Yüce Zerey's Blog, page 9
April 6, 2015
Sahte Kimlikler
Melek (34-Bekar), tekstil sektöründe satış direktörü. Başarıları ile kendinden sık sık söz ettirenlerden. Kartviziti ile kimliği birbirine yakınsadığı için evlenmeye bile fırsat bulamayanlardan.
İcra Kurulu 3.5 saattir toplantıda. Melek’in işten çıkarılıp çıkarılmaması hususunu tartışıyorlar.
Tüm şirket, icra kurulundan çıkacak habere kilitlenmiş durumda. Herkes işi gücü bırakmış; durum tespitine, alternatif sonlu senaryolara, komplo teorilerine odaklanmış durumda. Melek ise tüm alıcılarını kapamış, maillerini temizliyor. Nasılsa, hangi karar çıkarsa çıksın ‘Kısmet’ diyecek.
Konunun temeli 10 sene öncesine, Melek’in şirkete giriş hikayesine dayanıyor.
Melek’in bir arkadaşı, Nalan; 10 sene önce mevcut şirketindeki Satış Operasyon Uzman Yardımcısı pozisyonunu görüyor ve başvuruyor. Bu esnada Melek de mevcut durumundan rahatsız olduğu için Nalan’ın başvurduğu pozisyona içten içe halleniyor. Halleniyor ama dillendiremiyor. Hoş nasıl dillendirsin? Çünkü kendisi 18 yaşından beri başarılı bir manikürcü olarak kariyerini demlemiş durumda. 6 senedir manikürcülük yapan, üniversite mezunu olmayan biri nasıl olur da bu pozisyona hallenir? Ne haddine?
Yaptığı görüşme sonrasında Nalan’a nazikçe teşekkür ediliyor. Melek’in kafasındaki kıymık, sürekli beynini kemiriyor. Bir tarafı ‘Ne haddine?’ derken; bir tarafı ‘Neden olmasın?’ diyor.
Sonunda ‘Neden olmasın?’ın mutlak galibiyetini müteakip Melek de profesyonel müşterilerinden destek alıp, günlerce hazırlanarak ilgili pozisyona başvuruyor. Çok ümitli değil. Ama yine içinde ‘Neden olmasın?’ bünyesini gıdıklıyor.
Tam umudunu kesmişken, görüşmeye çağırılıyor. Heyecandan ölmek üzere. Eskiden insan kaynakları direktörü olan bir müşterisi kendisini görüşmeye aslanlar gibi hazırlıyor.
Melek tüm heyecanına rağmen mülakatta Messi gibi performans gösteriyor. Akabinde ikinci görüşme, üçüncü görüşme derken; kendini teklif sürecinde buluyor.
Kendisine verilen kağıda uzun uzun bakıyor. Hayatı nasıl bu noktaya geldi? Anlayamıyor. Büyü hiç bozulmasın istiyor.
Şaka değil, gerçek. Bir ay sonra kendisinin iş başı yapmasını bekliyorlar.
İşe başlamadan hemen önce istifasını verip, son bir kez bakıyor 6 yıl emek verdiği kuaföre. ‘Artık hiç bir şey eskisi gibi olmayacak.’ diyor kendi kendine.
İşe başlamak için gerekli evrakları toplamaya başlıyor. Evrak aşaması ile birlikte, bu zamana kadar sürecin büyüsüne kapılıp hiç yüzleşmek istemediği acı gerçek ile yüzleşiyor. Üniversite diploması. Mutlaka teslim etmesi gerekiyor. Ancak kendisinin mevcut durumda en fazla meslek lisesi diploması mevcut. ‘Sonra getiririm.’ dese olmaz, kıllanırlar. Çocukluk arkadaşı Sahteci Rasim’den destek istiyor. Rasim, sahte kimlik, diploma, pasaport konularında ülke çapında doçentliğini almış nadir kişilerden. Melek’e karşı çocukluktan kalma hafiften aşık durumları da var. En kralından bir diploma hazırlıyor Melek için. Melek’ten mutlusu yok. Tüm evrakları tamam. Üniversite esnasında yapılan staj evrakları bile var. Hem de en havalısından.
Hiç deneyimi olmamasına rağmen; azmi, tutkusu, çalışkanlığı, insan ilişkileri yetkinliği ve kapasitesi sayesinde her sene terfi alıyor ve şirkette geçirdiği 10 sene içerisinde bir çok başarılara imza atıyor. Şimdi kocaman bir ekibi yönetiyor. Şirketin tüm satışının başında. Ancak an itibariyle İcra Kurulunda kendisinin geleceği tartışılıyor. Peki ama neden?
Her şeyin sorumlusu bir dergi röportajı. Melek, göstermiş olduğu sıra dışı performans ile şirketini hatırı sayılır bir konuma taşıyor. Sektörün öncü dergilerinden biri de bu başarının perde arkasını, Melek’in başarısını anlatmak üzere Melek ile detaylı bir röportaj yapıyor.
Buraya kadar her şey normal. Keyifler gıcır. Ancak Melek’in mahalleden arkadaşı Fatma (aynı zamanda kuaförden iş arkadaşı), kuaförde müşteri yokluğunda dergileri karıştırırken Melek’in röportajı ile karşılaşıyor ve şok oluyor. Çünkü çocukluğunu bildiği, birlikte manikür yaptıkları Melek; başarılı bir iş kadını olmuş, boy boy fotoğraflar veriyor. Fesatlanıyor. Zaten eskiden de çok sevmezdi Melek’i. Dolayısıyla, duruma uyuz olup Melek’i daha yakın incelemeye alıyor.
Sosyal medyada daha aktif oluyor ve sürekli Melek’i trollemeye başlıyor. Kendisini Twitter’da mentionlayarak:
‘Diploman olmadığını; bulunduğun noktaya sahtekarlıkla geldiğini biliyorum.’
‘Eğer iddialarımı kabul edip, gerçeği açıklamazsan, gerçekleri tüm Türkiye ile paylaşırım.’
şeklinde paylaşımlarda bulunuyor. Twitter’ı sadece iş için kullanan Melek, bu cevaplara kayıtsız kalıyor.
Fatma’da bir kaç troll ile anlaşıp; #meleksoncumanınsırrı hashtag’ini trending topic yaptırıyor.
Şirket çalışanlarından birinin adı ve soyadı ile ülke gündemine girmesi şirketi ayaklandırıyor. Herkes bu hashtag altında yazılanları okuyup küçük dilini yutuyor. Sonuç olarak şirket inceleme başlatıyor ve iddiaların gerçek olduğu ortaya çıkıyor. İnceleme sonucu icra kuruluna raporlanıyor. İcra kurulu da Melek’in kaderini konuşmak üzere toplantıya giriyor. Toplantı neredeyse bitmek üzere, herkes heyecanla sonucu beklerken kurul, Melek’i toplantı odasına çağırıyor.
Sekreteryanın heyecanlı bakışları içinde Melek odaya giriyor. Kurul sözcüsü, kendisinin yazılı ifadesinin alınacağını ancak öncesinde sözlü olarak söylemek istediği herhangi bir şey olup olmadığını soruyor. Melek ise: ‘Yaşananlardan dolayı çok üzgünüm. İşim benim hayatım. İşimi, şirketimi çok seviyorum. Takdiriniz ne ise kabulumdur.’ diyor. Akabinde icra kurulu mutabık kalınan kararı açıklıyor.
‘Melek Soncuma, şirket kurallarını ihlal etmiş ve disiplin suçu işlemiştir. Ceza olarak, üç ay süre zarfında şirkette çalışan tüm kadınlara bir kere manikür yapacaktır. Bu kararı kabul etmediği takdirde iş akdi tek taraflı olarak feshedilecektir.’
İşinden başka hayatı olmayan Melek kararı kabul ediyor ve başladığı noktaya geri dönüyor. Tek bir farkla, artık satış direktörü olarak manikür koltuğuna oturuyor.
‘Yıkmak düzeltmekten, yalan söylemek ispatlamaktan daha kolaydır.’ – Arthur Schopenhauer
The post Sahte Kimlikler appeared first on @yucezerey.
Benzer Bir Yazı Bulunmamaktadır.
Pasif İçici Çocukluk
Sarp (35), lojistik sektöründe kariyerli bir risk analisti. Kaporta geniş, motor buhranlı. Melda (32), kozmetik sektöründe satış yönetmeni. Kaporta sevgi kelebeği, motor ise ifade edilememiş beklentiler yumağı.
Sarp ile Melda 5.5 senelik evli. İlk iki seneyi deneme süresi olarak goy goyladıktan sonra ikinci senenin sonunda Pars adında dünya tatlısı bir erkek evlat sahibi oldular. Sarp ile Melda’ya mikrofon uzatıldığında; hayatları renklendi, anlam kazandı. Ancak mikrofon kapandığında iç sesleri; hayatlarının nasıl kısıtlandığından, eskisi gibi gezip tozamamalarından, ilişkilerinin yıprandığından, hayatın sıradanlaştığından dem vuruyor.
Mikrofon Pars’a uzatıldığında ise; iç dış hiç fark ettirmeden yaşının verdiği netlikle ne düşünüyorsa aynen yapıştırıyor:
‘Tam 3 aylıkken, kendi çapımda büyüdüm, derken, evde iş başı yapan ve dilimizi bile (ben de daha dil olmasa bile) anlamayan bakıcı, taze oluşmakta olan özgüvenimi kırdı.’
‘Annemin memesinden adam gibi emmek varken, kendisinin iş yoğunluğundan dolayı; önceden sağılmış sütü buzluktan çıkarıp biberondan içmiş olmak hala yüreğimi acıtıyor.’
‘Gece gazım olduğunda ortalığı yıkıyordum. Bizimkiler yalandan kalkıp, topu birbirlerine atmaya çalışıyorlardı. Top ortada kaldığı için devreye bakıcı giriyordu. Akabinde de gece gaz çıkarma konusu sürece bağlanıp bakıcının görev tanımına eklendi.’
‘Elime sürekli iphone / ipad verip; Pepe, Canım Kardeşim, Niloya, Baby Finger ve bilimum Youtube kanalı manyağı yaptılar beni. Hepsinin tüm bölümlerini defalarca izledim. Kaçıncı saniyede, kimin ne yapacağını, ne diyeceğini biliyorum. Çok sevdiğimi, hep bu cihazları istediğimi zannediyorlar. Ancak kendileri arkadaşları ile bir yere gidip daha rahat vakit geçirmek istediklerinde ya da benimle ilgilenmeye mecalleri olmadığında bu cihazları kaçış enstrümanı olarak kullandıklarının farkındayım. Sadece üzülmesinler diye salağa yatıyorum.’
‘Annem ile babam arkadaşları ile bir program yapmak istediklerinde kendimi zorla davet edilmiş gibi hissediyorum. Ama yine de uslu duruyorum, denileni yapıyorum. Arkadaşlarından puan topluyorum.’
‘Sürekli çocuk gelişimi ile ilgili yalandan kitaplar okuyup arkadaşlarına artistlik yapıyorlar. Ama mevzu benimle oynamaya gelince bunu iş gibi görüp, birbirlerine topu atıyorlar. İhale kime kaldıysa yalandan oynuyor. Bi gözü televizyonda bi gözü telefonunda, benimle oyun oynadığını düşünüp kendince görevini yerine getiriyor. Büyüklük ben de kalsın diye şeklimi bozmuyorum.’
‘Annem gezecek tozacak alış veriş yapacak diye şu genç yaşımda girmediğim havalı marka mağazası kalmadı. Çok sıkılıyorum.’
‘Mamadan sonra adam gibi yemek yapmak zor geldiği için sürekli dışarıdan yemek söylüyoruz ya da AVM’de takılıyoruz. İçim dışım hamburger ve patates kızartması oldu. İşin ironik kısmı beslenmesine ziyadesiyle dikkat eden ebeveynlerim güne granola ile başlıyor.’
‘Babamı hafta içi hemen hemen hiç göremiyorum. Ya işi var. Ya da sosyalleşme atraksiyonları. Vicdan azabı çektiği için hafta sonu kahvaltıdan sonra ayıp olmasın diye beni AVM’deki atari salonundan bozma kapalı oyun parkına götürüyor. Sanki ben kapalı alandaki suni oyunlara hastaymışım gibi. Velev ki hastası olayım, benim hangi oyunla oynamak istediğimden bağımsız, kendi istediği oyunları oynatmaya, kendi istediği aletlere bindirmeye çalışıyor. Yedi jetonluk deneyimden sonra vicdanı rahatlıyor ve gitmek istiyor. Görev tamamlandı. Bir an önce eve gidelim ve beni anneme çaksın. İşine gücüne baksın. Çocuk olmanın ızdırabına yürüyeyim.’
‘Arkadaş çevrelerinde ziyadesiyle popüler olduğu için, bi de para verip oyun gruplarına gidiyoruz. Tanımadığım lavuk lavuk çocuklarla rekabet etmek, onları ezmek zorunda kalıyorum. Sırf ebeveynlerim arkadaşlarına: “Bak bizim oğlan ne kadar kapasiteli alayını dize getirdi.” desinler diye. Oysa ki yine kapalı alanda, istemediğim oyunları, istemediğim adamlarla para karşılığı, annem babam tribünde tezahürat yaparken oynamak isteyip istemediğimi kimse bana sormamışken.’
‘Şehrin en güzel sitelerinden birinde oturuyoruz. Babam, sırf kafası rahat olsun diye eşek yüküyle kira veriyor. Güvenliği sağlam, 8 açık 1 kapalı havuzu var. Farklı yaş grupları için oyun parkları var. Sosyalleşme alanları var. Bakıcım günde bir kere beni dışarı çıkarıyor. Sitenin içinde ezberlediğim oyun parklarında, ezberlediğim deneyimleri aynı çocuklarla deneyimliyorum. Bakıcı görevini yapmış oluyor. Ben güya nefes almış oluyorum. Ama kimse sonsuz bir döngüye girdiğimizin farkında değil. Sürekli aynı kaydıraktan kayıp, aynı salıncaklarda sallanıp, aynı adamlara bulaşmakla hayat mı geçer? Hayat dediğin bu mu? Bilmem. Ebeveynlerim bilir.’
‘Evin içinde tamamen annemin zevkine göre tasarlanmış havalı bir odam ve yine ebeveynlerimin tercihlerine göre, beni ne kadar sevdiklerini göstermek için alınmış milyon tane oyuncağım var. Mümkünse odadan dışarı çıkmamam ve oyuncaklarımı dağıtmamam talep ediliyor. İstediğim oyuncakla, istediğim yerde, istediğim şekilde oynayamayacaksam, hayatın ne anlamı var. Erken yaşta depresyona girdim.’
‘Tahmin edebileceğiniz gibi daha okul çağım gelmemiş olmama rağmen çok pahalı bir okula gidiyorum. Burada da bir sidik yarışı söz konusu. İki İngilizce kelime öğreniyorum. Aksanlı falan. Sonra misafirliklerde cümle içinde kullanıp herkesten aferin alıyorum. Bütün gün okuldayım. Sürekli çizme, boyama, lego yapma, kırmızı başlıklı kızın hikayesini bir de kurtun gözünden yorumlama (sanki filozof olacağız bu yaşta) parkta amuda kalkma vb oyunlar oynuyoruz. Öğretmenlerim de yalandan ilgileniyor gibi gözüküyorlar, kendilerine verilen görevlere check atıyorlar. Ama ne özveri, ne sevgi, ne de samimiyet var. Sonuç olarak ebeveynlerim, sürekli gittiğim okulu ve ne kadar pahalı olduğunu seçkin ortamlarda mutlaka cümle içinde geçiriyorlar. Ne kadar modern ve özgün bir eğitim tarzı olduğundan, kendilerinin ne kadar özverili olduğundan bahsediyorlar. Onlar mutlu olsunlar da sıkıntı yok. Ben de görevimi yapıyorum.’
Sarp ile Melda; kendi deneyimlemiş oldukları ve mesai saatlerinin dışına taşan profesyonel hayatlarının zehirine maruz bıraktıkları 3.5 yaşındaki Pars’ın pasif içici olduğunun ve evlatlarının düşünce dünyasının derinliğinin ne kadar farkındalar bilinmez. Bilinen tek şey, çocuklarına verilebilecekleri en güzel şeyin zamanları olduğudur.
“Eğer bir gün yolunuzu kaybederseniz bir çocuğun gözlerinin içine bakın; çünkü bir çocuğun bir yetişkine öğretebileceği her zaman üç şey vardır: Nedensiz yere mutlu olmak, her zaman meşgul olabilecek bir şey bulmak ve elde etmek istediği şey için var gücüyle dayatmaktır.” – Paulo Coelho
The post Pasif İçici Çocukluk appeared first on @yucezerey.
Benzer Bir Yazı Bulunmamaktadır.
March 28, 2015
Sektöre Veda
Kaya (37), bıçkın ajans başkanı. Eski kulağı kesiklerden. Sektörün illüzyonundan uzak, kendi dinamiklerini yaşayarak hatırı sayılır bir başarı elde etmiş ’gerçek’ bir figür.
Tansu (40), medya sektöründe üst düzey yönetici. Sol şeritte ayağını gaz pedalından çekmeden, genç yaşta yükselmiş, nadir üst düzey yöneticilerden. Demlenmiş hırsların bünyesinde iz bıraktığı, ama buna rağmen nefes almaya çalışan adamlardan.
Kaya ve Tansu’nun ortak geçmişleri çok eskilere dayanmıyor. Ancak bir iş vesilesi ile tanışmalarını müteakip ortak geçirdikleri zaman, nitelik ve nicelik olarak yıllara bedel.
Kaya ve Tansu birbirlerini tanımadan önce, yaşadıkları travmalardan, almış oldukları aile terbiyesinin, görgünün deneyimledikleri yalan konjonktürle uyuşmamasından, gerçekliklerinin kapısına asma kilit vurmuşlardı.
Yıllar sonra birbirlerini buldular. Karşılıklı nefes almaya başladılar. Anlam arayışında acı tatlı bir sürece girerek, birbirlerinin yaralarını kaşıdılar ve hatta kanattılar. Kadrajda kan gözükse bile, yüzlerde ve kalpte, hep derin bir tebessüm oluyor.
Haftanın üç akşamı, gecenin ilerleyen saatlerinde buluşup, sohbet edip, nefes alıyorlar.
Her buluştuklarında mevzu, bir şekilde çalıştıkları sektöre geliyor. Herkes b..klandıktan sonra, ‘Ulan herkes g…t. Biz çok iyiyiz.’ söyleminde final yapılıyor. Büyük kalın harflerle ifade edilen söylemin hemen akabinde vicdan yapılıyor. ‘Hayatımız bu noktaya nasıl geldi? Bu sektörün içinde ne işimiz var? Neyi yanlış yapıyoruz?’ soruları ile sorgulama süreci başlıyor.
Uzun geceler, uzun sohbetleri kovalıyor. Fikirler, cesareti demliyor. Demlenen cesaret, aksiyon aldırıyor.
Kaya ve Tansu; sektörü, profesyonel hayatı bırakıp çok daha basit, hayatın içinde yer alan bir işle uğraşma kararı alıyorlar.
Ancak, ‘Madem bu sektöre yıllarca bu kadar emek verdik. Nam saldık. O zaman çıkışımız da şaşalı olsun.’ diye düşünüyorlar. Sektöre dair son motivasyon ve eforlarını bu vedaya ayırıyorlar.
Sıra dışı bir veda hikayesine baz teşkil edecek bir parti hazırlamak için kolları sıvıyorlar.
Partinin fark yaratabilmesi için mutlaka bir konsepti olması gerekiyor.
Kaya, konsept ve partinin iletişimimi konusuna odaklanırken; Tansu’da parti operasyonuna odaklanıyor.
Parti konsepti; kadın erkek ayrımı yapmadan, kartvizit maskeli ve siyah pelerinli katılımcıların, sektörün acımasız çarklarında yoğurulmuş hazlarının, üzerlerindeki ölü toprağını atmaları ve nefes almaları olarak belirleniyor.
Herkese rassal bir kartvizitten yapılmış maske ve siyah pelerin dağıtılması organize ediliyor.
Partide, kimse kimsenin kim olduğunu bilmeyecek, kimlik paylaşanlar partiden ihraç edilecek.
Parti daveti, sektörün ileri gelen 250 kişisine özgün bir sandıkta gidiyor. Sandığın içinde, toprak ve mezar taşı bulunuyor. Mezar taşında davet edilen kişinin kartvizit bilgileri yazıyor. Mesaj olarak da ‘Bu akşam üzerimizdeki ölü toprağını atmak ve nefes almak için seni de aramızda görmek istiyoruz.’ söylemi yer alıyor.
Sektör adeta çalkalanıyor. Herkes bu davetiyeleri, partiyi konuşuyor. Bir çok insan, Kaya ve Tansu’nun çevresinden tanıdık arayışında. Araya birilerini sokmaya çalışarak kendilerini de davet ettirmeye çalışıyorlar.
250 kişilik partiye 325 kişi LCV yaptırıyor. Herkes pelerin ve maskelerini takarak mekana giriş yapıyor.
Eski bir torna atölyesinden bozma, yüksek tavanlı ferah, post modern bir mekan.
Tansu’nun hakimiyetinde premium shotlar ve içkiler oluk oluk akıyor. Mekanın içerisinde misafirlere özel cigar lounge da bulunuyor.
Her gelen, fesat gözlerle ortalığı süzüyor. ‘Nasıl olur da daha önce biz de bu kadar güzel bir iş yapamadık?’ bakışları atıyorlar.
Herkes birbirini tahmin etmeye çalışıyor. Birbirini goygoyluyor. Birbirine yürümeye çalışıyor.
Saatler gece yarısına yaklaşınca alkol duvarı aşılmaya, tinderlar yanmaya başlıyor, keyifler gıcır.
Saat tam 00.00 olduğunda mekandaki tüm elektrikler kesiliyor.
Ortama, zifiri bir karanlık hakim oluyor. Katılımcıların neredeyse tamamı ‘Süper bir deneyim yaşayacağız’ modunda heyecanlanırken; içlerinde tadında bir yusuflanma da oluyor.
Cep telefonları ile aydınlatılmaya çalışılan mekanda, aniden bağırışlar duyuluyor.
Elektrik kesintisini ile birlikte pelerin ve maskelerini kuşanmış Kaya, Tansu ve sanayiden arkadaşları (Üstüpü Halim, Bijon Recep, Otomatikçi Sebahattin, Buji Tanju, Piç Sinan, Alyan Kemal, İngiliz Hamit, Uzun Gündüz) iki gün önceden ıslattıkları odunlarla birlikte sahaya iniyorlar.
Islak odunu Thor’un çekici gibi kullanmaya alışmış ekip, tüm parti katılımcılarına Allah ne verdiyse dalıyor.
Elleri yara oluncaya, nefesleri kesilinceye kadar, ağızlarından salyalar aka aka vuruyorlar.
Katılımcılar hala olayın tam olarak vehametini anlamış değil. Bazıları hala alkolün de etkisiyle ‘Ne özgün deneyim amk.’ kafasında. Ne zaman kendi ağızlarının ortasına da bir odun geliyor, işte o zaman aydınlanıp, nefes almaya başlıyorlar.
Bağrış, çığırış ve kemik sesleri partinin soundu oluyor.
Katılımcıların önemli bir kısmı son enerjilerini mekanı terk etmek için kullanırken; Kaya, Tansu ve arkadaşları ise yere çömüp çayın demlenmesini bekliyorlar…
‘Sadece her şeyini kaybettikten sonra özgür kalabilirsin!’ cihetiyle hareket eden Kaya ve Tansu, sektöre efsane bir şekilde veda ediyorlar.
Ciğerleri uzun zamandan beri ilk defa, gerçek oksijen gördüğü için, artık nerede olurlarlasa olsunlar, ne yaparlarsa yapsınlar, kuşlar gibi özgürler…
22.03.2015 Tarihinde Radikal’de Yayınlanmıştır
The post Sektöre Veda appeared first on @yucezerey.
Benzer Bir Yazı Bulunmamaktadır.
March 17, 2015
Beşeri Matematik Sunumu
Salça Ekmek
Saat 06.05 – Maslak’ta bir plaza önü.
Önlüğün giyilip, tezgahın açılması ile rutin hazırlıklar başladı.
Dip köşe sabah temizliği yapıldı. Tezgah silindi, paklandı. Temizlik esnasında ocağa su konuldu. Evde akşamdan hazırlanmış kahvaltı malzemeleri çıkarılıp, itina ile dizilmeye başlandı.
Ocakta ısınan suya özel bir formül katılarak taze çay demlendi. Ne de olsa hala çaydan anlayanlar vardı. İşbu anlayanlar sürekli bu formülü merak eder dururlardı.
Ekmekler kesildi, servise hazır hale getirildi. Hazırlık sonrası keyif cigarası yakıldı. Cigaraya altlık olarak demlenen çayın testi yapıldı.
Artık hazırdı. Rıza (48), 13 senedir hatırı sayılır bir plazanın önünde ekmek arası kahvaltı hazırlıyordu.
Hafta içi her sabah 05.00’te kalkar, gerekli hazırlıklarını yapar ve gün ağarmadan yola koyulurdu.
Tezgahını hazır eder etmez arafta kalmış profesyoneller etrafına yavaş yavaş üşüşmeye başlardı.
Neden arafta kalmış profesyoneller?
Çünkü Rıza, granola, müsli, eggs benedict, mokoko bar, mısır gevreği gibi ürünlerden ziyade; yıllardan beri Türk halkının deneyimlediği klasik kahvaltı ürünlerini satıyordu. Üstelik, ürünlerin önemli bir kısmı memleketinden yani Gönen’den gelirken; geri kalan kısmı ise evde eşi tarafından imal ediliyordu.
Günümüzde organik kavramını gözümüze sokanlardan ziyade; ürünleri tadan anlar, beğenir. Beğenip, anlayan adam anlatır, yeni müşteri getirir gözüyle bakıyor, naif duruşunu bozmuyordu.
Bekleneceği üzere, tezgahın kıçına başına organik yazma yalamalığına da girmiyordu. Rıza’nın ürün gamını her profesyonel kaldıramazdı. Elinde ırgat gibi ekmek arası salça ile plazaya girmek her babayiğidin harcı değildi. İşbu nedenlerden dolayı; geçmişi ile bugünü ve geleceği arasında arafta tost olmuş profesyoneller Rıza’nın müdavimleri idi. Çocukluklarında elinde salçalı ekmek ile sokakta oynamış, adam gibi kahvaltıya inanan profesyoneller.
Rıza, her gelen müşterisi ile yakından ilgilenir. Müşterinin kim olduğunu, travmalarını, nerede çalıştığını, hangi pozisyonda olduğunu, organizasyonda sağı-solu-altını, mevcut sıkıntılarını, gelecek planlarını, neredeyse herşeyini bilir. Bildiklerini hiç kimseyle paylaşmaz, asla dedikodu yapmaz. Ama gerektiğinde çok değerli yorumlar yapar, katma değerli tavsiyelerde bulunur. Bir çok müşterisi, kahvaltı almaktan ziyade, çayını yudumlarken Rıza’dan danışmanlık alma niyetiyle gelir tezgahın başına. Kimi lanse edeceği ürün tutar mı diye sorar. Kimi yayınlanmamış reklam filmi ile ilgili görüş alır. Kimi ekonomiyi sorar. Kimi de hayatta aradığını insanı nasıl bulanacağını…
Rıza’nın yorumları, olaylara sistematik yaklaşımı, ara ara jargon kullanması müşteri zaman zaman kıllandırmasına rağmen Rıza hakkında çok az bilinen değişken olduğu için bu süreç kıllanma seviyesinde kalır.
Düzenli müşterilerin arasında, önünde durduğu plazanın 4 katını kaplayan çok prestijli bir şirketin CEO’su Tarık da bulunuyor.
Tarık’ı kahvaltı sırasında görenler şaşkınlıklarını gizleyemiyorlar ve genelde ‘Artislik olsun diye geliyo lavuk. Halka indik, halkı anladık, mütevaziyiz’ mesajı veriyor diye düşünüyorlar. Ancak Tarık, Rıza’nın işinin görece tenha olduğu saatlerde Rıza ile epey nitelikli vakit geçiriyor…
Tarık’ın bu ilgisini çözen bir sürü çakma profesyonel, normalde burun çevireceği tezgahta kahvaltı olayının müptelası gibi davranıyor ve sürekli Rıza’yı zarflayarak ağızından Tarık hakkında tüyo almaya çalışıyor. Ama nafile. Rıza, bu genç çakma profesyonellerin güttüğü koyun kadar çobana yürümüş olduğu için malzeme vermiyor.
Günlerden bir gün, Rıza tam tezgahı toplamaya hazırlanırken plazadan kravatı sağa sola salınarak birinin kendisine ‘Rıza Abi… Rıza Abi…’ diyerek koştuğunu görüyor. ’Gel delikanlı önce iki rekat soluklan. Hayır olsun.’ diyerek cigarasını yakıyor ve dikkatlice dinlemeye başlıyor. Plazadaki prestijli şirketin genel müdür yardımcısı kendisini şirkete davet ediyor. Bu zamana kadar Tarık bile davet etmemişken GMY neden davet ediyor ki? Ayrıca Tarık’ın olan bitenden haberi var mı? gibi sorularla cigarayı bitirmeden kırıp, güvenlik görevlisine tezgaha göz kulak ol bakışı atıp yollanıyor.
Rıza’nın şirkete girdiğini gören tüm çalışanlar ilk tepki olarak sallamıyorlar. Sadece akıllarından ‘Bu adam sipariş getiriyor muydu ya?’ sorusu geçerken Rıza’yı şeffaf toplantı odasında GMY ile birlikte konuşurken görenlerde mavi ekran çıkıyor.
GMY direkt konuya giriyor:
‘Rıza Bey, Tarık Bey maalesef yatak döşek hasta ve iki hafta işe gelemeyecek. Bizim de önümüzdeki hafta yabancı yatırımcılarımıza yapmamız gereken çok kritik bir sunum var. Kendisi ile konuştuğumuzda, anlamadığım bir şekilde, bize sunumla ilgili sizin yardımcı olabileceğinizi söyledi. Yanlış anlamayın bu cümleleri bir kurmakta zorlanıyorum. Nasıl yardımcı olabileceğinizi anlamıyorum? Ama Tarık Bey’in talebi doğrultusunda bu görüşmeyi organize ettim ve yardımcı olmanızı rica ediyorum.’
Rıza ise:
‘Tarık Bey’in benim hayatımda özel bir yeri var. Eğer kendisi böyle bir talepte bulunmuşsa başım üstüne. Müsade edin bir tezgahı kapatıp geleyim. Çalışmalara başlayalım.’
Diyerek, aşağı iniyor tezgahı topluyor, önlüğü çıkarıyor ve yıllar önce tövbe ettiği profesyonel toplantı ortamlarına bir kaç günlüğüne de olsa geri dönüyor. Ne için? Yıllar önce çok uluslu bir şirkette birlikte müdür, direktör olarak cansiparane çalıştıkları, birbirini kolladıkları çalışma arkadaşının hatrı için…
Rıza bir zamanlar; işkolik, hırslı ve her daim kazanan profesyonellerdendi. Okulu erken bitirdi. En prestijli yerlerde stajlar yaptı. Çok başarılı kupon bir kariyer yaptı. Hem şirket içinde hem de sektörde çok saygı duyulan bir profesyoneldi. Çalıştığı şirketlerde departman bağımsız herkesin danıştığı değerli bir çalışandı.
Rutin bir iş seyahati esnasında eşinden acil bir telefon aldı. Kızı ciddi bir şekilde hasta idi. Rıza ailesine çok fazla vakit ayıramayan biriydi. Karısı acil gelmesini talep etti. Rıza’da kendisinin Uzak Doğu’da olduğunu hatırlattı ve hastaneye götürüp ne gerekiyorsa yapılmasını istedi. Ama olan oldu. Kızı bu ateşi kaldıramadı ve vefat etti. Uçak organizasyonunu da adam gibi yapamayan Rıza, kızının cenazesine bile yetişemedi. Döner dönmez, kızının mezarına bir ziyaretçi gibi gitti.
O yürek dağlayan ziyaret esnasında profesyonel hayata tövbe etti. Yasını tuttuktan, karısının da kendisini suçlayarak boşamasından sonra, alın teri ile daha gerçek bir iş yapıp ekmeğini kazanmaya yemin etti.
İşte memleketimin çakma profesyonelinin her sabah salça ekmek satıyor diye makaraya aldığı, CEOların hala danışmanlık talep ettiği Rıza’nın anti-profesyonel hikayesiydi bu…
15.03.2015 Tarihinde Radikal’de Yayınlanmıştır.
The post Salça Ekmek appeared first on @yucezerey.
Benzer Bir Yazı Bulunmamaktadır.
March 8, 2015
Hayatının Lansmanı
Serkan (27) kıdemli pazarlama uzmanı. ‘İşi ver, unut!’ adamlarından. Orta sahada gereksiz röveşata çekmeyip her daim takım oyunu ile kazanmayı hedefleyen joker oyuncu.
Rıfat (34) pazarlama müdürü. Süslü akademik ve iş hayatı başarılarla dolu. Sonuca ulaşmak için her yolu mübah gören, damarlarında kan yerine başarı hırsı dolaşan profesyonel yönetici.
Serkan, iki senedir Rıfat’a bağlı çalışıyor. Tabi çalışmak denilebilirse. Rıfat yöneticilikte olduğu kadar ‘mobbing’ konusunda da ziyadesiyle profesyonel.
Kesiştikleri her alanda (toplantılarda, email, whatsapp, aktiviteler, tuvalet, yemekhane vb.) Allah ne verdiyse, etrafta insan var mı yok mu demeden, Serkan’a dalıyor. Etrafa malzeme vermeden kimseyi uyandırmadan tilki bayıltması ’mobbing’ i yapıyor:
‘Daha önce yapmış olduğum yorumları dikkate almamışsın ama yine de çok başarılı tebrik ederim.’
‘Üç boyutlu origami ile eşek yapma konusunu ne yaptık? Bir türlü statü alamadım da ondan soruyorum yanlış anlama!’
’Toplantı için bana da davetiye gönderdin mi? Herkesi gördüm kendimi göremedim de. Yanlış baktım herhalde. Neyse sıkıntı yok.’
‘Hala rakiplerimizin çok gerisindeyiz. Oysa ki planladıklarımızı doğru düzgün hayata geçirseydik hayatımız bu noktaya gelmeyecekti.’
‘Sunum yaparken hala çok heyecanlanıyorsun. O kadar prova yapıyoruz ama yine de sunumda patlıyorsun. Rahat bırak kendini. İyiliğini istediğim için söylüyorum.’
‘Maalesef bu tip işleri yapmayan bi ebem kaldı. Artık gerçekten fark yaratmamız gerekiyor. Burada da sana çok iş düşüyor. Otur adam gibi fark yaratacak işler bul!’
‘Güzel bir eğitim almışsın, güzel işler yapmışsın ama hala öğrenmen gereken çok şey var.’
‘Bu saatte çıkacaksan neden memur olmadın?
gibi söylemleri müteakip gerçekleşen hal ve tavırlar sonucuna filmin son sahnesinde Serkan balataları sıyırdı.
Zamanının neredeyse tamamı, milleti uyandırmadan, Rıfat’tan nasıl kurtulacağına odaklanarak geçmeye başladı.
Büyük bir kampanya lansmanına hazırlanıyorlardı. Kolayca tahmin edileceği üzere, Rıfat ortalığın anasını ağlatıyor; her şeyi defalarca kontrol ediyor, ettiriyordu.
Her zaman ki rutin psikopat kontrollerden sonra nihayet her şey mükemmeldi.
Akşam prime time da yayınlanacak olan reklam filmiyle kampanya başlayacaktı.
Tüm nefesler tutuldu. Film eş zamanlı olarak tüm kanallarda yayınlanmaya başladı. Kimsenin ifade edemediği ama hissettiği ters giden bir şey vardı.
Yayınlanan kopya ile orijinal onaylı kopya aynı değildi.
Filmin packshotından önce çok kısa süre gözüküp kaybolan, izleyicinin anlayamadığı ama rahatsız olduğu bir sahne vardı.
Hemen sosyal medya da konuşmalar başladı.
Film, yavaşlatılarak o sahne dondurulduğunda, alevli bir sevişme sahnesi zor da olsa seçilebiliyordu.
Haberin yayılması ile birlikte sosyal medya adeta yıkıldı.
Koskoca bir marka nasıl böyle bir hata yapabilirdi? Kanallar bunu nasıl fark etmemişti?
Rıfat, ağızından salyalar çıkararak sağa sola söverken kendisinin Twitter hesabından aşağıdaki tweet yayınlandı:
‘İlgi alanlarımı yayınlamaktan korkmayan bir markanın mensubu olduğum için gurur duyuyorum.’
Rıfat bu tweeti gördüğünde sandalyesinden düştü. Tüm bunlar nasıl olabilirdi? Hesabına erişemiyordu şifresi değiştirilmişti.
Konu sosyal medyada olduğu kadar şirket içerisinde de çok hızlı yayılmıştı. İşin ilginç yanı kimse Rıfat’a sahip çıkmaya tenezzül bile etmiyordu.
Tüm bu diyaloglar yavaş yavaş haber bültenlerine taşınırken Rıfat’ın hesabından bir link paylaşıldı. Link Rıfat’ın websitesinde girilmiş bir yazıya aitti. (rıfatsatafat.com) Halbuki Rıfat’ın bir web sitesi yoktu. En azından öyle biliyordu. Paylaşılan yazı ve sitenin diğer tüm içeriği pornografik görüntülerden oluşuyordu. Bu görüntülerin içinde Rıfat’ın da dahil olduğu photoshoplu görüntüler de vardı.
Bu paylaşımlardan sonra Google’da Rıfat Şatafat diye aramalar yapılınca ilginç sonuçlar ortaya çıkmaya devam etti. Çıkan sonuçların önemli bir kısmı pornografik içerikti.
Wikipedia’da Rıfat’ı anlatan makalede sapkın tavırları, zaafları, psikopat eylemlerinden detaylı bir şekilde bahsediliyordu.
Rıfat ile ilgili capsler, vine videoları adeta sosyal medyayı sallıyordu. Malzeme bol, konu taze olunca; içerikler büyük bir keyifle paylaşılıyordu.
Rıfat Şatafat diyalogları dünya çapında trending topic olmuştu.
Tüm bu yaşananlar sonucunda; hayatındaki tek gerçek olan ve her adımını muntazam bir planla deneyimlediği, işinden kovuldu.
Uzun bir süre insan içine çıkamadı.
Lansman peşinde koşarken kendisi lansman oldu.
Mahkeme kararıyla ismini değiştirdi ve yeni kimliği ile hayatını bu noktaya getiren/lerden intikam alacağı günü sabırsızlıkla bekliyor.
Tüm bu operasyonu Serkan mı yaptı? Bilinmez…
Serkan da olaydan altı ay sonra şirketten ayrıldı.
Dikey bir e-ticaret işi kurdu. Çalışanlarına saygılı, başarılı, huzurlu ve mutlu bir girişimci olarak hayatına devam ediyor.
“Şu dünyada üç beş günlük ömrün var,
Nedir bu dükkanlar, bu konaklar?
Ev mi dayanır, bu sel yatağına?
Bu rüzgarlı yerde mum mu yanar?”
Ömer Hayyam
The post Hayatının Lansmanı appeared first on @yucezerey.
Benzer Bir Yazı Bulunmamaktadır.
March 1, 2015
Kanayan İlişkiler
Çağatay (34), hatırı sayılır bir bankada portföy yönetmeni. Okuma bilip, yazmaya tenezzül etmeyenlerden. Hayatı, insanları, olayları sürekli fetiş derecesinde gözlemleyip, yorumlarını kendine saklayan; asosyal taşra delikanlısı.
Yeliz (29), ilaç sektörüne odaklanmış bir etkinlik ajansında müşteri temsilcisi. Hayat enerjisi gözlerinden taşan, anı yaşayan, iflah olmaz iyimser bir cadde kızı.
Çağatay ile Yeliz yaklaşık 3 senedir beraberler. Niyetleri olmasına rağmen, ‘Adını Sen Koy’ diyemedikleri evlilik müessesinin bürokratik çarklarından uzak, birlikte yaşıyorlar. Niyete rağmen adının koyulamamasının en büyük nedeni birbirlerine karşı tarif edemedikleri bir güvensizlik durumu. Bu durum ‘Beni aldatıyor mu?’ dan ziyade ‘Bilmediğim gizli yönleri var.’ kıllanması.
İşin ilginç yanı taraflar çok da haksız değil. Çünkü ikisinin de sanal ortamda paralel evrenleri mevcut.
Çağatay, Sarp Sarper adında detaylı bir alternatif kimlikle sanal ortamlarda salınırken; Yeliz’de Buse Tan adında bir kimlikle sanal ortamlarda raks ediyor.
Birbirlerinden gizledikleri ayrı kontörlü hatları ve alternatif telefonları bile mevcut. Whatsapp yazışmaları, Tinder oynaşmaları alternatif sosyal medya kimlikleri ile bu telefonlar üzerinden yönetiliyor. İkisi de bunu birbirinden profesyonelce gizliyor. Ellerinde somut malzeme yok. Ancak birbirlerinden kıllanıyorlar, işbu kıllanma da ilişkiyi sürekli pasif agresif kilitliyor.
Neden böyle paralel evrenlere ihtiyaç duyuyorlar?
Cevabı çok basit. 3 senedir birlikte yaşamalarına ve ziyadesiyle zaman geçirmelerine rağmen; gerçek manada hiç konuşmuyorlar.
Konuştukları; kendi söylemleri, düşünceleri değil. Konuşma esnasında iç seslerinden alternatif kakafoniler yükseliyor.
Mümkün olduğunca tartışma çıkartabilecek potansiyel konuların kıyısında köşesinde dolaşıyorlar.
Yeliz yüksek sesle konuşmaya daha eğilimli olsa da Çağatay’ın içe dönük ve tepkisiz ruh emici tarzı potansiyel tartışma ortamlarını ortadan kaldırıyor. Her daim karşılıklı pasif agresif peşrev çekiliyor.
Neden ayrılmıyorlar?
Ailelerinden getirdikleri travmalarla demlenmiş, hayatta risk alamama, belirsizlikten kaçınma karakteristikleri üzerine ‘alıştığın ve bildiğin mutsuz durumu bilmediğin alternatif potansiyel iyi bir duruma tercih etme’ motivasyonu cila atıyor.
Sonuç olarak canları acısa da yüksek sesle ayrılmayı telaffuz edemiyor ve paralel evrenlerde nefes arıyorlar.
Sabah 07.15. Çağatay, üzerindeki uyku mahmurluğu ve alternatif telefonu ile birlikte tuvalette. Yeliz ise yine bir etkinlik için şehir dışında.
Çağatay, sosyal medyada ne var ne yok gezinirken kendisine Facebook üzerinden hoş bir kızdan arkadaşlık teklifi geldiğini görüyor.
Hoş, çünkü her zaman olduğu gibi teklifi görür görmez profil fotoğraflarına bakıp teklifi değerlendiriyor. Hoş bir kız olduğu için de hemen teklifi kabul ediyor.
Arkadaş olur olmaz profili detaylı bir şekilde incelediğinde (Tüm fotoğraflar, ilgi alanları, geçmiş postları vs) kız epey ilgisini çekiyor. Çıkıp, hazırlanıyor ve işe doğru yollanıyor.
Yolda hala aklında O kız. Adete kıymık gibi beynini kemiriyor. Tekrar tekrar bakıyor. ‘Saçmalama’ diyor kendi kendine. Ama saçmalıyor.
İşe geldiğinde onca işinin gücünün arasında kız hakkında diğer platformlarda da araştırma yapmak istiyor ancak çok fazla veriye ulaşamıyor.
En sonunda dayanamıyor, kıza hoş ve ilgi çekici bir mesaj atıyor. Akabinde acılı bir bekleme süreci başlıyor. Sürekli eli telefonda. İş, güç, öğle tatili yalan oluyor. Ancak hala bir cevap yok. ‘Acaba bozuldu mu?’ diyor içinden ama ‘Bozulacak ne var arkadaşlık teklifi zaten O’ndan gelmişti ben de naif bir mesaj yazdım.’ diyor ve kendini teselli etmeye çalışıyor.
Tam kafasından bunlar geçerken mesaj geliyor. Hiç bekletmeden açıyor. Egosunu okşayan keyifli bir cevap ile karşılaşıyor ve ‘Oldu bu iş!’ diyor.
Mesajlaşmalar tüm hızı ve tutkusuyla devam ederken, telefonlar alıp veriliyor ve yazışmaya whatsapp’ten devam ediyorlar.
İkisinin de birbirinin sesini duymaya cesareti olmamasına rağmen daha ileri gidip randevulaşıyorlar.
Buluşma için, Moda’da küçük ve sote bir kafeye önce Çağatay geliyor. Gergin olduğu için sürekli telefonu ile oynuyor. Ancak, ne gelen var ne giden…
Buluşma saati, on dakika geçiyor. Çağatay kesin ekildiğini düşünürken üç beş kişinin olduğu kafenin kapısı açılıyor ve içeriye Yeliz giriyor.
Çağatay’ın nutku tutuluyor, kocaman bir fil adeta göğüsüne oturuyor, dili damağı kuruyor. ‘Sıçtık…’ diyor.
Uzağı iyi göremeyen Yeliz ise biraz daha yaklaşınca Çağatay’ı seçiyor ve Yeliz de benzer bir metabolik dalgalanma sürecinden geçiyor.
İkisi de birbirine bakakalmışken, Yeliz: ‘Hayırdır? Senin bankada olmadan gerek miyor mu? Ne işin var burada?’ diyor. ‘Aynı soruyu ben de sana soracaktım.’ diyor Çağatay.
İkisi de durumu bastırmaya çalışırken ilk defa gerçek manada tartışmaya başlıyorlar. Tartışma öyle şiddetli bir seviyeye geliyor ki; kafedekilerin şaşkın bakışları altında sinirlerine hakim olamayarak verdikleri malzemeler sonrasında sırayla işin rengi ortaya çıkıyor.
Söyleyebilecek tek bir kelime bile bulamıyorlar.
Sonuç olarak; uzun zamandan beri paralel evrenlerinde ‘nefes’ diye aradıkları ideal kişinin yine birbirleri olduğu ironisi ile yüzleşmeye çalışırken; gerçek anlamda konuşabildiklerinde aslında birbirlerine ne kadar uygun olduklarını fark ediyorlar ve her suskunluğun ilişkilerde bir iç kanaması olduğu gerçeğini hazmediyorlar.
01.03.2015 Tarihinde Radikal’de Yayınlanmıştır
The post Kanayan İlişkiler appeared first on @yucezerey.
Benzer Yazılar:
Online İlişkiler Offline İlişkileri Nasıl Etkiliyor?
Diğer Operatörleri Onure Eden Vodafone Reklamı
February 27, 2015
Beşeri Matematik
Matematik, insanlık tarihinin kadim dostu. Evrensel dil, ortak payda. İçine doğduğumuz karmaşık sistemleri, ilişkileri, hayatı anlama ve anlamlandırma aracı.
Matematik, görünüş olarak; ukala, mesafeli, çekinilen bir disiplin iken; kendisi ile samimi olunduğunda, hayatı anlamlandırma sürecinde farklı bir bakış açısı getiren, katma değer sağlayan bir dosttur.
Birey, toplum, ilişki, çatışma, motivasyon ve dinamikleri matematik lensi ile bakıldığında kolaylıkla açıklanabiliyor.
Bireyin hayat seyrindeki matematik ile olan ilişkisi Beşeri Matematik’i tanımlıyor.
Beşeri Matematik denkleminde her şey, bireyin fonksiyonunun yazılması ile başlıyor.
Genel birey fonksiyonu:
yukarıdaki gibi şekillenirken bu fonksiyonda yer alan değişkenler aşağıdaki küme setlerinden oluşuyor.
Birey, hayat boyu bu fonksiyonda yer alan değişkenlerin dengesi ile uğraşıyor. Doğuştan bir küme baskın olarak gelse bile, hayat boyu bu merkezleri dengelemek gerekiyor. Aksi takdirde, mutsuz, sağlıksız hayatta anlam bulamayan bireyler ortaya çıkıyor.
Bu kümeleri baz alarak motivasyonlar şekilleniyor, şekillenen motivasyonlara ve toplum normlarına göre aksiyonlar ortaya çıkıyor. Bazı aksiyonların sadece bireyi etkisi olurken, bazı aksiyonların sonucunda diğer bireylerle etkileşim gerçekleşiyor. Bu etkileşimler sonucunda da ilişkiler, çatışmalar ortaya çıkıyor.
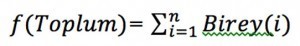
Birey fonksiyonunu baz alıp toplum fonksiyonunu yazdığımızda ise,
genel toplum fonksiyonunun başlangıç olarak bireysel fonksiyonların toplamından türediğini görüyoruz.
Ancak toplum fonksiyonu bireylerin etkileşimleri ve dış faktörlerden de etkilenerek daha kompleks, ancak birey gibi davranan makro bir fonksiyon halini alıyor.
Her birey, optimum kalp, akıl, beden dengesini bulabilmek için kendine özgü bir fonksiyon oluşturuyor.
Genel olarak daha sağlıklı bireyler, fonksiyonlarını
formatında oluştururken. Hayatta bir sabiti olmayan, duruma göre şekillenen dolayısıyla da her rüzgarda savrulan, görece mutsuz bireyler de aşağıdaki formata göre fonksiyonlarını şekillendiriyor.
Sabit kavramı birey için hayatta varlığını hissettiği referans noktası oluyor. Neyin illüzyon neyin gerçek olduğunu anlamasını sağlıyor. Dalgalanma ve sapmalarda yolunu bulmasına destek oluyor.
Bazı bireyler için aile kavramı sabit iken, bazı bireyler için inanç sistemi, bazıları için de kariyeri olabiliyor.
Değişkenler ise bireyin hayatının merkezinde olmamasına rağmen hayatını şekillendiren, hayatına yön veren unsurlar. Hayatını sadece değişkenlerle tanımlayan bireyler, değişikliklere hızlı adapte olup, hayatı güzel, keyifli yaşarken içten içe her daim kendilerini kemiren sinsi bir depresyona maruz kalıyorlar.
Bir çok kavram bireylerin değişken setine girebiliyor: “Aile, kariyer, aşk, tutkular, hobiler, rol modeler, vb.”
Sonuç olarak bireyin, tanımlanan tüm bu fonksiyonlardan bağımsız, insanoğlunun hayat sürecinde sağlıklı bir seyir izleyebilmesi için; anlamlı düzeyde farkındalığa sahip olması gerekiyor. Bu farkındalık sayesinde beşeri matematiğine dolayısıyla, değişkenlerine, sabitine hakim oluyor ve daha sağlıklı ve kaliteli bir hayat yaşıyor.
22.02.2015 Tarihinde Radikal’de Yayınlanmıştır.
The post Beşeri Matematik appeared first on @yucezerey.
Benzer Yazılar:
Pikaçu Quotes
February 15, 2015
#SonSahne II

7 Aralık 2019 – Pazartesi
İstanbul
Pazartesi’nin makus kaderi devam ediyor. Sendrom ile başlayan toplumsal kıllanmalara şimdi de Pazartesi mesajları ekleniyor. Mesajlar, ‘Sendroma kurban olalım, kıymetini bilememişiz.’ tadında travmalar yaratıyor.
Herkes gergin bir bekleyiş içinde. Mesaj gelecek mi? Gelmeyecek mi? Gelecekse içeriğinde ne olacak? Gibi soru işaretlerinin altlık yaptığı muhabbetler devam ederken 13.38’de herkese aynı numaradan bir mesaj daha geliyor.
Mesajda: “#kızkulesinigöremeyinceben” yazıyor. Bu sefer bir hashtag paylaşılıyor ve insanların bu hashtag üzerinden konuşması isteniyor.
Mesajı müteakip, kız kulesinin ortadan kaybolma hikayesi tekrar gündeme oturuyor ve verilen hashtag altında hatırı sayılır bir muhabbet dönmeye başlıyor. Dönen muhabbet haber kanallarını gaza getiriyor, Salacak’tan canlı yayın yapan haber kanallarının yayınları da muhabbete dahil olanları gaza getiriyor. Toplu bir cinnet yaşanıyordu adeta.
Sosyal medya, kız kulesi muhabbetleri ile yıkıladursun; canlı yayın arabalarının az ilerisinde Salacak’tan, Harem’e doğru yavaştan yürüyerek giden Emin Amca giriyor kadrajımıza.
Torunu askerden gelecek Harem’de inecek, O’nu karşılamaya gidiyor. Hava da açık, güneşli. ‘Ulan, şurda bi oturup iki dakika çay içeyim, Kız Kulesi’ni keseyim.’ diyor.
Emin Amca’nın hanımı vefat etmiş iki sene önce, onunla burda buluşurlarmış gençken, kendisi eski İstanbul beyefendilerinden.
‘Hatıralarımı yad edeyim.’ diyor. Emin Amca’nın olan bitenden haberi yok, haber filan izlemiyor, kitaplarıyla meşgul olan okumuş yazmış biri.
Neyse, duruyor Kız Kulesi’nin sırasına gelince. Çay kulübesinden çay istiyor.
Çay isterken de kendi kendine ‘Aahh be Nerimanım, senle şu kulenin önünde buluşurduk…’ diye iç geçiriyor. Bunu duyan çaycı eleman çayı uzatırken ‘Amca kule mi kaldı ya gözümüzün önünden uçtu gitti. Kıyamet kopacak, yeminle korkuyorum.’ diyor.
Emin Amca bunu duyunca, normalde takmaz ama, ‘Ne kaybolması evladım, şu Kız Kulesi senden, benden de, hatta şu Topkapı Sarayı’ndan -eliyle sarayı gösteriyor-, hatta ve hatta şu berbat ettiğimiz İstanbul’dan bile eskidir. Hepimizi gömer bu kule’ diyor.
Çaycı eleman önce çakozlamıyor durumu, amca deli herhalde filan diyor. Tam o sırada amcanın bi arkadaşı, kendi yaşlarında Salacak’tan yürür geçerken ‘Ooo Emincim sen de mi burdaydın gel çayımızı beraber içelim şu manzaraya karşı gel’ diye çağırınca, iki amca başlıyor Kız Kulesi hatıraları anlatmaya. Yok bu Emin eskiden balıkçıymış, sandalla açılırmış Kız Kulesi’ne yanaşır ordan olta sallarlarmış filan. Şimdi böyle anca karşıdan bakarız filan diyor…
Çaycı bakıyor ulan iki tane adam baya bildiğin kule orda duruyor diye konuşuyor. E bakıyor yok. Herkes yok diyor bu amcalar nasıl var diyor? İkisi de bunak herhalde diyor ama iki kişi sonuçta, baya da mantıklı konuşuyorlar.
Sonra çaycının aklına bi şey denemek geliyor. Çakal bi eleman bu çaycı. Şark kurnazı.. ‘Amca’, diyor; ‘Sana şu benim telefonu versem, Kız Kulesi’nin önünde bi resmimi çeksene benim manitaya göndereyim.’ diyor.
Çaycı çıkıyor kulübeden, açıyor Instagram’ı, veriyor Emin Amca’nın eline telefonu, Emin Amca ilk defa görmüş hayatında, anlamıyor. ‘Nereye basacağız oğlum? Göster’ diye soruyor sadece ve basıyor çaaat Kız Kulesi resimde çıkıyor :)
Çünkü hakikaten var Kız Kulesi…
Amerikan Psikiyatri Birliği (APA) geçtiğimiz Nisan ayında çok çarpıcı bir açıklamada bulunuyor. APA, yapmış olduğu resmi açıklamada Selfie çekmenin zihinsel bir bozukluk olduğunu söylüyor. Hatta bu tip zihinsel bozukluğu olanları da “Selfitis” olarak tanımlıyor.
Kim “Selfitis”, kim değil bilinmez. Bilinen tek şey şu ki, Kız Kulesi yerli yerinde duruyor. Ancak sosyal medya evreninde yaşayanlar kendilerini konuya o kadar kaptırmışlar ki; baktıklarında kuleyi hala göremiyorlar.
15.02.2015 Tarihinde Radikal’de Yayınlanmıştır
The post #SonSahne II appeared first on @yucezerey.
Benzer Bir Yazı Bulunmamaktadır.
#SonSahne I
İstanbul – 2019
İnsanlar göz temasını bırakalı iki seneden fazla oldu. Kimse birbirinin yüzüne otuz iki saniyeden fazla bakamıyor. Otuz iki saniye sonra insan gözü ekran ışığı arıyor. Ekran ışığı gözün ana besin kaynağı haline geldi. Sürekli sosyal medya hesapları, epostalar, chat programlarındaki paylaşımlar kontrol ediliyor. Gündemden geri kalmamak adına ‘an’ feda ediliyor. Her ne kadar göz temasını uzatmak için eğitim programları düzenlense, psikolojik ve sosyolojik çalışmalar organize edilse de hepsi nafile.
‘Offline’ deneyim, eskilerin anlattığı miskin hikayelerin tozlu yapraklarında kaldı. Artık herkes internet bağlantısını damardan alıyor ve ‘Online’ olamama ihtimalini dahi düşünmüyor.
23 Kasım 2019, Pazartesi günü sıradan, tatsız kasvetli bir gün olarak başladı. Pazartesi sendromuna dair toplumsal paylaşımlar tamamlanmasını müteakip saat 14.07’de ülkedeki tüm Whatsapp kullanıcılarına bir mesaj geldi.
Mesaj ilginç karakterlerden oluşan bir numaradan geliyordu.
Mesajın içeriğinde ise: “Bu akşam saat 18.09’da Kız Kulesi ortadan kaybolacak. #sonsahne” yazıyordu.
Mesaj alındığındaki ilk tepkiler “Yok artık Ali Sami” tadında oldu. Ancak herkes kendisine gelen mesajı sosyal medyada paylaştıkça olayın boyutu ortaya çıktı. Herkes aynı mesajı almıştı. Bu nasıl mükün olabilirdi? #sonsahne hashtagi ‘trending topic’ oldu. Herkes mesaj hakkında konuşuyordu.
Haber kanalları yayınlarını kesip mesaj ile ilgili haberler yapmaya başladı. Olayın daha da büyümesiyle emniyet, itfaye, sahil güvenlik teşkilatları da Kız Kulesi’nde tedbir almaya başladı. Detaylı bomba araması yapıldı. Ancak herhangi bir ize rastlanmadı. Açıklamalar insanların gönlüne su serpti.
Herkes işi gücü bırakmıştı saat 18.09’u bekliyordu. Millete malzeme çıkmıştı. Sosyal Medya adeta yıkılıyordu. Saat 18.08 olmuştu. Salacak, canlı yayın arabalarından geçilmiyordu. Geniş güvenlik önlemleri alınmış barikatlar kurulmuş halk güvenlik çemberine yaklaştırılmıyordu. Kara ve deniz trafiği de kapatılmıştı.
Saat tam 18.09’u vurduğunda kulakları sağır eden çığlık gibi bir ses duyuldu. Sesle birlikte Kız Kulesi ortadan kayboldu. Ses karşı sahilden de duyulmuştu. Bütün kanallarda Kız Kulesi’nin kaybolma anı vardı. Sosyal Medya’da herkes kaybolma görüntülerini paylaşıyordu. Ortalıkta Kız Kulesi falan kalmamıştı. Herkes dehşet içindeydi mesaj doğru çıkmıştı. Allah’tan gerekli tedbirler alınmış ve ölen, yaralanan olmamıştı. Ama İstanbul’un önemli simgelerinden biri artık yoktu ve nereye gittiğini de kimse bilmiyordu.
Her kademeden yetkililer gerekli açıklamaları yaptılar. Mesajı atan ve bu eylemin arkasındaki kişi veya kişiler ivedilikle bulunacaktı. Büyük bir seferberlik başlatılıyordu.
Soruşturmalar hızla devam ederken bir hafta sonra 30 Kasım 2019 Pazartesi günü saat 13.55’te herkese aynı numaradan bir mesaj daha geldi.
Mesajda: “Geleceği bilmek istiyorsan @sonsahne instagram hesabını takip et.” diyordu.
Herkes yine panik ve merak içindeydi. Hemen @sonsahne instagram hesabı takip edilmeye başlandı. Hesap rekor bir takipçi sayısına ulaşmıştı. Hesap, kimseyi takip etmiyordu. Paylaştığı sadece bir adet görsel vardı. Görselde Kız Kulesi’nin eski ve yeni hali (yani olmayan hali) aynı karede yer alıyordu.
İş yerlerinde, kahvelerde, kadın günlerinde, televizyon programlarında, okullarda, sosyal medyada her yerde başka bir gündem yoktu. Bunu yapan veya yapanlar kimdi? Ve nasıl yapabiliyorlardı?
Instagram yöneticileri ile üst düzeyden bağlantıya geçildi ve konu ile ilgili bilgi verildi. Instagram yöneticileri konuya derinlemesine dahil olduklarında konu dünya gündeminin de ilk basamaklarına tırmandı.
Instagram yöneticileri hesap hakkında istedikleri detay bilgiyi elde edemeyince hesabı kapatmak istediler ancak kapatamadılar.
Tüm kontrol kendilerine aitti ancak bir türlü hesabı kapatamadılar, silemediler ve bunu anlamlandıramadılar.
İtibarlarını zedelememek adına hesabı kapatamama olayının üzerini örtbas ettiler. Ancak daha önce Instagram’da çalışmış ve çok da hoş ayrılmamış bir çalışan bu konunun detaylarını blogunda paylaşınca işin rengi değişti. Haber ivedilikle haber platformlarında yayıldı. Artık konu Türkiye’nin gündeminden çıkmış dünya gündemine taşınmıştı.
Pazartesi günü (7 Aralık 2019) yine gelip çatmıştı ve tüm dünya bu gün de bir açıklama olup olmayacağına kilitlenmişti.
Devam Edecek
08.02.2015 Tarihinde Radikal’de Yayınlanmıştır
The post #SonSahne I appeared first on @yucezerey.
Benzer Bir Yazı Bulunmamaktadır.
Yüce Zerey's Blog
- Yüce Zerey's profile
- 10 followers




