911.
https://research-information.bris.ac...., V. 2021. "Conceptions of the Future in Aeschylus' Oresteia" (diss. Univ. of Bristol)... 73 Collard (2002, on 1010) notes that the use of μετοίκοις for the Furies bear both similarities and differences with metics in classical Athens: like metics, the Furies will be sharing house and home, unlike metics they will acquire ‘permanent home’ and ‘permanent and special tokens of worship’. Like metics, the Furies will have a sponsor, Athena. Unlike metics, they do not need a citizen sponsor, as Athena acts as a sponsor, ‘before she urges the citizens jurors to accept them’...The new goddesses refer to the ‘people of Athens’ (ἀστικὸς λεώς, 997), while Athena refers to them as ‘citizens’ (πολίταις, 1113) and to the Awesome Goddesses as ‘settlers’ (μετοίκοις, 1011).73 The blend of the future horizon with the present circumstances turns the future into a future present.
Craig Jendza. 2019. "Comedy and Transgression in Aeschylus’ Oresteia," CAMWS 2019, <https://camws.org/sites/default/files... (17 June 2024)
https://online.ucpress.edu/ca/article... «Ικέτιδες» του Αισχύλου οι Δαναΐδες φεύγουν από τα ξαδέρφια τους και καταφεύγουν στο Άργος. Οι μελετητές έχουν σημειώσει ομοιότητες μεταξύ του Άργους του έργου και της σύγχρονης Αθήνας. Ωστόσο, μια τέτοια αντιστοίχιση έχει γενικά παραβλεφθεί: στις Δαναΐδες αποδίδεται άσυλο με όρους που αντικατοπτρίζουν την αθηναϊκή μετοιϰία των μέσων του 5ου αιώνα, μια διαδικασία που προβλέπει τη μερική ενσωμάτωση των μη πολιτών στη ζωή της πόλεως. Ο Δαναός και οι κόρες του είναι Αργείας καταγωγής και κατοικούν στην πόλη, αλλά δεν καθίστανται πολίτες. Αντίθετα, λαμβάνουν το δικαίωμα μετοιϰεῖν τῆσδε γῆς (609). Ως μέτοικοι διατηρούν τον έλεγχο του προσώπου και της περιουσίας τους και δεν υπόκεινται σε κατάσχεση από άλλον. Δεν τους επιτρέπεται να κατέχουν ακίνητη περιουσία (ἔγϰτησις), αλλά λαμβάνουν καταλύματα χωρίς ενοίκιο. Ο Πελασγός και οι άλλοι Αργείοι πολίτες υπηρετούν ως πολίτες τους αντιπρόσωποι (προστάτης). Η εμφάνιση των Δαναΐδων ως μετοίκων αναδεικνύει τις ομοιότητες μεταξύ του Πελασγού και του προκατόχου του, Άπιος. Και οι δύο ηγέτες βρέθηκαν αντιμέτωποι με βίαιους ξένους που απαιτούσαν να ζήσουν ανάμεσα στους Αργείους και προσπάθησαν να προστατεύσουν την αυτοχθονία και την επικράτεια του Άργους. Ωστόσο, ως ικέτες οι Δαναΐδες (σε αντίθεση με τα φίδια) δεν μπορούν να εκδιωχθούν βίαια. Η λύση του Πελασγού είναι μια απόδοση της μετοιϰίας που εγκρίθηκε από τη συνέλευση των Αργείων. Η ανάδειξη της μετοιϰίας ως επίσημου καθεστώτος στην Αθήνα είναι δύσκολο να χρονολογηθεί. Οι περισσότεροι μελετητές την τοποθετούν μεταξύ των μεταρρυθμίσεων του Κλεισθένη (508/7) και του νόμου περί ιθαγένειας του Περικλή (451/0). Οι «Ικέτιδες» παρέχουν στοιχεία για μια ημερομηνία στην δεκαετία του 460 και λειτουργεί ως μύθος πιστευόμενος ως αληθής που νομιμοποιεί την μετοιϰία, όπως ακριβώς κάνουν οι Ευμενίδες για τον Άρειο Πάγο. Οι «Ικέτιδες» εντάσσονται επίσης καλά στο πλαίσιο της μεταναστεύσεως και της αστικής αναπτύξεως που οδηγεί στο νόμο του Περικλή. Το γεγονός ότι η τριλογία των Δαναΐδων κέρδισε το πρώτο βραβείο μπορεί να οφείλεται στην ενσυναίσθηση των Αθηναίων για το Άργος ως μιας ριψοκίνδυνης πόλεως αφοσιωμένης τόσο στην υπεράσπιση της ταυτότητάς της όσο και στην αναγνώριση των θεϊκών εγκεκριμένων αξιώσεων για καταφύγιο.