Bart King's Blog, page 17

September 20, 2017

This is a shock — but apparently, we're getting a new addition to our household!

Getting baby news from the stork is old-fashioned. Today, Amazon's Baby Registry service will send you a priority email.
Now I have to go tell my wife the exciting news. Ooh, I need to get that book, What to Expect When You're NOT Expecting. But hang on, what's this —Great.WHAT AM I GOING TO DO WITH ALL THESE DIAPERS????


 •  0 comments  •  flag
Share on Twitter
Published on September 20, 2017 08:56

September 19, 2017

"Dang it, Simba — I just finished raking the Zen garden!"

"Oh, that's very upsetting." (Via.)
 •  0 comments  •  flag
Share on Twitter
Published on September 19, 2017 08:54

September 18, 2017

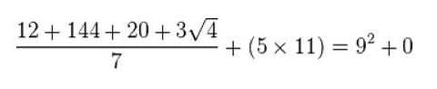
MATH POETRY?!

A dozen, a gross, and a scorePlus three times the square root of fourDivided by sevenPlus five times elevenis nine squared and not a bit more. 
— Anonymous

 •  1 comment  •  flag
Share on Twitter
Published on September 18, 2017 13:42

September 17, 2017

Fun at the Fair

I took my son to the fair and he had fun pic.twitter.com/Kk3mGjL1Qq

— Sath (@satherax) September 16, 2017
 •  0 comments  •  flag
Share on Twitter
Published on September 17, 2017 08:20

September 16, 2017

T-GIF!

"Hello! I'd like to order two cool people and one cool dog, please."
"Coming right up, sir! First, here's one of our very coolest humans." "But we are also very fond of this woman..." "And now for your final order — we hope you like it!"




 •  0 comments  •  flag
Share on Twitter
Published on September 16, 2017 09:15

September 15, 2017

September 12, 2017

I took a “shelfie.”

 •  0 comments  •  flag
Share on Twitter
Published on September 12, 2017 19:00

September 8, 2017

T-GIF!

Okay, whatever you do, just look out for those trees. I said LOOK OUT FOR THOSE— Never mind. 
Okay, just get to the top and slide on down. Right, now just SLIDE— Oh, just forget it.
 •  0 comments  •  flag
Share on Twitter
Published on September 08, 2017 14:16

September 7, 2017

So something awful happened in Portland...

This photo (by Kristi McCluer) was taken in the Columbia Gorge the other day. Tens of thousands of acres of forest are burning. Ash is falling in Portland, and it’s quite sad. 
Maybe the worst part of this is that the fire was started by people setting off fireworks in the wilderness. 
So just a reminder to everyone — please don’t do that!
 •  1 comment  •  flag
Share on Twitter
Published on September 07, 2017 13:00

September 5, 2017

Current status:

 •  0 comments  •  flag
Share on Twitter
Published on September 05, 2017 16:23