Greg Ross's Blog, page 12
August 25, 2025
Small Change
If an angle of one degree is viewed through a lens with 4x magnification, how big will the angle appear to be?
One degree!
From A. Savin.
“Hence These Rimes”
Tho’ my verse is exact,
Tho’ it flawlessly flows,
As a matter of fact
I would rather write prose.
While my harp is in tune,
And I sing like the birds,
I would really as soon
Write in straightaway words.
Tho’ my songs are as sweet
As Apollo e’er piped,
And my lines are as neat
As have ever been typed,
I would rather write prose —
I prefer it to rime;
It’s less hard to compose,
And it takes me less time.
“Well, if that be the case,”
You are moved to inquire,
“Why appropriate space
For extolling your lyre?”
I can only reply
That this form I elect
‘Cause it pleases the eye,
And I like the effect.
— Bert Leston Taylor
August 24, 2025
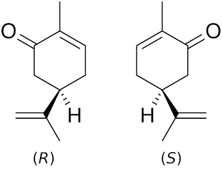
On the Nose
The distinctive smells of spearmint and of caraway seeds are produced by mirror images of the same molecule, carvone.
The fact that we can distinguish these smells shows that our olfactory receptors can sometimes discern the “handedness” of such molecules. But this isn’t the case with every set of “enantiomers.”
August 23, 2025
A Surprising Find
August 22, 2025
Wayfarer
Francesco Segala (1535-1592) made his name as a sculptor in Padua, but he’s remembered as a father of the picture maze.
Make your way from the traveler’s cup to the exit at bottom center.
Mixed Singles
Mark two points on a line and label them 0 and 1, in that order. Now: In one move you can add or remove two neighboring points marked 0 0 or 1 1. Through a series of such moves, is it possible to arrive at a single pair of points labeled 1 0?
No. Below each 1, write the number of 0s to the right of it, then add up these numbers. At the start, this sum is 0, an even number, and after each move it remains even (either it remains unchanged or it increases or decreases by 2). The goal state would produce an odd sum, 1. So the task is impossible.
From Arthur Engel, Problem-Solving Strategies, 2008.
August 21, 2025
Rationale
In 1931, 5-year-old Mel Brooks saw Frankenstein and refused open his window on a summer night. His mother talked to him:
Let’s say you are right. That Frankenstein wants to come here and kill you and eat you. But let’s look at all the trouble he’s going to have to get to Brooklyn. First of all, he lives in Transylvania. That’s somewhere in Romania. That’s in Europe. And that’s a long, long ways away. So even if he decides to come here, he has to get a bus or a train or hitchhike to somewhere he can get a boat to go to America. Believe me, nobody is going to pick him up. So let’s say he’s lucky enough to find a boat that would take him here. Okay, so he is here in New York City, but he really doesn’t know how the subways work. When he asks people they just run away! Finally, let’s say he figures out it’s not the IRT, it’s the BMT and he gets to Brooklyn. Then he’s got to figure out how to get to 365 South Third Street. Okay, it’s going to be a long walk. So let’s say he finally gets to Williamsburg and he finally finds our tenement. But remember, all the windows at 365 are going to be wide open and he’s had a long journey, so he must be very hungry. So if he has to kill and eat somebody, he probably would go through the first-floor window and eat all the Rothsteins who are living in apartment 1A. And once he’s full, there is no reason for him to go all the way up to the fifth floor and eat you.
“The story made good sense to me. ‘Okay,’ I said, ‘open the window. I’ll take a chance.'”
From his memoir, All About Me!, 2021.
“Tudor Aspersions”
“Thou jestedst when thou swor’st that thou betrothedst
The wench thou boastedst that thou lustedst for!
Thou thwartedst those thou saidst thou never loathedst,
But laudedst those that thou distrustedst more!
Ah, if thou manifestedst all thou insistedst,
Nor coaxedst those that thou convincedst not,
Nor vex’dst the ear thou wish’dst that thou enlistedst …”
“Thou’dst spit upon me less, thou sibilant sot!”
— R.A. Piddington
August 20, 2025
Evolution
T.H. Huxley believed in the precept that magna est veritas et prævalebit — truth is great and will prevail.
“Truth is great, certainly,” he wrote, “but, considering her greatness, it is curious what a long time she is apt to take about prevailing.”
(From Evidence as to Man’s Place in Nature, 1863.)
Unquote
“The liar’s punishment is not in the least that he is not believed, but that he cannot believe anyone else.” — George Bernard Shaw


