Mihhail Lotman's Blog, page 9
February 1, 2018
IRLi vead ja head
Annely Akkermann astus IRList välja. Mõistan tema tundeid, ehkki mitte lahendust. Mul endal on needsamad etteheited erakonnale ja veel rohkemgi. Püüan need hästi lühidalt formuleerida.
1. Valimisliit koos Keskerakonnaga, millel on kehtiv leping Jedinaja Rossijaga. Analoogilisest lepingust on lahti öelnud isegi kõige venemeelsem Läti poliitik Nils Ušakovs. Kui me kordame mantrana, et hea Jüri ei ole seesama mis halb Edgar, siis võiksime ajada selja sirgeks ja öelda: hea Jüri, ütle lahti sellest häbiväärsest lepingust.
2. Maksusüsteemi solkimine. Eesti riigil oli ja on palju arenguruumi erinevates valdkondades, kuid lihtne ja loogiline maksusüsteem oli põhimõtteliselt hea. Seda oleks pidanud muutma ettevõtjasõbralikumaks, vähendades nende maksukoormust, kuid mitte maksude lihtsuse ja läbipaistvuse arvelt.
3. Aktsiiside tõus ja ennekõike läbimõtlematu alkoholiaktsiisi tõstmine. Seda tehti kahel eesmärgil: a) rahva kainestamine, b) riigikassa täitmine. Ma ei tea, kuidas kainusega on, valitsus esitab optimistlikku statistikat, kuid minu enda ja mu tuttavate tähelepanekud Lõuna- ja Kagu-Eestis ütlevad vastupidist: inimesed hakkasid rohkem ja hasartsemalt jooma. Riigikassa täitmisega ei ole asjad ka paremad. Kuid mulle on siin palju olulisem mitte materiaalne, vaid moraalne aspekt. Seadused ja valitsemise poliitika peavad soodustama inimeste ausat ja patriootlikku käitumist. Eestis aga on minister Ossinovski ühe liigutusega lükanud inimesed halli tsooni. Ja IRL ei takista seda.
4. Riigieelarve tasakaalust väljaviimine. Omal ajal tahtis Isamaa liider Mart Laar viia eelarvetasakaalu nõude isegi Põhiseadusesse. Siis tundus mulle, et ta pingutab üle. Tasakaalus eelarve on tähtis põhimõte, kuid mitte dogma. Teatud tingimustel võib teha olulisi tulevikku suunatud investeeringuid, mis ajutiselt viivad eelarve tasakaalust välja. Praegu aga suunatakse see raha populistlikult tarbimisse. See ei ole investeering, mis tooks tulevikus kasu, see raha lihtsalt kulutatakse ära. See on keskerakondlik poliitika: elada praegu tulevikupõlvkondade arvelt. Ja meie läheme sellega kaasa.
5. Olen täiesti nõus sellega, mida Annely kirjutas teise samba likvideerimise kohta. Siin on kaks halba asja korraga. Esiteks, teise samba kehtestamisega võttis riik endale oma kodanike ees teatud kohustused. Nendest loobumine õõnestab riigi usaldusväärsust. Teiseks oli teine sammas iseenesest hea mõte, kuna sellesse panustab nii inimene ise kui ta tunneb ka riigi toetust. Samuti rikuti lubadusi kolmanda samba maksustamise osas, mis pole ka hea.
6. Osa inimesi ja ennekõike töötavad pensionärid tunnevad ennast õigustatult petetuna. Selle kompenseerimiseks pakub valitsus jällegi puht keskerakondlikku lahendust: ühekordset valimiseelse pensioni tõusu. Mille arvelt? Eks ikka laste ja lastelaste arvelt.
Need kõik on väga tõsised asjad ja ma ei ole nende üle sugugi õnnelik. Mida ma siis ise sellises erakonnas veel teen? Asi on selles, et kõikide puuduste ja vigade kiuste on IRL siiski Eesti parim erakond ja mis võib-olla veel tähtsam, Eesti vajab vastutustundlikku erakonda, mis väljendaks normaalseid isamaalisi konservatiivseid vaateid, laskumata ei vasak- ega parempopulismi. IRLil ja selle liikmetel on palju häid ideid. Need tuleb läbi töötada ning selgelt formuleerida. Mis puutub aga tehtud vigu, siis need tuleb parandada.
Published on February 01, 2018 12:28
Parandus
Sain järgmise kirja Kundas asuva puitmassitehase Estonian Cell juhatajalt Lauri Raidilt:
"pöördun Teie poole seoses artikliga, mis avaldati täna Postimehe arvamusportaalis ja pisut varem Teie blogis. Kahetsusväärselt sisaldab Teie artikkel faktiviga ja valeväidet Estonian Celli aadressil ja loodan, et meievaheline kirjavahetus ning suhtlus aitab need kommunikatsioonivead parandada.
Esmalt faktiveast. Estonian Cell ei ole tselluloositehas. Tootmistehnoloogia, mida ettevõte kasutab, on puitmassi kemitermomehaaniline purustamine, mitte Kraft-tehnoloogia sulfaatmeetod, millele viitate oma artiklis. Need on põhimõtteliselt erinevad tehnoloogilised protsessid. Palun teil lugeda lisa siit:http://www.estoniancell.ee/ee/1314/ke... .
Teiseks, valeväitest. Estonian Cell ei ole lasknud solki Kunda lahte. Tehasest keskkonnaloa kohaselt merre jõudev puhastatud heitvesi on tervisele ja keskkonnale ohutu ning selle kvaliteet vastab keskkonna kompleksloa normidele. Ettevõttel on kohustus võtta tehasest väljuva heitvee kvaliteediproove igapäevaselt. Nii keskkonnaagentuur kui ka Tartu Ülikooli Eesti Mereinstituudi teadurite poolt eelmisel aastal teostatud merekeskkonna seire raport, mis jõudis Estonian Cellini möödunud aasta lõpus, kinnitab, et ettevõtte heitveel puudub negatiivne mõju Kunda lahe põhjataimestikule ja –loomastikule. Samuti ei ole ületatud raskemetallide kontsentratsiooni piirnorme ning puudub heitvee mõju vee ja setete hapnikusisaldusele."
Mul on alati hea meel oma vead parandada ja nii ka siin. Nimetasin Estonian Celli tselluloositehaseks, lähtudes sellest, et see toodab (muude asjade hulgas) tselluloosi. Samas minu postituse fookuses ei olnud üldse Estonian Cell, vaid Tartusse planeeritav tehas. Lauri Raid juhib õigustatult tähelepanu sellele, et Estonian Celli tehnoloogiline protsess ei rajane sulfaatmeetodil, vaid on hoopis keskkonnasõbralikum. Kui juba nende projektide võrdlusest läks, siis Estonian Celli kasuks räägib ka see, et toormaterjaliks on haab ning seega ei suurendata okaspuude raiet. Kuid jällegi, minu mure on seotud Tartusse planeeritava tehasega.
Samuti pean vabandama, et nimetasin Estonian Celli heitvett solgiks. Kuid ma ei taha siiski nõustuda sellega, et siin üldse mingit probleemi ei ole. Lehes avaldatud fotol on näha reostust. Minu point oli aga, et ka sellistel keskkonnasõbralikel ja igati kiidetud ettevõtetel võib juhtuda ettenägematuid asju ning Emajõe reostus on hoopis midagi muud kui merereostus.
"pöördun Teie poole seoses artikliga, mis avaldati täna Postimehe arvamusportaalis ja pisut varem Teie blogis. Kahetsusväärselt sisaldab Teie artikkel faktiviga ja valeväidet Estonian Celli aadressil ja loodan, et meievaheline kirjavahetus ning suhtlus aitab need kommunikatsioonivead parandada.
Esmalt faktiveast. Estonian Cell ei ole tselluloositehas. Tootmistehnoloogia, mida ettevõte kasutab, on puitmassi kemitermomehaaniline purustamine, mitte Kraft-tehnoloogia sulfaatmeetod, millele viitate oma artiklis. Need on põhimõtteliselt erinevad tehnoloogilised protsessid. Palun teil lugeda lisa siit:http://www.estoniancell.ee/ee/1314/ke... .
Teiseks, valeväitest. Estonian Cell ei ole lasknud solki Kunda lahte. Tehasest keskkonnaloa kohaselt merre jõudev puhastatud heitvesi on tervisele ja keskkonnale ohutu ning selle kvaliteet vastab keskkonna kompleksloa normidele. Ettevõttel on kohustus võtta tehasest väljuva heitvee kvaliteediproove igapäevaselt. Nii keskkonnaagentuur kui ka Tartu Ülikooli Eesti Mereinstituudi teadurite poolt eelmisel aastal teostatud merekeskkonna seire raport, mis jõudis Estonian Cellini möödunud aasta lõpus, kinnitab, et ettevõtte heitveel puudub negatiivne mõju Kunda lahe põhjataimestikule ja –loomastikule. Samuti ei ole ületatud raskemetallide kontsentratsiooni piirnorme ning puudub heitvee mõju vee ja setete hapnikusisaldusele."
Mul on alati hea meel oma vead parandada ja nii ka siin. Nimetasin Estonian Celli tselluloositehaseks, lähtudes sellest, et see toodab (muude asjade hulgas) tselluloosi. Samas minu postituse fookuses ei olnud üldse Estonian Cell, vaid Tartusse planeeritav tehas. Lauri Raid juhib õigustatult tähelepanu sellele, et Estonian Celli tehnoloogiline protsess ei rajane sulfaatmeetodil, vaid on hoopis keskkonnasõbralikum. Kui juba nende projektide võrdlusest läks, siis Estonian Celli kasuks räägib ka see, et toormaterjaliks on haab ning seega ei suurendata okaspuude raiet. Kuid jällegi, minu mure on seotud Tartusse planeeritava tehasega.
Samuti pean vabandama, et nimetasin Estonian Celli heitvett solgiks. Kuid ma ei taha siiski nõustuda sellega, et siin üldse mingit probleemi ei ole. Lehes avaldatud fotol on näha reostust. Minu point oli aga, et ka sellistel keskkonnasõbralikel ja igati kiidetud ettevõtetel võib juhtuda ettenägematuid asju ning Emajõe reostus on hoopis midagi muud kui merereostus.
Published on February 01, 2018 12:13
January 23, 2018
Urmas Reinsalu umbusaldamisest
Täna peaks minister Reinsalu umbusaldamine toimuma ja umbusaldajate hääled pidid ka koos olema. Seega ei saa minu postitust pidada hääletamistulemuste mõjutamise katseks.
Ma pole salanud, et praegune valitsuskoalitsioon ei meeldi mulle sugugi ja kui see kukub, ei hakka ma seda taga nutma. Ainus, mis mind seejuures kurvaks teeb, on kogu selle protsessi küünilisus ja lausa valelikkus.
Justiitsminister kirjutas arvamusloo, milles ta kaitses tema meelest ebaõiglase rünnaku alla sattunud lavastajat. Tegi seda ebaõnnestunult -- tema kirjatükk, mis pidi sotsiaalset viha leevendama, hoopis suurendas seda. Osa feministe tundis end solvatuna, kuna nad lugesid välja, et neid nimetati kanakarjaks. Lugesid valesti, kuna nad arvatavasti väga soovisid solvuda (sellele on teiste seas osutanud ka EKRE juhatuse liige Malle Pärn): kui keegi ütleb "lõpetage pullitegemine", siis ei tähenda see, et ta nimetas kedagi pullideks, kui minister kutsus üles: "Lõpetage kanakarja kambakas", ei nimetanud ta kedagi kanadeks (pealegi on tegu tsitaadiga Ken Kesey kuulsast raamatust). Samuti on pahatahtlikult eksitav süüdistus, et Reinsalu õigustab naistevastast vägivalda.
Ma võin uskuda feministide siirust, samuti tundub mulle usutav Hannes Hanso positsioon. Kuid mul on väga raske uskuda Jürgen Ligi, Kristen Michali, ning in corpore EKRE ja Vabaerakonna fraktsioonide siirast solvumist. Ilmselt on nad ka ise saanud aru oma ebausutavusest ja seetõttu hakkasidki valesid multiplitseerima. Naisevastasest vägivallast enam juttu pole. Ligi peab salajast registrit: "Reinsalul on paturegister olemas, aga see pole avalikkuseni jõudnud". Mart Helme esineb valesüüdistusega, et minister venestab kohtusid. Siiram on Artur Talvik, keda ei häiri Ojasooga seotu, talle lihtsalt ei meeldi kogu Reinsalu elutöö.
Kuid hämavad mitte ainult umbusaldamise pooldajad. Kui Liisa Oviir teatas, ei hääleta umbusaldamise poolt, kuna vastasel korral "vabariigi sünnipäevaks oleks justiitsministriks juba Helme", siis on mul raske uskuda, et ta ise usub sellist jama.
Kogu see jant paraku õõnestab veelgi rohkem Riigikogu autoriteeti. Ma arvan, et antud rumalas olukorras on ainus mõistlik võimalus mitte osaleda -- las osalevad hääletuses vaid need, kes sellisel kahtlasel viisil loodavad oma poliitilist kapitali kasvatada.
Ma pole salanud, et praegune valitsuskoalitsioon ei meeldi mulle sugugi ja kui see kukub, ei hakka ma seda taga nutma. Ainus, mis mind seejuures kurvaks teeb, on kogu selle protsessi küünilisus ja lausa valelikkus.
Justiitsminister kirjutas arvamusloo, milles ta kaitses tema meelest ebaõiglase rünnaku alla sattunud lavastajat. Tegi seda ebaõnnestunult -- tema kirjatükk, mis pidi sotsiaalset viha leevendama, hoopis suurendas seda. Osa feministe tundis end solvatuna, kuna nad lugesid välja, et neid nimetati kanakarjaks. Lugesid valesti, kuna nad arvatavasti väga soovisid solvuda (sellele on teiste seas osutanud ka EKRE juhatuse liige Malle Pärn): kui keegi ütleb "lõpetage pullitegemine", siis ei tähenda see, et ta nimetas kedagi pullideks, kui minister kutsus üles: "Lõpetage kanakarja kambakas", ei nimetanud ta kedagi kanadeks (pealegi on tegu tsitaadiga Ken Kesey kuulsast raamatust). Samuti on pahatahtlikult eksitav süüdistus, et Reinsalu õigustab naistevastast vägivalda.
Ma võin uskuda feministide siirust, samuti tundub mulle usutav Hannes Hanso positsioon. Kuid mul on väga raske uskuda Jürgen Ligi, Kristen Michali, ning in corpore EKRE ja Vabaerakonna fraktsioonide siirast solvumist. Ilmselt on nad ka ise saanud aru oma ebausutavusest ja seetõttu hakkasidki valesid multiplitseerima. Naisevastasest vägivallast enam juttu pole. Ligi peab salajast registrit: "Reinsalul on paturegister olemas, aga see pole avalikkuseni jõudnud". Mart Helme esineb valesüüdistusega, et minister venestab kohtusid. Siiram on Artur Talvik, keda ei häiri Ojasooga seotu, talle lihtsalt ei meeldi kogu Reinsalu elutöö.
Kuid hämavad mitte ainult umbusaldamise pooldajad. Kui Liisa Oviir teatas, ei hääleta umbusaldamise poolt, kuna vastasel korral "vabariigi sünnipäevaks oleks justiitsministriks juba Helme", siis on mul raske uskuda, et ta ise usub sellist jama.
Kogu see jant paraku õõnestab veelgi rohkem Riigikogu autoriteeti. Ma arvan, et antud rumalas olukorras on ainus mõistlik võimalus mitte osaleda -- las osalevad hääletuses vaid need, kes sellisel kahtlasel viisil loodavad oma poliitilist kapitali kasvatada.
Published on January 23, 2018 21:21
January 20, 2018
Kavandatav tselluloositehas
Andsin oma allkirja "Avalikule pöördumisele kavandatava tselluloositehase asjus". Tavaliselt ma kollektiivsetes protestikampaaniates ei osale, kuna arvan, et ühe vastutust võtta julgeva inimese hääl on tihti tugevam kui massiüritus. Ma tean, kui kerge on üles kruvida proteste, eriti nii tundlikel teemadel nagu keskkond, ning õilsatest, ent emotsionaalsetest ajenditest lähtuvad teod võivad tuua ettearvamatuid negatiivseid tagajärgi (nagu nt loomade "päästmine" karusnahafarmidest). Ma ei pea ennast mingil juhul ökofundamentalistiks. Mitte ükski asi ei tule tasuta. Linnade arengud, maanteed, raudteed, õhu- ja meretransport koormavad kõik loodust. Ehkki olen põhimõtteline jalgrattur, ei taha ma võidelda teiste transpordiliikide vastu. Asi pole keskkonnariskide nullimises, vaid optimaalsete lahenduste otsimises. Seepärast toetan, tõsi küll, teatud reservatsioonidega Rail Balticut. Ökoloogilised probleemid, mis paratamatult selle rajamisega kaasnevad, vajavad lahendust, vähemalt leevendust, kuid muud strateegilised, majanduslikud ja NB! ökoloogilised kaalutlused (kiirraudteeühendus Euroopaga vähendab koormust maanteedel) kaaluvad need minu jaoks üle.
Mis aga puudutab Tartu tselluloositehast, siis see asi on teistsugune: riskid ületavad oluliselt võite. Sellevastane pöördumine on koostatud väga professionaalselt ja lähtub ratsionaalsest argumentatsioonist, mitte hetkeemotsioonidest, ning kuna ma niikuinii kavatsesin veel kord sel teemal sõna võtta, siis andsin sellele suurima heameelega oma allkirja.
Siiski tahaksin eraldi välja tuua veel mõned asjaolud. Nii tehase pooldajad kui ka selle vastased lähtuvad tehase ohutuse/ohtlikkuse hindamisel ettenähtud režiimis, kui kõik sujub, nagu peab. Ka sellisel juhul kätkeb rajatav tehas endas suurt koormust keskkonnale. Nagu teada, on tselluloositööstus üks toksilisemaid, jäädes alla vaid metallitööstusele. Sulfaattselluloosi tootmine koormab kõiki biosfääri osi: atmosfääri, hüdrosfääri ja litosfääri ülemist kihti. Tartu tehase rajajad ja propageerijad korrutavad mantrana, et tegu on innovatiivse, keskkonnasäästliku ja rohelise ettevõtmisega. Soovitan vaadata nende reklaamvideot kui manipulatsiooni meisterklassi (pange tähele rohelist tausta, linnulaulu, pidevalt korduvaid tüvesid bio-, rohe-, keskkonna- ja teisigi armsaid detaile).
Millest aga ei ole siiamaani räägitud, on tehase kaitstus erinevates ettenägematutes olukordades. Praegu võib tunduda, et suurim oht on seotud ühiskondliku pahameelega. Aga millised on tehnoloogilised riskid? Kuidas on tehas kaitstud üleujutuste eest (tuletame meelde hiljutist keemiatehase plahvatust USAs, millel erinevalt Tartusse rajatavast tehasest oli kahekordne kaitse, kuid üleujutuse käigus lakkasid mõlemad töötamast). Kuidas on see kaitstud tormide eest, nagu näiteks selliste eest, nagu orkaan Herwart, mis möllas praegu Saksamaal? Kuidas on see kaitstud teiste loodusõnnetuste eest, mis viimasel ajal on Euroopas sagenenud, kas kliima soojenemise või muude põhjuste tõttu? Kõik need küsimused on paraku vastuseta, asjalikku arutelu asemel näeme vaid ülistuslaule moodsale ja progressiivsele tehnoloogiale.
Animase jõgi enne ja pärast 2015. a reostust Igaks juhuks võiks meelde tuletada, et Eestis juba on üks moodsal progressiivsel tehnoloogial töötav tselluloositehas Estonian Cell, mis on poolteist aasta kogemata solki merre lasknud. Tuletame meelde, et ka see ettevõte reklaamib ennast eriti keskkonnasõbralikuna ja 2014. aastal nimetas Keskkonnaministeerium selle isegi aasta keskkonnasõbralikuks ettevõtteks. Jõgi on palju hapram ökosüsteem kui meri ning tõsisem avarii rajatavas tselluloositehases võib hävitada Emajõe biosfääri ja isegi Peipsi järve biosüsteemi. Ja siis ei päästa enam õigustused stiilis tegijal juhtub ja kes nüüd sellist asja võis ette näha.
Published on January 20, 2018 09:06
January 16, 2018
Meie väike šovinismiskandaal
Madam Rajasaar teatab, et mister Reinsalu ei sobi ministriks. Tal on selleks täielik õigus. Me elame vabas riigis ja igaüks võib väljendada oma negatiivset suhtumist ka kõrgematesse riigiametnikesse (üksnes kohtunike solvamine ja laimamine pole lubatud). Minister Reinsalu ütles midagi, mis ei meeldi EV kodanikule Rajasaarele, minule, kodanik Mihhail Lotmanile ei meeldi samuti mitu ministrit ja ennekõike mitte niivõrd nende sõnade, vaid tegude pärast. Ma ei tahaks peaministri kohal näha Jüri Ratast, ma ei tahaks ministrikohtadel näha ka Kadri Simsonit, Jevgeni Ossinovskit ega Urve Palot. Ja mitte keegi ei saa mind nendel teemadel suukorvistada. NB! Kuid mingil juhul ei looda ma ega isegi taha, et nimetatud ministrid kaotaksid oma positsiooni üksnes sellepärast, et keegi kodanik Lotman on väljendanud sellist mõtet. Elame demokraatlikus riigis ja ministrite mahavõtmine käib kindlate protseduuride kaudu, millest üheks on umbusaldamine Riigikogus. Ma oleksin ülimalt nördinud, kui minu käsu või isegi tungiva soovituse peale hakkaksid ministrid tagasi astuma. See oleks riigi seisukohalt palju kahjulikum kui ühe või teise ministri problemaatilised sõnastused.
Kahjuks on probleem aga palju laiem kui Ylle Rajasaare seisukohavõtt. Nii üksikinimestel kui ka nende ühendustel on õigus väljendada arvamusi, mis lahknevad võimukandjate ja valitsuse seisukohtadest ja valitsuse poliitikast. Veelgi enam, see on nende kodanikukohustus. Kodanikuühiskonna tasakaal on tagatud seeläbi, et ühiskonnas on arvamuste paljusus ja mitte ükski arvamus ega grupp ei saa domineerida ning oma tahet peale suruda teistele. Ning veel üks oluline asi: arvamusi väljendav grupp ei tohi muutuda lintšivaks jõuguks, mis võtab endale süüdistaja, kohtuniku ja kohtuotsuse täitja rolli. See on ühiskonnale ohtlik. Eriti ohtlik on aga, kui samas puhangus liituvad üksteisega erinevad vastandideoloogia väljendajad. Antropoloog ja kirjandusteadlane René Girard on üksikasjalikult kirjeldanud selliseid olukordi põhiliselt arhailiste kultuuride ja antiikmaailma näitel. Kriis võib tekkida täiesti tühjalt kohalt ja see leiab lahenduse lunastusohvri toomisega. Selleks otsitakse ja leitakse patuoinas.
Ma ei tunne Tiit Ojasood ei inimese ega isegi mitte teatrikunstnikuna. Ma ei tea, kelle kallal ja mis asjaoludel ta lumes vägivallatses. Aga kui EKRE, SAPTK ja feministid liigutavas üksmeeles nõuavad tema ohverdamist, siis kultuurisemiootikuna tekitab see minus igasuguseid mõtteid.
P.S. Üks kriisiolukorra tunnuseid on äkiline kollektiivne huumorimeele kaotus. Ma ei looda, et minu tagasihoidlik sõnavõtt võiks olukorda muuta. Kuid siiski, kuna selle aasta šovinisti tiitel on juba enneaegselt hõivatud, palun käsitleda antud kirjutist kui oma kandidatuuri esitamist esimese printsessi kohale.
Kahjuks on probleem aga palju laiem kui Ylle Rajasaare seisukohavõtt. Nii üksikinimestel kui ka nende ühendustel on õigus väljendada arvamusi, mis lahknevad võimukandjate ja valitsuse seisukohtadest ja valitsuse poliitikast. Veelgi enam, see on nende kodanikukohustus. Kodanikuühiskonna tasakaal on tagatud seeläbi, et ühiskonnas on arvamuste paljusus ja mitte ükski arvamus ega grupp ei saa domineerida ning oma tahet peale suruda teistele. Ning veel üks oluline asi: arvamusi väljendav grupp ei tohi muutuda lintšivaks jõuguks, mis võtab endale süüdistaja, kohtuniku ja kohtuotsuse täitja rolli. See on ühiskonnale ohtlik. Eriti ohtlik on aga, kui samas puhangus liituvad üksteisega erinevad vastandideoloogia väljendajad. Antropoloog ja kirjandusteadlane René Girard on üksikasjalikult kirjeldanud selliseid olukordi põhiliselt arhailiste kultuuride ja antiikmaailma näitel. Kriis võib tekkida täiesti tühjalt kohalt ja see leiab lahenduse lunastusohvri toomisega. Selleks otsitakse ja leitakse patuoinas.
Ma ei tunne Tiit Ojasood ei inimese ega isegi mitte teatrikunstnikuna. Ma ei tea, kelle kallal ja mis asjaoludel ta lumes vägivallatses. Aga kui EKRE, SAPTK ja feministid liigutavas üksmeeles nõuavad tema ohverdamist, siis kultuurisemiootikuna tekitab see minus igasuguseid mõtteid.
P.S. Üks kriisiolukorra tunnuseid on äkiline kollektiivne huumorimeele kaotus. Ma ei looda, et minu tagasihoidlik sõnavõtt võiks olukorda muuta. Kuid siiski, kuna selle aasta šovinisti tiitel on juba enneaegselt hõivatud, palun käsitleda antud kirjutist kui oma kandidatuuri esitamist esimese printsessi kohale.
Published on January 16, 2018 07:50
January 7, 2018
Vene televisioonist
Kui poleks vastik, siis võiks olla päris huvitav vaadata praegust hääletu alistumise protsessi. Erakond, millel on koostööleping Jedinaja Rossijaga, on peaministrierakond. Selles erakonnas vohab endiselt korruptsioon ja putinimeelsus. Eriti vastik on jälgida, kuidas koalitsioonipartnerid kaitsevad Keskerakonna korruptante ja äraandjaid. Jüri Ratas pidi olema koguni eestimeelsuse etalon. Muinasjutud koostöölepingu külmutamisest või mittetoimimisest võivad mõjuda ainult enesepetjatele või väga lihtsameelsetele. See leping toimib suurepäraselt ja juba mitte üksnes erakonna, vaid terve valitsuse tasemel. Leping Jedinaja Rossijaga on nii odioosne asi, et isegi venemeelseim Läti poliitik ja riigitegelane Nils Usakovs pidas paremaks sellest lahti öelda. Eesti on aga Venemaa mõju avant-poste Euroopas.
Räägitakse: see on ainult kultuur, see on ainult lihtinimeste kontaktid, selle taga pole mingit propagandat ega tanke. Tankid ootavad tõepoolest piiri taga, aga propaganda on nii sügavale imbunud, et seda enam ei märgatagi. Eesti juurtega tuntud dirigent annab kontserdi Venemaa saatkonnas -- oh, mis te nüüd, kus siin siis propaganda on, see on ju puhas kunst. Eestit külastavad kultuuri- ja kunstitegelased on valdavas enamuses Putini kaaskonnast. Ja see on suur. Kui Stalini ajal allutati kultuur massirepressioonide ja hirmuga, siis Putini Venemaal on repressioon vaid pisteline, kultuuritegelased lihtsalt ostetakse ära, ja seda väga lihtsate vahenditega. Kui sa oled dirigent, filmiinimene või teatrijuht, antakse selgelt märku, et sinu finantseerimine sõltub sellest, kas sa avaldad toetust Krimmi annekteerimisele või kas sa kirjutad alla palvekirjale Putinile, et ta kandideeriks järjekordselt presidendiametisse. Ja siis öeldakse veel sulle, et ise võid sa olla ükskõik kui julge mees, aga sinu teatris töötab mitusada inimest, kes kõik hakkavad kannatama. Ja need inimesed tulevad Eestisse tutvustama päikselist Venemaad.
Enne Teist maailmasõda ei alanud vaikiva alistumise otsustav etapp mitte Molotov-Ribbentropi pakti allkirjastamisega. 1938. aastal avastati, et Nõukogude Liit polegi nii kuri, selles on palju häid kirjanikke, kunstikke jne, keda hakati ohtralt ka Eestis tutvustama. Initsiatiiv ei olnud eestipoolne. Nii eelnes tankidele kultuuriline dessant, mis oli üsna edukas, igal juhul õõnestades suurel määral eestlaste vastupanutahet. Ka Eesti progressiivsemad kultuuritegelased käisid Venemaal ja nägid oma silmaga, et kõik need õudused, mida Nõukogude Liidu kohta räägitakse, on valed: inimesed on seal õnnelikud. Olen sellest juba kirjutanud.
Eriti markantne on viimase aja diskussioon vene telekanalite üle: need ei olevat vaenulikud midagi, propagandat ei sisalda, hoopis meie kasutame neid oma huvides ära. Ja üldse, peame ju mõtlema ka oma venelastest kaaskodanike peale, ei saa ju neid jätta ilma väärt informatsiooniallikatest. On avaldatud koguni graafik, mis näitab erinevate telekanalite vaadatavust venekeelse elanikkonna seas. Sellest graafikust võib aga näha, et vene kanaleid vaatab väga väike osa Eesti venelasi. PBK-d (kanalit, mis on spetsiaalselt loodud Balti riikidele) vaatab parimal juhul 5-6%. Muidugi, võrreldes nullilähedaste ETV+ näitajatega võib see arv tunduda suur, kuid üldiselt vaatab seda väga väike -- ja väga putinimeelne -- seltskond.
Mis siis teha? Kaks asja, millest esimene on seotud Venemaa kanalitega, teine ETVga. Ma olen selle vastu, et midagi keelata, olgu see kas või televisioonivormis oopium rahvale. Minus tekitab nördimust, et kõikides pakutavates teleprogrammide pakettides on kohustuslikus korras tasuta terve hulk Venemaa kanaleid. Minu jaoks on need kanalid objektiivse informatsiooni seisukohalt sama väärtuslikud kui pornokanalid inimeste intiimelu kajastamisel. Jällegi, ma ei ole pornokanalite keelustamise poolt, aga see spetsiifiline auditoorium, kes neid vajab, maksab selle eest eraldi, nagu peaksid maksma ka PBK jt sarnaste kanalite tarbijad. Nende jaoks aga, kes ilma Putini vaatamiseta ei saa tippu jõuda, lihtsalt üks ilus pilt ortodokssete jõulude puhul.
Mis aga puudutab ETV+-i, siis see projekt pole mitte läbikukkunud, vaid surnult sündinud. Vene vaataja, k.a see, kes on Eesti Vabariigi suhtes ebasõbralikult meelestatud, vajab hoopis midagi muud. Nagu ma juba korduvalt olen öelnud, vene vaataja tahab teada Eesti riigi ja valitsuse ametlikke seisukohti. Külma sõja ajal oli Ameerika Hääles igapäevane lühike kommentaar, mille kohta teatati, et see pole ajakirjandus, vaid USA valitsuse seisukohtade kajastus. Analoogilist kommentaari vajaksid ka siinsed venelased, ja mitte ainult nemad. Samuti peavad selles kanalis olema Eesti ajaloo tunnid, eesti kultuuri tutvustused, Eesti ja Euroopa juriidilise ruumi tutvustused ning eritasemelised eesti keele kursused, k.a need, mis aitavad valmistuda kodakondsuseksamiks, et lõppeks hädaldamine teemal: tahaks küll väga eesti keelt õppida, aga see on nii raske ja maksab nii palju.
Räägitakse: see on ainult kultuur, see on ainult lihtinimeste kontaktid, selle taga pole mingit propagandat ega tanke. Tankid ootavad tõepoolest piiri taga, aga propaganda on nii sügavale imbunud, et seda enam ei märgatagi. Eesti juurtega tuntud dirigent annab kontserdi Venemaa saatkonnas -- oh, mis te nüüd, kus siin siis propaganda on, see on ju puhas kunst. Eestit külastavad kultuuri- ja kunstitegelased on valdavas enamuses Putini kaaskonnast. Ja see on suur. Kui Stalini ajal allutati kultuur massirepressioonide ja hirmuga, siis Putini Venemaal on repressioon vaid pisteline, kultuuritegelased lihtsalt ostetakse ära, ja seda väga lihtsate vahenditega. Kui sa oled dirigent, filmiinimene või teatrijuht, antakse selgelt märku, et sinu finantseerimine sõltub sellest, kas sa avaldad toetust Krimmi annekteerimisele või kas sa kirjutad alla palvekirjale Putinile, et ta kandideeriks järjekordselt presidendiametisse. Ja siis öeldakse veel sulle, et ise võid sa olla ükskõik kui julge mees, aga sinu teatris töötab mitusada inimest, kes kõik hakkavad kannatama. Ja need inimesed tulevad Eestisse tutvustama päikselist Venemaad.
Enne Teist maailmasõda ei alanud vaikiva alistumise otsustav etapp mitte Molotov-Ribbentropi pakti allkirjastamisega. 1938. aastal avastati, et Nõukogude Liit polegi nii kuri, selles on palju häid kirjanikke, kunstikke jne, keda hakati ohtralt ka Eestis tutvustama. Initsiatiiv ei olnud eestipoolne. Nii eelnes tankidele kultuuriline dessant, mis oli üsna edukas, igal juhul õõnestades suurel määral eestlaste vastupanutahet. Ka Eesti progressiivsemad kultuuritegelased käisid Venemaal ja nägid oma silmaga, et kõik need õudused, mida Nõukogude Liidu kohta räägitakse, on valed: inimesed on seal õnnelikud. Olen sellest juba kirjutanud.
Eriti markantne on viimase aja diskussioon vene telekanalite üle: need ei olevat vaenulikud midagi, propagandat ei sisalda, hoopis meie kasutame neid oma huvides ära. Ja üldse, peame ju mõtlema ka oma venelastest kaaskodanike peale, ei saa ju neid jätta ilma väärt informatsiooniallikatest. On avaldatud koguni graafik, mis näitab erinevate telekanalite vaadatavust venekeelse elanikkonna seas. Sellest graafikust võib aga näha, et vene kanaleid vaatab väga väike osa Eesti venelasi. PBK-d (kanalit, mis on spetsiaalselt loodud Balti riikidele) vaatab parimal juhul 5-6%. Muidugi, võrreldes nullilähedaste ETV+ näitajatega võib see arv tunduda suur, kuid üldiselt vaatab seda väga väike -- ja väga putinimeelne -- seltskond.
Mis siis teha? Kaks asja, millest esimene on seotud Venemaa kanalitega, teine ETVga. Ma olen selle vastu, et midagi keelata, olgu see kas või televisioonivormis oopium rahvale. Minus tekitab nördimust, et kõikides pakutavates teleprogrammide pakettides on kohustuslikus korras tasuta terve hulk Venemaa kanaleid. Minu jaoks on need kanalid objektiivse informatsiooni seisukohalt sama väärtuslikud kui pornokanalid inimeste intiimelu kajastamisel. Jällegi, ma ei ole pornokanalite keelustamise poolt, aga see spetsiifiline auditoorium, kes neid vajab, maksab selle eest eraldi, nagu peaksid maksma ka PBK jt sarnaste kanalite tarbijad. Nende jaoks aga, kes ilma Putini vaatamiseta ei saa tippu jõuda, lihtsalt üks ilus pilt ortodokssete jõulude puhul.
Mis aga puudutab ETV+-i, siis see projekt pole mitte läbikukkunud, vaid surnult sündinud. Vene vaataja, k.a see, kes on Eesti Vabariigi suhtes ebasõbralikult meelestatud, vajab hoopis midagi muud. Nagu ma juba korduvalt olen öelnud, vene vaataja tahab teada Eesti riigi ja valitsuse ametlikke seisukohti. Külma sõja ajal oli Ameerika Hääles igapäevane lühike kommentaar, mille kohta teatati, et see pole ajakirjandus, vaid USA valitsuse seisukohtade kajastus. Analoogilist kommentaari vajaksid ka siinsed venelased, ja mitte ainult nemad. Samuti peavad selles kanalis olema Eesti ajaloo tunnid, eesti kultuuri tutvustused, Eesti ja Euroopa juriidilise ruumi tutvustused ning eritasemelised eesti keele kursused, k.a need, mis aitavad valmistuda kodakondsuseksamiks, et lõppeks hädaldamine teemal: tahaks küll väga eesti keelt õppida, aga see on nii raske ja maksab nii palju.
Published on January 07, 2018 09:13
December 23, 2017
Inimene, kes purustas inimkonna unistuse ja tõestas Jumala olemasolu.
Jõulujutt
Seekord otsustasin kirjutada mitte päkapikkudest, vaid ühest möödunud sajandi väljapaistvamast ja omapärasemast mõtlejast Kurt Gödelist, kelle surmast möödub 14. jaanuaril nelikümmend aastat.
Läbi ajaloo on inimkonnal olnud mitmesuguseid suuri sihte, omamoodi unistusi, mis on ajastuti ja kultuuriti olnud erinevad. Näiteks keskaja alkeemikutel olid nendeks filosoofide kivi (lapis philosophorum), mille abil võib kõik teised elemendid muuta kullaks, ning elueliksiir (elixirium vitae), mille manustamine tagab igavese elu ja isegi nooruse. Filosoofide kivi on oma algupärasel kujul päevakorralt maas, mis aga puudutab elueliksiiri, siis viimase kallal töötab aktiivselt nüüdisaegne meditsiingi, tõsi küll, igavene noorus on märkamatult transformeerunud igaveseks vanaduseks.
On raske kujutada ette mõjukamat ja edukamat teadlast kui Gottfried Wilhelm Leibniz. Ta oli edukas kõikidel aladel, millega ta tegeles, aga ta tegeles filosoofiaga, teoloogiaga, loogikaga, füüsikaga, mehaanikaga, matemaatikaga, ajalooga, leiutamisega, keeleteadusega, juuraga. Lisaks sellele oli ta autoriteetne ühiskonna- ja riigitegelane, diplomaat. Ta oli mees, kelle ideed ja sõnad lubasid lõpetada nõiaprotsessid vähemalt saksa protestantlikel aladel.
Öeldu valguses on raske kujutada ette, et ta oli luuser. Nimelt läksid luhta kaks talle endale kõige olulisemat projekti: luua ideaalne keel, milles ei saa valetada (characteristica universalis), ning tõestada Jumala olemasolu (theodicaea). Nagu Leibnizil ikka, olid ka tema läbikukkumised ülimalt õpetlikud ja viljakad ning stimuleerisid loogika, filosoofia, keeleteaduse ja teoloogia arengut. Characteristica universalise probleemi võiks sõnastada järgmiselt. Iga keele ütluste puhul võime eristada kahte aspekti: esiteks, kas nad on grammatiliselt õiged või vigased, teiseks, kas nad on tõesed või väärad. Need aspektid ei ole omavahel seotud -- esimesega tegeleb grammatika, teisega semantika. Ülim ülesanne aga seisnes sellise keele loomises, kus need asjad oleksid lahutamatud: grammatiliselt õiged laused oleksid automaatselt ka tõesed, aga kõik valed väited oleksid automaatselt ka grammatiliselt vigased. Tegu oleks omamoodi filosoofide kiviga, mis aga tooks välja mitte kulla, vaid tõe. Ehkki seda ülesannet Leibniz lahendada ei suutnud, andsid tema katsed suure tõuke matemaatilise loogika, analüütilise filosoofia, kombinatoorika, programmeerimise ja veel mitmete teiste distsipliinide arenguks. Tema ideed selles valdkonnas inspireerisid Kanti, Freget, Russelli jt.
Skeem Leibnitzi väitekirjast Sama kehtib ka jumalatõestuse kohta. Leibniz püüdis ühendada oma ratsionalistliku filosoofia piibliusuga. Eriti oluline oli talle näidata, et tema monadoloogia ei vastandu kristliku (ennekõike protestantliku) õpetusega. Ehkki ta ei saavutanud täisedu, andis tema käsitlus suure tõuke modaalsele loogikale ja võimalike maailmade semantikale.
Characteristica universalise probleem muutus aga uuesti aktuaalseks seoses nn teise Hilberti probleemiga (see puudutab aritmeetika aluseid ja nende sisemist vastuolulisust) ning põnevate arengutega keelefilosoofia ja loogilise positivismi valdkonnas. Tundus, et on võimalik täiesti formaliseerida kogu matemaatika ja -- mis siis ikka -- ka kõik teadused ja teadmised. Need unistused purustas Gödel 1930. aastal, kui ta esitas matemaatilisel kongressil Königsbergis oma kaks kuulsaks saanud mittetäielikkuse teoreemi. Aasta hiljem avaldas ta artikli "Über formal unentscheidbare Sätze der Principia Mathematica und verwandter Systeme I" (nagu selgub juba selle pealkirjast, on see suunatud mitte niivõrd Leibnizi, kuivõrd Russelli vastu). Gödel tõestas, et formaalne süsteem ei saa olla korraga sidus (konsistentne) ja täielik: kui süsteem (sh keel) on täielik, siis see pole sidus, kui süsteem on sidus, pole see täielik.
Noor Kurt Gödel: "Me peame teadma, me hakkame teadma" (1930)
Enne kui me läheme Gödeli theodicaea juurde, paar üldisemat sõna tema iseloomu kohta. Gödel oli standardse geeniuse kuju kehastus, st friik. Selle poolest erines ta radikaalselt nii Leibnizist kui oma sõbrast Albert Einsteinist -- mõlemad olid normaalsed ja mitmes valdkonnas edukad inimesed. Kuid õige geenius ei tohi olla normaalne ja Gödel vastas täpselt geeniuse stereotüübile: lahendab neid probleeme, mida keegi teine maailmas lahendada ei suuda, ja ei oska kõige elementaarsemaid asju, millega saab hakkama iga kollanokk. Gottlob Frege arvas, et loogika võib olla matemaatika alus, ja seda suunda nimetatakse matemaatikas logitsismiks. Pärast seda püüti loogika abil lahendada igasuguseid mentaalseid ja ka elulisi probleeme.
Gödel oli totaalne logitsist, teda võiks nimetada panlogitsistiks, ja see ta lõpuks ka hukutas. Tal olid niigi paranoilised kalduvused, kuid panlogitsism süvendas neid veelgi. Nii tõestas ta loogiliselt, et teda tahetakse ära tappa mürgitamise teel, ja kuna ta täpselt ei teadnud, kelle poolt, sai ta süüa vaid seda toitu, mida pakkus talle tema naine. Hiljem aga tõestas ta, et teda tahetakse endiselt mürgitada, ja puht loogiliselt tähendas see, et mürgitajate hulgas on ka tema naine. Niisiis, ainus võimalus surma vältida oli mitte süüa. Ja nii vältis ta mürgitamist. Ta suri nälga. Tema surnukeha kaalus 29 kilo.
Gödel ja Einstein Princetonis
1940. aastal põgenes Gödel Austriast natsirežiimi eest USAsse. Mõne aja pärast oli tal võimalus saada USA kodanikuks. Kodakondsuseksamiks pidi ta õppima ära põhiseaduse. Tema soovitajateks olid kuulus majandusteadlane Oskar Morgenstern, keda koos John von Neumanniga peetakse matemaatilise mänguteooria rajajaks, ja veel kuulsam teadlane Albert Einstein. Eksamineerija oli Einsteini tuttav ja tema suur austaja ning Morgenstein ja Einstein uskusid, et tegu on üsna formaalse toiminguga, mis läheb ilma viperusteta. Kuid lugedes USA põhiseadust, läks Gödel endast välja ning rääkis erutatult Morgensteinile ja Einsteinile, et Ameerika põhiseadus ei kaitse fašistliku diktatuuri kehtestamise eest. Einstein võttis seda naljana ja soovitas sellest eksamil mitte rääkida. Läks aga teisiti. Eksamineerija küsis: milliselt maalt te tulete. Gödel vastas: Austriast -- see oli demokraatlik vabariik, kuid muutus tänu oma põhiseadusele lõpuks diktatuuriks. Eksamineerija vastas, et paha lugu, kuid selles riigis ei saa seda juhtuda. Gödel aga vastas: oo jaa, saab küll, ja ma võin seda tõestada. Einstein ja Morgenstern olid väga ehmunud, kuid nagu kirjutab Morgenstern, viis intelligentne eksamineerija jutu kiiresti teisale ning Gödel sai kodakondsuse. Nüüd aga probleem, mis vaevab loogikuid ja juriste juba seitsekümmend aastat. Gödel ei naljatanud kunagi ja kõik tema väited olid alati loogiliselt tõestatavad, kuid millise vea leidis ta Ameerika Ühendriikide põhiseaduses, pole siiamaani selge. Morgensterni memoga saab tutvuda siin.
Nüüd aga veidi lihtsam ülesanne: Jumala olemasolu tõestamine.
Siinkohal tuleks rääkida mõne sõnaga theodicaea'de ajaloost. Siin on tegemist kahe probleemi: esiteks, kas Jumal on olemas, teiseks, mis on kurjuse allikas ja miks Jumal seda lubab. Polüteistlikes ja dualistlikes religioonides pole viimane probleem, kuna neis eksisteerivad jumalused, kes vastutavad kurjuse eest, nagu nt zoroastrismi kurjuse jumal Angra Mainyu, kes on Ahura Mazda ürgvaenlane. Või asteekide Huitzilopochtli, kes on Quetzalcoatli igipõline vastane. Teisiti on kristluses, kus kõrvale jättes mitmed hereesiad ei saa kurjus olla jumaliku tahte tulemus: Jumal on hea ja kõik, mida ta teeb, on samuti hea. Saatan ei ole Jumala antagonist, ta on üksnes langenud ingel, üks peainglitest, kelle alistas isegi mitte Jumal ise, vaid teine peaingel Miikael. Kust siis pärineb kurjus? Vastuseid on erinevaid. Neist optimistlik tuleb Aquino Thomaselt: kurjusel pole allikat ega iseseisvat tahet, kurjus on vaid headuse puudus. Nii nagu pole allikat ka pimedusel: pimedus on vaid valguse puudus ja see, mida me tunneme kurjusena, on vaid takistused, mis tõkestavad jumalikuse/valguse langemist. Nii on kurjus omamoodi headuse vari. Allpool peatume vaid esimesel, Jumala olemasolu küsimusel.
Ajaloo jooksul on Jumala olemasolu tõestusi erinevates religioonides kogunenud paarikümne ringis, ainuüksi Aquino Thomas pakkus neid välja viis. Paraku on neis kõigis loogilisi vigu. Neid märkasid nii Leibniz kui ka Kant, kes püüdsid mõlemad luua valiidse tõestuse. Leibniz püüdis selle siduda modaalse loogikaga ja tõenäosuse mõistega. On selge, et Jumal tegutseb universumit luues mitte juhuse, vaid kindla plaani järgi, ja kuna ta on ise täiuslik olend, valib ta kõikidest võimalustest parima. Seega on olemas lõpmatu arv võimalikke maailmu ja see meie oma, aktuaalne maailm, on nendest parim. See ei ole veel mingi tõestus, vaid selle ettevalmistus. Kuid ka niisugusel kujul mõjutas see oluliselt 18. sajandi kultuuri ja tähistas pessimistliku barokse maailmavaate vahetumist optimistliku ratsionalismi vastu. Ent juba sajandi lõpul muutus see tänu Voltaire'ile pilkeobjektiks. Voltaire'i tegelane Pangloss on leibniziaan, kes satub pidevalt mingisugustesse äpardustesse, kuid korrutab muudkui mantrat: kõik aina paremuse poole selles parimas maailmas.
Kõige võimsam ja samas kõige problemaatilisem on nn ontoloogiline tõestus, mida kristlikus traditsioonis seostatakse ennekõike Canterbury Anselmiga. Idee on lihtne: kui Jumal on kõige täiuslikum olend, st kõikide positiivsete omaduste summa, siis peab ta eksisteerima, kuna eksisteerimine on positiivne omadus. Paraku on siin loogiline viga, millele on osutanud mitmed filosoofid, teiste seas ka Kant: nimelt eksisteerimine ei ole predikaat. Juba Anselmi kaasaegne Gaunilo Marmoutiers'st parodeeris Anselmi: kujutame ette ideaalset saart, mis on kõikidest -- nii olemasolevatest kui ka mõttelistest saartest -- parim, järelikult ta eksisteerib (seda formuleeringut armastas meelde tuletada Russell).
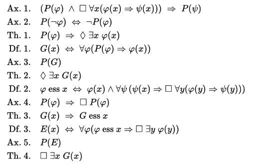
Gödel ei piirdunud sellega, et tõi välja Anselmi vead, vaid ta nägi siin väljakutset. Ja ta lõi oma versiooni ontoloogilisest tõestusest, mis koosneb kolmest definitsioonist, kuuest aksioomist, kolmest teoreemist ja ühest järelmist. Ma ei pea ennast piisavalt pädevaks, et esitada Gödeli tõestuse kohta oma arvamus, asjaarmastajad võivad nautida neid siit:
Nagu ka Ameerika Ühendriikide põhiseaduse puhul, kestavad vaidlused Gödeli Jumala olemasolu tõestuse üle siiamaani.
Lõpetada aga tahaksin isiklikumat laadi seigaga. Üle pika aja nägin oma parimat lapse- ja noorpõlvesõpra, kes lõpetas omal ajal TÜs teoreetilise füüsika eriala, praegu on aga USAs edukas it-spetsialist. Ta on laia silmaringiga agnostik ja skeptik. Tema peamine tegevusvaldkond on riistvara projekteerimine, kuid ta on samuti loonud tarkvaralahendusi nii panganduse kui ka biofüüsika valdkondades. Veel armastab ta intellektuaalseid provokatsioone ja on mind korduvalt pilanud mu religioossuse pärast. Kuid nüüd rääkis ta sellist juttu: hiljuti juhtus ta viibima ühes heade tuttavate suures seltskonnas, mis koosnes eranditult edukatest kõvade erialade esindajatest (seal oli füüsikuid, programmeerijaid ja arste), kes kõik olid nagu temagi agnostikud ja skeptikud. Seal pakkus ta pärast seda, kui üks seltskonnaliige tegi pilkava märkuse religiooni kohta, välja järgmise väljakutse: ta esitab neile viis probleemi, mis tõestavad, et Jumal on pigem olemas kui mitte olemas. Kahjuks viiendat ta enam ei mäletanud, kuid esimesed neli olid järgmised:
1. Big bang. On loogiline mõelda, et selle tekkeks oli mingi põhjus. See põhjus ei saanud olla algsingulaarsuse sees, vaid pidi tulema väljaspoolt.
2. Universumi kirjeldamiseks kasutame me seadusi ja konstante. Seadused on inimese formuleeritud ja inimesele arusaadavad. Konstantide päritolu ja väärtus ei ole ratsionaalselt seletatavad. Küll aga võib väita, et erinevad konstandid ei ole omavahel seotud. Sellegipoolest on kõikide fundamentaalsete konstantide väärtus selline, et tegi võimalikuks tähtede ja lõpuks ka elu tekke. Kui ühegi konstandi väärtus oleks veidigi teistsugune, oleks universum täiesti teine ning selles poleks olnud võimalikud ei tähtede, planeetide ega elu teke. Mis või kes kooskõlastas konstandid? (Analoogilistest arutlustest lähtub nn antroopsusprintsiip, omamoodi religioon ateistidele).
3. Rakk. Ei ole ühtegi biofüüsilist või biokeemilist mehhanismi, mis seletaks raku tekkimist elutust loodusest. Rakk ei teki. Ta on juba olemas valmiskujul. Kust see tuleb? Märkus : sageli võib kuulda, et elu, sh ka raku tekke on ära seletanud Darwin. See ei vasta tõele. Darwin oli ise religioosne inimene ja lõpetab oma opus magnumi "Liikide tekkimine" sellise lausega: "Elu oma ilmingute paljususes pärineb ühest või mõnest üksikust vormist, millesse Looja on puhunud elu sisse."
4. Enrico Fermi küsimus. Kui loodusseadused, nagu õpetavad meile füüsika ja kosmoloogia, on kogu universumis samad, siis peaks olema väga suur arv maataolisi planeete, millel on mõistusega elu. Fermi küsimus: kus nad kõik on?
Seltskonna reaktsioon oli huvitav. Mitte keegi ei olnud nõus, et kõik viis probleemi on seletamatud, samas aga oli igaühel mingi probleem (erinevatel inimestel erinevad), mille kohta ta arvas, et see on tõeline. Nüüd aga palus mu sõber, et nemad kui ratsionaalsed ja ettevaatlikud inimesed valiksid, kummale paketile nad panustaksid oma raha, kas sellele, et Jumal on olemas, või sellele, et teda ei ole. Ja big bang tekkis iseenesest. Konstandid harmoneerusid juhuslikult. Rakk tekkis samuti kuidagimoodi iseenesest. Ning rohelised mehikesed lihtsalt peidavad ennast meie eest. Ning selgus, et mitte ükski, hoolimata kogu oma agnostitsismist ja skeptitsismist, ei valinud seda teist paketti. Veendumused veendumusteks, aga oma raha on oma raha.
Seekord otsustasin kirjutada mitte päkapikkudest, vaid ühest möödunud sajandi väljapaistvamast ja omapärasemast mõtlejast Kurt Gödelist, kelle surmast möödub 14. jaanuaril nelikümmend aastat.Läbi ajaloo on inimkonnal olnud mitmesuguseid suuri sihte, omamoodi unistusi, mis on ajastuti ja kultuuriti olnud erinevad. Näiteks keskaja alkeemikutel olid nendeks filosoofide kivi (lapis philosophorum), mille abil võib kõik teised elemendid muuta kullaks, ning elueliksiir (elixirium vitae), mille manustamine tagab igavese elu ja isegi nooruse. Filosoofide kivi on oma algupärasel kujul päevakorralt maas, mis aga puudutab elueliksiiri, siis viimase kallal töötab aktiivselt nüüdisaegne meditsiingi, tõsi küll, igavene noorus on märkamatult transformeerunud igaveseks vanaduseks.
On raske kujutada ette mõjukamat ja edukamat teadlast kui Gottfried Wilhelm Leibniz. Ta oli edukas kõikidel aladel, millega ta tegeles, aga ta tegeles filosoofiaga, teoloogiaga, loogikaga, füüsikaga, mehaanikaga, matemaatikaga, ajalooga, leiutamisega, keeleteadusega, juuraga. Lisaks sellele oli ta autoriteetne ühiskonna- ja riigitegelane, diplomaat. Ta oli mees, kelle ideed ja sõnad lubasid lõpetada nõiaprotsessid vähemalt saksa protestantlikel aladel.
Öeldu valguses on raske kujutada ette, et ta oli luuser. Nimelt läksid luhta kaks talle endale kõige olulisemat projekti: luua ideaalne keel, milles ei saa valetada (characteristica universalis), ning tõestada Jumala olemasolu (theodicaea). Nagu Leibnizil ikka, olid ka tema läbikukkumised ülimalt õpetlikud ja viljakad ning stimuleerisid loogika, filosoofia, keeleteaduse ja teoloogia arengut. Characteristica universalise probleemi võiks sõnastada järgmiselt. Iga keele ütluste puhul võime eristada kahte aspekti: esiteks, kas nad on grammatiliselt õiged või vigased, teiseks, kas nad on tõesed või väärad. Need aspektid ei ole omavahel seotud -- esimesega tegeleb grammatika, teisega semantika. Ülim ülesanne aga seisnes sellise keele loomises, kus need asjad oleksid lahutamatud: grammatiliselt õiged laused oleksid automaatselt ka tõesed, aga kõik valed väited oleksid automaatselt ka grammatiliselt vigased. Tegu oleks omamoodi filosoofide kiviga, mis aga tooks välja mitte kulla, vaid tõe. Ehkki seda ülesannet Leibniz lahendada ei suutnud, andsid tema katsed suure tõuke matemaatilise loogika, analüütilise filosoofia, kombinatoorika, programmeerimise ja veel mitmete teiste distsipliinide arenguks. Tema ideed selles valdkonnas inspireerisid Kanti, Freget, Russelli jt.
Skeem Leibnitzi väitekirjast Sama kehtib ka jumalatõestuse kohta. Leibniz püüdis ühendada oma ratsionalistliku filosoofia piibliusuga. Eriti oluline oli talle näidata, et tema monadoloogia ei vastandu kristliku (ennekõike protestantliku) õpetusega. Ehkki ta ei saavutanud täisedu, andis tema käsitlus suure tõuke modaalsele loogikale ja võimalike maailmade semantikale.Characteristica universalise probleem muutus aga uuesti aktuaalseks seoses nn teise Hilberti probleemiga (see puudutab aritmeetika aluseid ja nende sisemist vastuolulisust) ning põnevate arengutega keelefilosoofia ja loogilise positivismi valdkonnas. Tundus, et on võimalik täiesti formaliseerida kogu matemaatika ja -- mis siis ikka -- ka kõik teadused ja teadmised. Need unistused purustas Gödel 1930. aastal, kui ta esitas matemaatilisel kongressil Königsbergis oma kaks kuulsaks saanud mittetäielikkuse teoreemi. Aasta hiljem avaldas ta artikli "Über formal unentscheidbare Sätze der Principia Mathematica und verwandter Systeme I" (nagu selgub juba selle pealkirjast, on see suunatud mitte niivõrd Leibnizi, kuivõrd Russelli vastu). Gödel tõestas, et formaalne süsteem ei saa olla korraga sidus (konsistentne) ja täielik: kui süsteem (sh keel) on täielik, siis see pole sidus, kui süsteem on sidus, pole see täielik.
Noor Kurt Gödel: "Me peame teadma, me hakkame teadma" (1930) Enne kui me läheme Gödeli theodicaea juurde, paar üldisemat sõna tema iseloomu kohta. Gödel oli standardse geeniuse kuju kehastus, st friik. Selle poolest erines ta radikaalselt nii Leibnizist kui oma sõbrast Albert Einsteinist -- mõlemad olid normaalsed ja mitmes valdkonnas edukad inimesed. Kuid õige geenius ei tohi olla normaalne ja Gödel vastas täpselt geeniuse stereotüübile: lahendab neid probleeme, mida keegi teine maailmas lahendada ei suuda, ja ei oska kõige elementaarsemaid asju, millega saab hakkama iga kollanokk. Gottlob Frege arvas, et loogika võib olla matemaatika alus, ja seda suunda nimetatakse matemaatikas logitsismiks. Pärast seda püüti loogika abil lahendada igasuguseid mentaalseid ja ka elulisi probleeme.
Gödel oli totaalne logitsist, teda võiks nimetada panlogitsistiks, ja see ta lõpuks ka hukutas. Tal olid niigi paranoilised kalduvused, kuid panlogitsism süvendas neid veelgi. Nii tõestas ta loogiliselt, et teda tahetakse ära tappa mürgitamise teel, ja kuna ta täpselt ei teadnud, kelle poolt, sai ta süüa vaid seda toitu, mida pakkus talle tema naine. Hiljem aga tõestas ta, et teda tahetakse endiselt mürgitada, ja puht loogiliselt tähendas see, et mürgitajate hulgas on ka tema naine. Niisiis, ainus võimalus surma vältida oli mitte süüa. Ja nii vältis ta mürgitamist. Ta suri nälga. Tema surnukeha kaalus 29 kilo.
Gödel ja Einstein Princetonis 1940. aastal põgenes Gödel Austriast natsirežiimi eest USAsse. Mõne aja pärast oli tal võimalus saada USA kodanikuks. Kodakondsuseksamiks pidi ta õppima ära põhiseaduse. Tema soovitajateks olid kuulus majandusteadlane Oskar Morgenstern, keda koos John von Neumanniga peetakse matemaatilise mänguteooria rajajaks, ja veel kuulsam teadlane Albert Einstein. Eksamineerija oli Einsteini tuttav ja tema suur austaja ning Morgenstein ja Einstein uskusid, et tegu on üsna formaalse toiminguga, mis läheb ilma viperusteta. Kuid lugedes USA põhiseadust, läks Gödel endast välja ning rääkis erutatult Morgensteinile ja Einsteinile, et Ameerika põhiseadus ei kaitse fašistliku diktatuuri kehtestamise eest. Einstein võttis seda naljana ja soovitas sellest eksamil mitte rääkida. Läks aga teisiti. Eksamineerija küsis: milliselt maalt te tulete. Gödel vastas: Austriast -- see oli demokraatlik vabariik, kuid muutus tänu oma põhiseadusele lõpuks diktatuuriks. Eksamineerija vastas, et paha lugu, kuid selles riigis ei saa seda juhtuda. Gödel aga vastas: oo jaa, saab küll, ja ma võin seda tõestada. Einstein ja Morgenstern olid väga ehmunud, kuid nagu kirjutab Morgenstern, viis intelligentne eksamineerija jutu kiiresti teisale ning Gödel sai kodakondsuse. Nüüd aga probleem, mis vaevab loogikuid ja juriste juba seitsekümmend aastat. Gödel ei naljatanud kunagi ja kõik tema väited olid alati loogiliselt tõestatavad, kuid millise vea leidis ta Ameerika Ühendriikide põhiseaduses, pole siiamaani selge. Morgensterni memoga saab tutvuda siin.
Nüüd aga veidi lihtsam ülesanne: Jumala olemasolu tõestamine.
Siinkohal tuleks rääkida mõne sõnaga theodicaea'de ajaloost. Siin on tegemist kahe probleemi: esiteks, kas Jumal on olemas, teiseks, mis on kurjuse allikas ja miks Jumal seda lubab. Polüteistlikes ja dualistlikes religioonides pole viimane probleem, kuna neis eksisteerivad jumalused, kes vastutavad kurjuse eest, nagu nt zoroastrismi kurjuse jumal Angra Mainyu, kes on Ahura Mazda ürgvaenlane. Või asteekide Huitzilopochtli, kes on Quetzalcoatli igipõline vastane. Teisiti on kristluses, kus kõrvale jättes mitmed hereesiad ei saa kurjus olla jumaliku tahte tulemus: Jumal on hea ja kõik, mida ta teeb, on samuti hea. Saatan ei ole Jumala antagonist, ta on üksnes langenud ingel, üks peainglitest, kelle alistas isegi mitte Jumal ise, vaid teine peaingel Miikael. Kust siis pärineb kurjus? Vastuseid on erinevaid. Neist optimistlik tuleb Aquino Thomaselt: kurjusel pole allikat ega iseseisvat tahet, kurjus on vaid headuse puudus. Nii nagu pole allikat ka pimedusel: pimedus on vaid valguse puudus ja see, mida me tunneme kurjusena, on vaid takistused, mis tõkestavad jumalikuse/valguse langemist. Nii on kurjus omamoodi headuse vari. Allpool peatume vaid esimesel, Jumala olemasolu küsimusel.
Ajaloo jooksul on Jumala olemasolu tõestusi erinevates religioonides kogunenud paarikümne ringis, ainuüksi Aquino Thomas pakkus neid välja viis. Paraku on neis kõigis loogilisi vigu. Neid märkasid nii Leibniz kui ka Kant, kes püüdsid mõlemad luua valiidse tõestuse. Leibniz püüdis selle siduda modaalse loogikaga ja tõenäosuse mõistega. On selge, et Jumal tegutseb universumit luues mitte juhuse, vaid kindla plaani järgi, ja kuna ta on ise täiuslik olend, valib ta kõikidest võimalustest parima. Seega on olemas lõpmatu arv võimalikke maailmu ja see meie oma, aktuaalne maailm, on nendest parim. See ei ole veel mingi tõestus, vaid selle ettevalmistus. Kuid ka niisugusel kujul mõjutas see oluliselt 18. sajandi kultuuri ja tähistas pessimistliku barokse maailmavaate vahetumist optimistliku ratsionalismi vastu. Ent juba sajandi lõpul muutus see tänu Voltaire'ile pilkeobjektiks. Voltaire'i tegelane Pangloss on leibniziaan, kes satub pidevalt mingisugustesse äpardustesse, kuid korrutab muudkui mantrat: kõik aina paremuse poole selles parimas maailmas.
Kõige võimsam ja samas kõige problemaatilisem on nn ontoloogiline tõestus, mida kristlikus traditsioonis seostatakse ennekõike Canterbury Anselmiga. Idee on lihtne: kui Jumal on kõige täiuslikum olend, st kõikide positiivsete omaduste summa, siis peab ta eksisteerima, kuna eksisteerimine on positiivne omadus. Paraku on siin loogiline viga, millele on osutanud mitmed filosoofid, teiste seas ka Kant: nimelt eksisteerimine ei ole predikaat. Juba Anselmi kaasaegne Gaunilo Marmoutiers'st parodeeris Anselmi: kujutame ette ideaalset saart, mis on kõikidest -- nii olemasolevatest kui ka mõttelistest saartest -- parim, järelikult ta eksisteerib (seda formuleeringut armastas meelde tuletada Russell).
Gödel ei piirdunud sellega, et tõi välja Anselmi vead, vaid ta nägi siin väljakutset. Ja ta lõi oma versiooni ontoloogilisest tõestusest, mis koosneb kolmest definitsioonist, kuuest aksioomist, kolmest teoreemist ja ühest järelmist. Ma ei pea ennast piisavalt pädevaks, et esitada Gödeli tõestuse kohta oma arvamus, asjaarmastajad võivad nautida neid siit:
Nagu ka Ameerika Ühendriikide põhiseaduse puhul, kestavad vaidlused Gödeli Jumala olemasolu tõestuse üle siiamaani.
Lõpetada aga tahaksin isiklikumat laadi seigaga. Üle pika aja nägin oma parimat lapse- ja noorpõlvesõpra, kes lõpetas omal ajal TÜs teoreetilise füüsika eriala, praegu on aga USAs edukas it-spetsialist. Ta on laia silmaringiga agnostik ja skeptik. Tema peamine tegevusvaldkond on riistvara projekteerimine, kuid ta on samuti loonud tarkvaralahendusi nii panganduse kui ka biofüüsika valdkondades. Veel armastab ta intellektuaalseid provokatsioone ja on mind korduvalt pilanud mu religioossuse pärast. Kuid nüüd rääkis ta sellist juttu: hiljuti juhtus ta viibima ühes heade tuttavate suures seltskonnas, mis koosnes eranditult edukatest kõvade erialade esindajatest (seal oli füüsikuid, programmeerijaid ja arste), kes kõik olid nagu temagi agnostikud ja skeptikud. Seal pakkus ta pärast seda, kui üks seltskonnaliige tegi pilkava märkuse religiooni kohta, välja järgmise väljakutse: ta esitab neile viis probleemi, mis tõestavad, et Jumal on pigem olemas kui mitte olemas. Kahjuks viiendat ta enam ei mäletanud, kuid esimesed neli olid järgmised:
1. Big bang. On loogiline mõelda, et selle tekkeks oli mingi põhjus. See põhjus ei saanud olla algsingulaarsuse sees, vaid pidi tulema väljaspoolt.
2. Universumi kirjeldamiseks kasutame me seadusi ja konstante. Seadused on inimese formuleeritud ja inimesele arusaadavad. Konstantide päritolu ja väärtus ei ole ratsionaalselt seletatavad. Küll aga võib väita, et erinevad konstandid ei ole omavahel seotud. Sellegipoolest on kõikide fundamentaalsete konstantide väärtus selline, et tegi võimalikuks tähtede ja lõpuks ka elu tekke. Kui ühegi konstandi väärtus oleks veidigi teistsugune, oleks universum täiesti teine ning selles poleks olnud võimalikud ei tähtede, planeetide ega elu teke. Mis või kes kooskõlastas konstandid? (Analoogilistest arutlustest lähtub nn antroopsusprintsiip, omamoodi religioon ateistidele).
3. Rakk. Ei ole ühtegi biofüüsilist või biokeemilist mehhanismi, mis seletaks raku tekkimist elutust loodusest. Rakk ei teki. Ta on juba olemas valmiskujul. Kust see tuleb? Märkus : sageli võib kuulda, et elu, sh ka raku tekke on ära seletanud Darwin. See ei vasta tõele. Darwin oli ise religioosne inimene ja lõpetab oma opus magnumi "Liikide tekkimine" sellise lausega: "Elu oma ilmingute paljususes pärineb ühest või mõnest üksikust vormist, millesse Looja on puhunud elu sisse."
4. Enrico Fermi küsimus. Kui loodusseadused, nagu õpetavad meile füüsika ja kosmoloogia, on kogu universumis samad, siis peaks olema väga suur arv maataolisi planeete, millel on mõistusega elu. Fermi küsimus: kus nad kõik on?
Seltskonna reaktsioon oli huvitav. Mitte keegi ei olnud nõus, et kõik viis probleemi on seletamatud, samas aga oli igaühel mingi probleem (erinevatel inimestel erinevad), mille kohta ta arvas, et see on tõeline. Nüüd aga palus mu sõber, et nemad kui ratsionaalsed ja ettevaatlikud inimesed valiksid, kummale paketile nad panustaksid oma raha, kas sellele, et Jumal on olemas, või sellele, et teda ei ole. Ja big bang tekkis iseenesest. Konstandid harmoneerusid juhuslikult. Rakk tekkis samuti kuidagimoodi iseenesest. Ning rohelised mehikesed lihtsalt peidavad ennast meie eest. Ning selgus, et mitte ükski, hoolimata kogu oma agnostitsismist ja skeptitsismist, ei valinud seda teist paketti. Veendumused veendumusteks, aga oma raha on oma raha.
Published on December 23, 2017 14:14
December 20, 2017
Arseni Roginski (30.03.1946 — 18.12.2017)
... ta oli mu sõber. Õigemini, tema, kes ta oli minust kuus aastat vanem, oli mulle omamoodi guru, ehkki kuni oma elu lõpuni polnud ta minu jaoks mitte Arseni Borissovits, isegi mitte Senja, vaid Senka. Kui ta astus Tartu Ülikooli, olin ma neljateistkümne-, tema aga kahekümneaastane.
Ta paistis silma oma erakordse andekuse ja mässumeelsusega. Roginskist sai mu isa lemmikõpilane ja pidev mureallikas. Tal olid konfliktid dekanaadiga ning ta visati ühiselamust välja.
Tartu Ülikooli tudeng (1964) Niikaua, kui ta endale ulualust otsis, elas ta meil, minuga ühes ja samas toas. Teistkordselt elasime samas toas siis, kui töötasime mõlemad Puškini mägedes ekskursioonijuhtidena ning sealgi oli mul temalt palju õppida, ehkki mul pole kunagi olnud tema sarmi ega sära.
Kuuekümnendate aastate keskel kaldus mu isa kirjandusloost järjest enam kirjandusteooria ja semiootika poole ning Roginski oli üks neid tema õpilasi, kes oli sellest häiritud, rõhutades alati, et ta on Lotmani õpilane, kuid mitte semiootik. Ühes hilisemas intervjuus rääkis Roginski:
"Tartu Ülikoolis kohtasin ma oma mentorit, tollal neljakümneaastast professorit Juri Lotmanit. Ta oli suurepärane asjatundja vene ühiskondlikus mõtteloos ja 18.-19. sajandi kirjanduses ning tema säravad loengud kujundasid minu huvisid pikaks ajaks. Koos oma hea tuttava Garik Superfiniga, kes tuli Tartusse Moskvast, rääkisime Lotmani ära, et ta viiks läbi memuaristikale pühendatud eriseminari. Seal sain ma aru, et memuaarid ei ole üksnes tunnistus ajastust või autorist, vaid ennekõike kunstiline tekst, mis on üles ehitatud kindlate žanriseaduste järgi. Tudeerisin innukalt mind huvitavaid aineid, valasin higi Karamzini kohal, uurisin dekabriste. (...) Kui minu õpetaja Lotman hakkas tegelema kirjandus-, kino- ja kunstiteooriaga (mis tõi talle peagi maailmakuulsuse), otsustasin, et ei järgne talle. Mind ei huvitanud "kuidas see on tehtud", vaid kuidas inimesed elasid, millest nad mõtlesid — ajalugu, selle sotsiaalsed ja psühholoogilised aspektid. Ja veel soovisin ma taastada kaotsiläinud saatused. Deklareerisin siis, et ajastu väljendab ennast kõige sügavamalt mitte suurtes inimestes, mitte liidrites, vaid teisejärgulistes intelligentides. See tähendab, et tuleb uurida Puškini ajastu teisejärgulisi poeete ja teise ešeloni dekabriste, kellest on mälestus juba peaaegu kustunud. Ei ole eriti sügav mõte, kuid minu jaoks oli see siis (ja mõningate modifikatsioonidega ka hiljem) väga oluline. Selleks ajaks sattusin ma juba narkootilisse sõltuvusse arhiividest, kust kogusin piiskhaaval väikseid fakte selliste inimeste biograafiatest. Kui ma esimest korda sisenesin arhiivi, hakkas mul süda kloppima; tundsin rahutust, mis saadab mind juba 35 aastat iga kord, kui ma lähenen dokumendile."
Kirjandusloost läks ta üle puhtale ajaloole ning temast sai üks parimaid 19. sajandi alguse marginaalsete vene tegelaste asjatundjaid. Tema teine uurimisvaldkond oli aga seotud Stalini repressioonide ja Nõukogude võimu vastase liikumise ajalooga. See viis ka tema enda dissidentlikku liikumisse. Ta lõi põrandaaluse ajakirja "Mälu" ning oli perestroika ajal üks vene Memoriali asutajaid. Nõukogude võimu repressioonidest teadis ta isikliku kogemuse kaudu. Tema insenerist isa kuulutati rahvavaenlaseks ja hukati ning Arseni sündiski asumisel. Hiljem sai temast endast poliitvang: KGB otsis põhjust tema neutraliseerimiseks ning tal soovitati tungivalt Nõukogude Liidust emigreeruda. Kui ta keeldus, arreteeriti ta dokumentide võltsimise süüdistusega ning talle määrati neli aastat sunnitööd.
Vanglas (1983) Tähtsad dokumendid, mille ta olevat võltsinud (perestroika ajal selgus, et seegi süüdistus oli fabritseeritud), olid talle antud soovituskirjad arhiivis töötamiseks ning ehkki kõik tema soovitajad kinnitasid kohtus, et nad tõepoolest need kirjutasid, tunnistas kohus need võltsinguteks (alles 1992. aastal Roginski rehabiliteeriti täielikult ning süüdistus tunnistati fabrikatsiooniks). Isegi KGB praktikas on see üsna unikaalne juhus. Ta istus ära kõik neli aastat, kusjuures ta sõpru šantažeeriti pidevalt, et kui nad oma ajaloouurimust jätkavad, ei tule Roginski vangist elusana välja. Kui Nõukogude Liit kokku varises ja võimule tuli president Jeltsin, soosis ta Memoriali. Kui president Meri initsiatiivil loodi Inimsusevastaste Kuritegude Uurimise Rahvusvahelise Komisjon, kutsus president isiklikult just Arseni Roginski esindama ja koordineerima Venemaa poolset suunda. Selle töö eest autasustati teda ka Maarjamaa Risti II klassi ordeniga. Samal ajal uuris ta ka kuritegusid Poola riigi ja kodanike vastu, mis märgiti samuti kõrgelt ära. Kuid Putini ajal hakkasid asjad muutuma.
Memorial, mis pole poliitiline, vaid puhtalt ajaloolis-valgustuslik organisatsioon, sattus põlu alla ning langes erinevate piirangute ja tagakiusamiste ohvriks. Roginski mõistis, et nüüd ei saa seda tööd enam teha n-ö poole kohaga, loobus oma teadustööst ja sukeldus administratiivsetesse kohustustesse. Tema karisma ja tema energia olid nakatavad. Kolleegid võrdlesid teda keravälguga...
Viimast korda nägin Senkat Tallinnas Kuuendatel Lotmani päevadel, kuhu ta oli kaasa toonud grupi oma kaastöötajaid, kes tutvustasid Memoriali tegevust, kusjuures seda ennekõike kadunud inimeste saatuse väljaselgitamisel nii stalinlike repressioonide ajal kui ka nüüdisaja Tšetseenias. Ta oli endiselt särav ja lõbus ning ma ei osanud aimatagi, et tal on juba kaugelearenenud onkoloogiline haigus. See ei allunud ravile Venemaal ning viimases lootuses sõitis ta Iisraeli, kus ta ka suri.
Published on December 20, 2017 15:11
October 19, 2017
Larissa Volpert (30. märts 1926 — 1. oktoober 2017)
Pärast lühiajalist haigust suri New Yorgis kuulus maletaja ja kirjandusteadlane Larissa Volpert, kes oma elu kõige õnnelikuma perioodi elas Tartus. Tema 85. sünnipäeva puhuks tegin väikese postituse, mida saab lugeda siit.
Larissa Volpert oli üks energilisemaid ja elurõõmsamaid inimesi, keda ma olen tundnud. Tema elu ei olnud aga sugugi kerge ei sõjaeelses noorpõlves ega sõjajärgsel perioodil. Holokaustis hävitati kõik tema Lätis elanud sugulased (aga neid oli kolmekümne ringis), kes ei tahtnud evakueeruda Nõukogude Liitu, kuna sakslased on kultuurne rahvas ja Saksa okupatsioonis ei olevat midagi hirmsat -- I maailmasõja ajal nad elasid selle juba üle. Vastupidi, nad soovitasid ka temal jääda, kuid Larissa, nagu ta ise ütles, hüppas viimasel hetkel viimasele rongile, et olla siiski oma vanematega. Kuid Larissa ei murdunud: ta otsis elus pidevalt väljakutseid ja tal oli lausa tung teisi abistada. Õpetamine oli tema kirg ja ehkki tal oli ülikoolides suur koormus, andis ta kodus pidevalt suurematele või väiksematele gruppidele nii male- kui ka prantsuse keele tunde.
Nõukogude Liidu meister, rahvusvaheline suurmeister
Sõja järel Nõukogude Liidus toimunud antisemiitliku kampaania ajal oli temal ja ta abikaasal võimatu leida erialast tööd Leningradis, kuid Pavel Reifman sai tööd Tartu Ülikoolis. Larissa Volpertile oli aga Tartule lähim võimalik töökoht Pihkva Pedagoogiline Instituut, kus ta õpetas prantsuse keelt ja väliskirjandust. Samas jätkas ta aktiivset maletamist ja kui ta viimast korda tuli Nõukogude Liidu meistriks, kutsuti ta Pihkva raadiosse intervjuud andma. Intervjuu ajal aga küsiti temalt, millist soovilugu ta kuulata tahaks. Larissa pakkus midagi. Seepeale kostis saatejuht, et seda neil kahjuks pole, küsigu midagi muud. Larissa küsis. Sama lugu. Ja nii mitu korda. Siis aga uuris Volpert ise, millised palad neil olemas on, et ta saaks nende seast valida. Selgus, et pala on ainult üks, nimelt Ogiński Polonees. Noh, kui Ogiński, siis Ogiński.
Pavel Reifman ja Larissa Volpert
Paar sõna Larissa Volpertist ja Eestist. Nagu paljudel teistel juudi intellektuaalidel oli ka temal pärast sõda Leningradis võimatu tööd leida ja Eesti oli sarnaselt teistele okupeeritud Balti riikidele neile õnnelik väljapääs. Kuid varsti sai osa neist aru, et see pole õnnelik juhus. Antisemiitliku kampaaniaga Venemaal kaasnes natsionalismivastane venestamiskampaania Baltikumis. See oli Stalini tavaline poliitika: represseeritu peab osalema teiste represseerimisel. Ning Venemaalt väljatõrjumisega nähti neis venestamispoliitika instrumente okupeeritud Baltimaades.
Pavel Reifman oli üks esimesi, kes seda mõistis, ja keeldus selles osalemast. See oli isegi enne seda, kui analoogilisele järeldusele ja seisukohale jõudsid minu vanemad, st enne XX Kongressi ja Budapesti ülestõusu verist allasurumist (1956). Larissast sai Tartu püsielanik alles 1977. aastal, enne seda sai ta oma abikaasat näha vaid nädalavahetustel. Ning ta hakkas kohe õppima eesti keelt, mõnikord oli see vahetuskaup: tema õpetab prantsuse keelt, vastu saab eesti keelt. Kuid ta õppis ka ise. Kõrge vanuseni käis ta Tähtvere pargis sporti tegemas ning tavaliselt oli tal kaasas paberileheke eesti sõnadega. Nagu nii mõnelgi teisel vanemal inimesel ei läinud tal eesti keele õpingud nii hästi, kui ta lootis, kuid ta ei süüdistanud selles kunagi kedagi teist peale oma vanaks jäänud ajude. Perestroika ajal osalesid Reifmanid aktiivselt demokratiseerumisprotsessis ning tervitasid entusiastlikult Eesti taasiseseisvumist.
Reifmanite kodus (1984)
Reifmanite kodus oli pidevalt noori. Larissa korraldas improviseeritud teatrietendusi, igasuguseid intellektuaalseid pidusid ja mänge ning püüdis oma energiat ja optimismi süstida ka noortesse. Siiski lõi Pavel Reifmani surm 2012. aastal ta rööpast välja. Ta oli kogu elu vapper naine, kuid nüüd hakkas ta pelgama üksinda korteris olemist ning sõitis oma poja juurde New Yorki. Kuid seal tõusis tal uus optimismilaine. Tähtvere pargi asemel jalutas ta nüüd Hudsoni jõe kaldal ja hakkas päris vanast peast luuletama. Erinevalt Tartust pidi tema meelest iga newyorklane autot juhtima ja valmistudes saama ameeriklannaks tegi ta kaheksakümnendate eluaastate teisel poolel ära autojuhieksami. See on tüüpiline Larissa Volpert.
Lähtudes tema soovist, maetakse Larissa Volperti tuhk Tartus Raadi kalmistule Pavel Reifmani kõrvale.
Larissa Volperti ärasaatmine toimub Raadi kalmistu kabelis 28. oktoobril 12:00.
Larissa Volpert oli üks energilisemaid ja elurõõmsamaid inimesi, keda ma olen tundnud. Tema elu ei olnud aga sugugi kerge ei sõjaeelses noorpõlves ega sõjajärgsel perioodil. Holokaustis hävitati kõik tema Lätis elanud sugulased (aga neid oli kolmekümne ringis), kes ei tahtnud evakueeruda Nõukogude Liitu, kuna sakslased on kultuurne rahvas ja Saksa okupatsioonis ei olevat midagi hirmsat -- I maailmasõja ajal nad elasid selle juba üle. Vastupidi, nad soovitasid ka temal jääda, kuid Larissa, nagu ta ise ütles, hüppas viimasel hetkel viimasele rongile, et olla siiski oma vanematega. Kuid Larissa ei murdunud: ta otsis elus pidevalt väljakutseid ja tal oli lausa tung teisi abistada. Õpetamine oli tema kirg ja ehkki tal oli ülikoolides suur koormus, andis ta kodus pidevalt suurematele või väiksematele gruppidele nii male- kui ka prantsuse keele tunde.
Nõukogude Liidu meister, rahvusvaheline suurmeister Sõja järel Nõukogude Liidus toimunud antisemiitliku kampaania ajal oli temal ja ta abikaasal võimatu leida erialast tööd Leningradis, kuid Pavel Reifman sai tööd Tartu Ülikoolis. Larissa Volpertile oli aga Tartule lähim võimalik töökoht Pihkva Pedagoogiline Instituut, kus ta õpetas prantsuse keelt ja väliskirjandust. Samas jätkas ta aktiivset maletamist ja kui ta viimast korda tuli Nõukogude Liidu meistriks, kutsuti ta Pihkva raadiosse intervjuud andma. Intervjuu ajal aga küsiti temalt, millist soovilugu ta kuulata tahaks. Larissa pakkus midagi. Seepeale kostis saatejuht, et seda neil kahjuks pole, küsigu midagi muud. Larissa küsis. Sama lugu. Ja nii mitu korda. Siis aga uuris Volpert ise, millised palad neil olemas on, et ta saaks nende seast valida. Selgus, et pala on ainult üks, nimelt Ogiński Polonees. Noh, kui Ogiński, siis Ogiński.
Pavel Reifman ja Larissa Volpert Paar sõna Larissa Volpertist ja Eestist. Nagu paljudel teistel juudi intellektuaalidel oli ka temal pärast sõda Leningradis võimatu tööd leida ja Eesti oli sarnaselt teistele okupeeritud Balti riikidele neile õnnelik väljapääs. Kuid varsti sai osa neist aru, et see pole õnnelik juhus. Antisemiitliku kampaaniaga Venemaal kaasnes natsionalismivastane venestamiskampaania Baltikumis. See oli Stalini tavaline poliitika: represseeritu peab osalema teiste represseerimisel. Ning Venemaalt väljatõrjumisega nähti neis venestamispoliitika instrumente okupeeritud Baltimaades.
Pavel Reifman oli üks esimesi, kes seda mõistis, ja keeldus selles osalemast. See oli isegi enne seda, kui analoogilisele järeldusele ja seisukohale jõudsid minu vanemad, st enne XX Kongressi ja Budapesti ülestõusu verist allasurumist (1956). Larissast sai Tartu püsielanik alles 1977. aastal, enne seda sai ta oma abikaasat näha vaid nädalavahetustel. Ning ta hakkas kohe õppima eesti keelt, mõnikord oli see vahetuskaup: tema õpetab prantsuse keelt, vastu saab eesti keelt. Kuid ta õppis ka ise. Kõrge vanuseni käis ta Tähtvere pargis sporti tegemas ning tavaliselt oli tal kaasas paberileheke eesti sõnadega. Nagu nii mõnelgi teisel vanemal inimesel ei läinud tal eesti keele õpingud nii hästi, kui ta lootis, kuid ta ei süüdistanud selles kunagi kedagi teist peale oma vanaks jäänud ajude. Perestroika ajal osalesid Reifmanid aktiivselt demokratiseerumisprotsessis ning tervitasid entusiastlikult Eesti taasiseseisvumist.
Reifmanite kodus (1984) Reifmanite kodus oli pidevalt noori. Larissa korraldas improviseeritud teatrietendusi, igasuguseid intellektuaalseid pidusid ja mänge ning püüdis oma energiat ja optimismi süstida ka noortesse. Siiski lõi Pavel Reifmani surm 2012. aastal ta rööpast välja. Ta oli kogu elu vapper naine, kuid nüüd hakkas ta pelgama üksinda korteris olemist ning sõitis oma poja juurde New Yorki. Kuid seal tõusis tal uus optimismilaine. Tähtvere pargi asemel jalutas ta nüüd Hudsoni jõe kaldal ja hakkas päris vanast peast luuletama. Erinevalt Tartust pidi tema meelest iga newyorklane autot juhtima ja valmistudes saama ameeriklannaks tegi ta kaheksakümnendate eluaastate teisel poolel ära autojuhieksami. See on tüüpiline Larissa Volpert.
Lähtudes tema soovist, maetakse Larissa Volperti tuhk Tartus Raadi kalmistule Pavel Reifmani kõrvale.
Larissa Volperti ärasaatmine toimub Raadi kalmistu kabelis 28. oktoobril 12:00.
Published on October 19, 2017 08:56
October 17, 2017
KOV 2017 tulemustest
Tänan südamest kõiki valijaid, kes mulle oma hääle usaldasid. Püüan teie usaldust õigustada.
Mu isiklikud tulemused ületasid kaugeltki minu ootusi (panin endale tagasihoidlikuks mõõduks 200 häält, arvestades erakonna populaarsuse langust). Mis puudutab erakonna tulemust, siis see on umbes selline, nagu ma arvasin (arvestasin 8% häältega). Võttes arvesse, et vahepeal ennustati meile pooleteistprotsendilist toetust, pole tulemus sugugi halb, ning näib, et erakond hakkab rongi alt välja tulema. Kui aga vaadata, mitu kohta me volikogus kaotasime, pole hõiskamiseks põhjust. Sellegipoolest võib üldtulemust pidada rahuldavaks ja see kohustab tõsiseks tööks erakonna uuesti ülesehitamisel. See oleks Eesti poliitilise arengu seisukohalt tähtis.
Tahtsin tähistada oma valimistulemust väikese klaasikesega, aga millegipärast ei saa seda kuidagi kallatud. Ju siis pole veel tähistamiseks põhjust.
Mu isiklikud tulemused ületasid kaugeltki minu ootusi (panin endale tagasihoidlikuks mõõduks 200 häält, arvestades erakonna populaarsuse langust). Mis puudutab erakonna tulemust, siis see on umbes selline, nagu ma arvasin (arvestasin 8% häältega). Võttes arvesse, et vahepeal ennustati meile pooleteistprotsendilist toetust, pole tulemus sugugi halb, ning näib, et erakond hakkab rongi alt välja tulema. Kui aga vaadata, mitu kohta me volikogus kaotasime, pole hõiskamiseks põhjust. Sellegipoolest võib üldtulemust pidada rahuldavaks ja see kohustab tõsiseks tööks erakonna uuesti ülesehitamisel. See oleks Eesti poliitilise arengu seisukohalt tähtis.
Tahtsin tähistada oma valimistulemust väikese klaasikesega, aga millegipärast ei saa seda kuidagi kallatud. Ju siis pole veel tähistamiseks põhjust.
Published on October 17, 2017 07:54
Mihhail Lotman's Blog
- Mihhail Lotman's profile
- 5 followers
Mihhail Lotman isn't a Goodreads Author
(yet),
but they
do have a blog,
so here are some recent posts imported from
their feed.

