Paul Gilster's Blog, page 37
February 4, 2022
A New Search Space for Exomoons?

Given our recent discussion of exomoon candidate Kepler-1708 b-i, a possible moon 2.6 times the mass of Earth orbiting a gas giant, I want to be sure to work in Miki Najajima’s work on how moons form. Nakajima (University of Rochester) is first author of the paper describing this work. It’s a significant contribution because it points to a way to refine the target list for exomoon searches, one that may help us better understand where to look as we begin to flesh out a catalog of these objects..
And flesh it out we will, as the precedent of the rapidly growing exoplanet count makes clear. What I want to do today is consider how we’ve thus far proceeded. You’ll recall that when David Kipping and team performed their deep analysis of the data leading to Kepler-1708 b-i, they chose gas giants on orbits with a period of 400 days or more, so-called ‘cool worlds’ more like Jupiter than the ‘hot Jupiters’ found so frequently in early exoplanet studies. The method produced a strong candidate indeed.
But Nakajima’s work suggests that when it comes to fractionally large moons, super-Earths should be high on the target list. We need as large a moon as possible, one having the maximum gravitational effect on its planet so that it produces the most observable signature in terms of transit timing variations of the host world around its star. Working with colleagues at Tokyo Institute of Technology and the University of Arizona, Nakajima has concluded that rocky planets larger than 6 Earth masses are unlikely to produce large moons, as are icy planets larger than a single Earth mass.

Image: This is Figure 6 from the paper, titled “Schematic view of the mass range in which a fractionally large exomoon can form by an impact.” Caption: The horizontal axis represents the mantle composition and the vertical axis represents the planetary mass normalized by the Earth mass M⊕. Rocky planets smaller than 6 M⊕ and icy planets smaller than 1 M⊕ are capable of forming fractionally large moons as indicated by the orange shading. Our prediction is consistent with planet–moon systems in the solar system. Credit: Nakajima et al.
These conclusions grow out of computer simulations, modeling the kind of impact scientists generally believe produced our own fractionally large moon. In this view, the so-called Theia impactor, an object perhaps the size of Mars, struck the Earth early in its development, creating a partially vaporized disk around the planet that eventually produced the Moon. Nakajima’s team ran simulated rocky planets as well as icy worlds through collision scenarios, varying their masses and examining the resulting disks.
As to the parameters of the simulation, note this:
In this work, we use the fixed impact angle (θ = 48.6°) and the impact velocity (vimp = vesc), where vesc is the mutual escape velocity. The impact angle and velocity are similar to those for the canonical moon-forming impact models. The reason why we explore different mass ranges for the rocky and icy planets is that the required mass for complete vaporization is different between them…
The key to the results is the nature of the debris disk. A partially vaporized disk, like the one that presumably produced our own Moon, cools in these simulations and allows accreting ‘moonlets’ to emerge. These will eventually aggregate into a moon. But when the collisional disk is fully vaporized, these constituent parts experience strong drag from the vapor, causing them to disperse and fall onto the planet before forming a moon.
The six Earth mass cutoff marks the point in these simulations at which these planetary collisions begin to produce fully vaporized disks, rendering them incapable of forming the kind of fractionally large moons that will be easiest to detect. This finding could shake things up, because thus far we have been examining a search space largely defined by gas giants. From the paper:
Our model predicts that the moon-forming disk needs to be initially liquid or solid rich, supporting the canonical moon-forming impact model. Moreover, this work will help narrow down planetary candidates that may host exomoons; we predict that planets whose radii are smaller than ~1.6R⊕ would be good candidates to host fractionally large exomoons (≤6 M⊕ for rocky planets and ≤1 M⊕ for icy planets). These relatively small exoplanets are understudied (only four out of 57 exoplanets surveyed by the HEK [Hunt for Exomoons with Kepler] project are under this radius limit), which can potentially explain the lack of exomoon detection to date.

Image: This is Figure 1 from the paper, titled ‘Snapshots of giant impacts.’ Caption: The top two rows represent an impact between two rocky planets. The red-orange colors represent the entropy of the mantle material (forsterite). The iron core is shown in gray. The bottom two rows represent an impact between two icy planets. The blue-sky-blue colors represent the entropy of water ice, and the orange color represents forsterite. The scale represents 107 m. Credit: Nakajima et al.
Refining our target list is crucial for maximizing the return on telescope time using our various space-based assets, including the soon to be functioning James Webb Space Telescope. The paper continues:
Super-Earths are likely better candidates than mini-Neptunes to host exomoons due to their generally lower masses and potentially lower H/He gas contribution to the disk. This narrower parameter space may help constrain exomoon search in data from various telescopes, including Kepler, the Hubble space telescope, CHaraterising ExOPlanet Satellite (CHEOPS), and the James Webb Space Telescope (JWST).
As you would imagine, I went to David Kipping (Columbia University) for his thoughts on the Nakajima et al. result, he being the most visible exponent of exomoon research. His response:
“My main comment is that I’m pleased to see a testable theory regarding exomoons around terrestrial planets finally emerge. If scaled-up versions of the Earth-Moon system are out there up to 6 Earth masses, then we have a great shot at detecting those using HST/JWST.”
That science fictional trope of an Earth-sized moon orbiting a habitable zone gas giant may soon be joined by this new vision, large exomoons around super-Earths — even ‘double planets’ – which offer even more plot fodder for writers looking for exotic interstellar venues. Robert Forward’s Rocheworld inevitably comes to mind.
The paper is Nakajima et al., “Large planets may not form fractionally large moons,” Nature Communications 13, 568 (2022). Full text.
February 3, 2022
Planetary Birth around Dying Stars

Half a century ago, we were wondering if other stars had planets, and although we assumed so, there was always the possibility that planets were rare. Now we know that they’re all over the place. In fact, recent research out of Katholieke Universiteit Leuven in Belgium suggests that under certain circumstances, planets can form around stars that are going through their death throes, beginning the transition from red giant to white dwarf. The new work homes in on certain binary stars, and therein hangs a tale.
After a red giant star has gone through the stage of helium burning at its core, it is referred to as an asymptotic giant branch star (AGB), on a path that takes it through a period of expansion and cooling prior to its becoming a white dwarf. These expanding stars lose mass as the result of stellar wind, up to 50 to 70 percent of the total mass of the star. The result: An extended envelope of material collecting around the object that will become a planetary nebula, a glowing shell of ionized gas.
In binary systems, that stellar material coming off the star can evolve in interesting ways. While our standard view of planet formation involves circumstellar disks and planets emerging not all that long after the birth of their star, the KU Leuven work, led by Jacques Kluska, notes that in binary stars, a second star can gravitationally shape the gas and dust being ejected by a late stage red giant. From an observational perspective, this disk looks much like the disks that form around young stars.
To analyze the matter, the KU Leuven team assembled a catalog of all known post-AGB binaries that showed disks, compiling spectral energy distributions of 85 systems and examining the infrared characteristics of the various disk formations. Out of this emerged a catalog of different disk types. This is where things get intriguing. Between 8 and 12 percent of the cataloged systems are surrounded by what the paper calls ‘transition disks,’ meaning disks that show little or no low-infrared excess.
At the same time, these disks demonstrate a link with the depletion of refractory elements (metals highly resistant to heat) on the surface of the red giant star.
Jacques Kluska explains the significance of this result:
“In ten per cent of the evolved binary stars with discs we studied, we see a large cavity in the disc. This is an indication that something is floating around there that has collected all matter in the area of the cavity… In the evolved binary stars with a large cavity in the disc, we saw that heavy elements such as iron were very scarce on the surface of the dying star. This observation leads one to suspect that dust particles rich in these elements were trapped by a planet.”

Image: Discs surrounding so-called evolved binary stars not uncommonly show signs that could point to planet formation. Credit: N. Stecki.
In this scenario, it is possible that not just single planets but an entire system’s worth could eventually grow. We’ll have to see whether planets can be confirmed in some of these systems, and to do that the team intends to home in on the ten pairs of binary stars whose disks demonstrate a large cavity. Such confirmation would denote yet another method of planet formation, to add to what we’re learning about planets in white dwarf systems. The tendency of stars to grow planets, it seems, can manifest itself even in stellar death, a useful fact given that perhaps a third of all stars in the Milky Way are found in multiple star systems. And there is precedent:
…if the planetary explanation is correct for transition disks, it would mean that there is a pressure maximum outside the planet’s orbit, trapping the dust and creating a favorable environment for second-generation planet formation… The possibility of second-generation planet formation is further supported by the detection of two giant planets around the white-dwarf binary system NN Ser. These planets are candidates for having been formed in such second-generation disks… If the planetary scenario is confirmed, these disks would become a promising site for studying second-generation planet formation and, hence, planet formation scenarios in an unprecedented parameter space.
About 1700 light years away, NN Serpentis is a system containing an eclipsing white dwarf and an M-class dwarf. The existence of what are evidently two gas giants here has been inferred from transit timing variations that can be attributed to one planet of about 6 times Jupiter’s mass, the other of about 1.6 times Jupiter’s mass, both in circumbinary orbits around this extremely tight binary. This is an interesting system for models of planet formation that go well beyond the infancy of the host stars.
The paper is Kluska et al., “A population of transition disks around evolved stars: fingerprints of planets. Catalog of disks surrounding Galactic post-AGB binaries,” Astronomy & Astrophysics Vol. 658, A36 (01 February 2021). Full text. On NN Serpentis, see Völschow et al. ”Second generation planet formation in NN Serpentis?” Astronomy & Astrophysics Vol. 562 (February 2014) A19 (abstract). For more on late binary systems, see Winckel, “Binary post-AGB stars as tracers of stellar evolution,” in Beccari, ed., The Impact of Binary Stars on Stellar Evolution, Cambridge University Press, 2019 (preprint).
February 1, 2022
Unusual Transient: A New Kind of Magnetar?

Every time we look in a new place, which in astrophysics often means bringing new tools online, we find something unexpected. The news that an object has been detected that, for one minute in every 18, becomes one of the brightest radio sources in the sky, continues the series of surprises we’ve been racking up ever since first Galileo put eye to telescope. So what is this object, and why is it cause for such interest?
Here’s astronomer Natasha Hurley-Walker (Curtin University/International Centre for Radio Astronomy Research), who is lead author of the paper on the discovery:
“This object was appearing and disappearing over a few hours during our observations. That was completely unexpected. It was kind of spooky for an astronomer because there’s nothing known in the sky that does that. And it’s really quite close to us—about 4000 lightyears away. It’s in our galactic backyard.”

Image: A new view of the Milky Way from the Murchison Widefield Array in Western Australia, with the lowest frequencies in red, middle frequencies in green, and the highest frequencies in blue. The star icon shows the position of the mysterious repeating transient. Credit: Dr Natasha Hurley-Walker (ICRAR/Curtin) and the GLEAM Team.
Transients are nothing new to astronomers, but they usually don’t appear in this configuration. Pulsars can appear to flash on and off on cycles of milliseconds or even seconds, a fact that originally caused a flutter of SETI excitement when Jocelyn Bell (now Jocelyn Bell Burnell) and team went to work identifying their origin in November of 1967. The discovery of multiple sources of this nature soon made it clear that LGM1 (Bell’s joking reference to possible ‘little green men’) needed a less sensational name.
Slower transients are also common, the most obvious being supernovae, which can put on a celestial show before doing a slow fade that can take months. What distinguishes the new object is that it flashes on and off on a scale of minutes. It’s also emitting highly polarized radio waves, an indication that it possesses a strong magnetic field. Hurley-Walker suggests the possibility of an ‘ultra-long period magnetar,’ which would be a slowly spinning neutron star, and an unusually bright one at that.
Magnetars are neutron stars possessing a strong magnetic field. In an email exchange with Dr. Hurley-Walker, I learned that about 30 magnetars are currently known, most of them detected through X-ray observations. Most of these spin with periods between 1 and 10 seconds, and six of them have an unusual property: They flare suddenly at X-ray wavelengths and follow this with radio emission that can last for weeks, even months afterwards.
Several puzzling things leap out about the new discovery, as Hurley-Walker explained:
How is it producing radio waves, when it is spinning so slowly that it shouldn’t have enough energy? Are its magnetic fields getting twisted and it’s producing temporary emission like a radio magnetar?
How did it get to be so slow — if it aged “normally”, then its magnetic field should also be quite weak by now, in which case how is it producing radio emission?
How is it so bright, as bright as the youngest pulsars we know?

Image: An artist’s impression of what the object might look like if it’s a magnetar. Magnetars are incredibly magnetic neutron stars, some of which sometimes produce radio emission. Known magnetars rotate every few seconds, but theoretically, “ultra-long period magnetars” could rotate much more slowly. Credit: ICRAR.
The Murchison Widefield Array is unusually useful not only for studying this original find but also in looking for other objects that seem to be in the same category. Remember that the MWA is a precursor for the multinational Square Kilometre Array, which will connect radio telescopes in Western Australia and South Africa. The MWA is a low-frequency radio telescope operating between 80 and 300 MHz at the future site of the SKA, and its low frequency capabilities open up intriguing possibilities.
For when it comes to transients, we have a world of options in the high-frequency radio sky, from the above-mentioned supernovae to accretion events of various kinds, but beyond the pulsars we’ve already examined and studies of galactic nuclei, the low-frequency sky has been relatively tame. The paper on this work points out, however, that these wavelengths are sensitive to polarized radio emission processes like those at work here, fertile terrain for chasing down new transients.
This source, as an evidently slow rotator, stands out as a new category of magnetar, and one that could establish a possible population of slow-spinning magnetars that may in fact turn up in archival data at the MWA itself. Finding out whether this is the case or if we’re looking at an odd, one-off detection will take considerable digging. All of the data the MWA has produced for close to a decade is available at the Pawsey Research Supercomputing Centre in Perth, which houses MWA system data.
That’s a massive dataset, but future observations are in the cards as well. In her email, Hurley-Walker pointed to the way forward:
The MWA is currently down for maintenance but I’m planning to observe this source when it comes back up, as well as the rest of our galaxy, to try to find more of these objects. The source itself seems to be quiet at the moment, and (as far as we know) has been except in those few months in 2018.

Image: Composite image of the SKA-Low telescope in Western Australia. The image blends a real photo (on the left) of the SKA-Low prototype station AAVS2.0 which is already on-site, with an artist’s impression of the future SKA-Low stations as they will look when constructed. These dipole antennas, which will number in their hundreds of thousands, will survey the radio sky at frequencies as low as 50Mhz. Credit: ICRAR, SKAO.
An object that can convert magnetic energy to radio waves at this level stood out in the MWA observations, and we can assume that if other such objects exist, they will turn up in large numbers once the SKA comes online, offering a thousand times the sensitivity. Meanwhile, Dr. Hurley-Walker has modified her MWA search strategy to more readily spot other such transients should they occur.
The paper is Hurley-Walker et al., “A radio transient with unusually slow periodic emission,” Nature 601 (26 January 2022), 526-530. Abstract.
January 28, 2022
White Paper: Why We Should Seriously Evaluate Proposed Space Drives

Moving propulsion technology forward is tough, as witness our difficulties in upgrading the chemical rocket model for deep space flight. But as we’ve often discussed on Centauri Dreams, work continues in areas like beamed propulsion and fusion, even antimatter. Will space drives ever become a possibility? Greg Matloff, who has been surveying propulsion methods for decades, knows that breakthroughs are both disruptive and rare. But can we find ways to increase the odds of discovery? A laboratory created solely to study the physics issues space drives would invoke could make a difference. There is precedent for this, as the author of The Starflight Handbook (Wiley, 1989) and Deep Space Probes (Springer, 2nd. Ed., 2005) makes clear below.
by Greg Matloff

We live in very strange times. The possibility of imminent human contraction (even extinction) is very real. So is the possibility of imminent human expansion.
On one hand, contemporary global civilization faces existential threats from global climate change, potential economic problems caused by widespread application of artificial intelligence, the still-existing possibility of nuclear war, political instability, at many levels, an apparently endless pandemic, etc.
Image: Gregory Matloff (left) being inducted into the International Academy of Astronautics by JPL’s Ed Stone.
One the other hand, humanity seems poised for the long-predicted but oft-delayed breakout into the solar system. United States and Chinese national space programs will compete for lunar resources. Elon Musk’s SpaceX has its sights fixed on establishing human settlements on Mars. Jeff Bezos’ Blue Origin is concentrating on construction of in-space settlements of increasing population and size.
Because of the discovery of a potentially habitable planet circling Proxima Centauri and the possibility of other worlds circling in the habitable zones of Alpha Centauri A and B, one wonders how many decades it will take for an in-space settlement with a mostly closed ecology to begin planning for a change of venue from Sol to Centauri.
Consulting the literature reveals that controlled (or partially controlled) nuclear fusion and the photon sail are today’s leading contenders to propel such a venture. But the literature also reveals that travel times of 500-1,000 years are expected for human-occupied vessels propelled by fusion or radiation pressure.
Before interstellar mission planners finalize their propulsion choice, an ethical question must be addressed. In the science-fiction story “Far Centaurus”, originally published by A, E. van Vogt in 1944, the crew of a 500-year sleeper ship to the Centauri system awakens to learn that they must go through customs at the destination. During their long interstellar transit, a breakthrough had occurred leading to the development of a hyper-fast warp drive.
We simply must evaluate all breakthrough possibilities, no matter how far-fetched they seem, before planning for generation ships. The initial crews of these ships and their descendants must be confident that they will be the first humans to arrive at their destination. Otherwise it is simply not fair to dispatch them into the void.
Recently, I was a guest on Richard Hoagland’s radio show “Beyond Midnight”. Although the discussion included such topics as the James Webb Space Telescope, panpsychism, stellar engineering and ‘Oumuamua, I was particularly intrigued when the topic of space drives came up.
Richard is especially interested in possible ramifications of Bruce E. DePalma’s spinning ball experiment, which has not been investigated in depth. He later sent along a 2014 e-mail released to the public from physics Nobel Prize winner Brian D. Josephson discussing another proposed space-drive candidate, the Nassikas thruster. Professor Josephson is of the opinion that this device is well worth further study, writing this:
The Nassikas thruster apparently produced a thrust, both when immersed in its liquid nitrogen bath, and for a short period while suspended in air, until it warmed to above the superconductor critical temperature, this thrust presenting itself as an oscillating motion of the pendulum biased in a particular direction. If this displacement is due to a new kind of force, this would be an important observation; however, until better controlled experiments are performed it is not possible to exclude conventional mechanisms as the source of the thrust.
It is in this area of controlled experiments that we need to move forward. A little research on the Web revealed that there are a fair number of candidate space drives awaiting consideration. Most of these devices are untested. DARPA, NASA and a few other organizations have applied a small amount of funds in recent years to test a few of them—notably the EMdrive and the Mach Effect Thruster.
Experimental analysis of proposed space drives has not always been done on such a haphazard basis. Chapter 13 of my first co-authored book (E. Mallove and G. Matloff, The Starflight Handbook, Wiley, NY, 1989) discusses a dedicated effort to evaluate these devices. It was coordinated by engineer G. Harry Stine, retired USAF Colonel William O. Davis (who had formerly directed the USAF Office of Scientific Research) and NYU physics professor Serge Korff.
Between 1996 and 2002, NASA operated a Breakthrough Physics Program. Marc G. Millis, who coordinated that effort, has contributed here on Centauri Dreams a discussion of the many hoops a proposed space drive must jump through before it is acknowledged as a true Breakthrough [see Marc Millis: Testing Possible Spacedrives]. These ideas were further examined in the book Marc edited with Eric Davis, Frontiers of Propulsion Science, where many such concepts were subjected to serious scientific scrutiny. When I discussed all this in emails with Marc, he responded:
“The dominant problem is the “lottery ticket” mentality (a DARPA norm), where folks are more interested in supporting a low-cost long-shot, rather than systematic investigations into the relevant unknowns of physics. In the ‘lottery ticket’ approach, interest is cyclical depending if there is someone making a wild claim (usually someone the sponsor knows personally – rather than by inviting concepts from the community). With that hype, funding is secured for ‘cheap and quick’ tests that drag out ambiguously for years (no longer quick, and accumulated costs are no longer cheap). The hype and null tests damage the credibility of the topic and interest wanes until the next hot topic emerges. That is a lousy approach.
“That taint of both the null results and ‘lottery ticket’ mentality is why the physics community ignores such ambitions. I tried to attract the larger physics community by putting the emphasis on the unfinished physics, and made some headway there. When the emphasis is on credibility (and funding available), physicists will indeed pursue such topics and do so rigorously. And they will more quickly drop it again if/when the lottery ticket advocates step up again.”
Marc advocates a strategic approach, which he tried to establish as the preferred norm at NASA BPP, thus identifying the most ‘relevant’ open question in physics, and then getting reliable research done on those topics, thereafter letting these guide future inquiries. He believes that the most relevant open questions in physics deal with the source (unknown) and deeper properties of inertial frames (conjectured). Following those unknowns are the additional unfinished physics of the coupling of the fundamental forces (including neutrino properties).
In light of this pivotal period in space history and the ever-increasing contributions of private individuals and organizations, it seems reasonable to conclude that now is an excellent time to establish a well funded facility to continue the work of the Stine et al. team and the NASA Breakthrough Propulsion Physics program.
January 26, 2022
The Persistent Case for Exomoon Candidate Kepler-1708 b-i

We started finding a lot of ‘hot Jupiters’ in the early days of planet hunting simply because, although their existence was not widely predicted, they were the most likely planetary types to trigger our radial velocity detection methods. These star-hugging worlds produced a Doppler signal that readily showed the effects of planet on star, while smaller worlds, and planets farther out in their orbits, remained undetected.
David Kipping (Columbia University) uses hot Jupiters as an analogy when describing his own indefatigable work hunting exomoons. We already have one of these – Kepler-1625 b-i – but it remains problematic and unconfirmed. If this turned out to be the first in a string of exomoons, we might well expect all the early finds to be large moons simply because using transit methods, these would be the easiest to detect.
Kepler-1625 b-i is problematic because the data could be showing the effects of other planets in its system. If real, it would be a moon far larger than any in our system, a Neptune-sized object orbiting a gas giant. In any case, its data came not from Kepler but from Hubble’s Wide Field Camera 3, and with but a single transit detection. In a new paper in Nature Astronomy , Kipping describes it as an ‘intriguing hint’ and is quick to point out how far we still are from confirming it.
This ‘hint’ is intriguing, but it’s also useful in making the case that what exomoon hunters need is an extension of the search space. While the evidence for Kepler-1625 b-i turned up in transit timing variations that indicated some perturbing effect on the planet, how much more useful would such variations be if detected in a survey of gas giants focusing on long-period, cool worlds, of which there is a small but growing catalog? These planets are harder to find transiting because, being so much farther from their star, they move across its surface as seen from Earth only in cycles measured in years. That means, of course, that as time goes by, we’ll find more and more of them.
But we now have a sample of 73 cool worlds that Kipping and colleagues analyze, bringing their exomoon detection toolkit to bear. The method of their selection homes in on worlds with a radius no less than half that of Jupiter, and with either a period of more than 400 days or an equilibrium temperature less than 300 K. A final qualifier is the amount of stellar radiation received from the star. Of the initial 73 worlds, three had to be rejected because the data on them proved inadequate for assessment.
So we have 70 gas giants and a deep dive into their properties, looking for any traces of an exomoon. The team sought planets in near-circular orbits, knowing that eccentric orbits would lower the stability needed to produce a moon, also looking for at least two transits (or preferably more), where transit timing variations could be detected. The model of planet plus moon needed to stand out, with the authors insisting that it be favored over a planet-only model by a factor of no less than 10; Kipping describes this as “the canonical standard of strong evidence in model selection studies.”
Out of the initial screening criteria, 11 planets emerged and were subjected to additional tests, refitting their light curves with other models to examine the robustness of the detection. Only three planets survived these additional checks, and only one emerged with a likely exomoon candidate: KIC-8681125.01. KIC stands for Kepler Input Catalog, a designation that changes when a planet is confirmed, as this one subsequently has been. Thus our new exomoon candidate: Kepler 1708-b-i.

Image: The discovery of a second exomoon candidate hints at the possibility that exomoons may be as common as exoplanets. Just as our Solar System is packed with moons, we can expect others to be, and it seems reasonable that we would detect extremely large exomoons before any others. Image credit: Helena Valenzuela Widerström.
We know all too little about this candidate other than the persistence of the evidence for it. Indeed, in a Cool Worlds video describing the effort, Kipping gets across just how firmly his team tried to quash the exomoon hypothesis, motivated not only by the necessary rigors of investigation but also by frustration born of years of unsuccessful searching. Yet the evidence would not go away. Let me quote from the paper on this:
The Bayes factor of the planet–moon model against the planet only is 11.9, formally passing our threshold of 10 (strong evidence on the Kass and Raftery scale). Inspection of the maximum-likelihood moon fit, shown in Fig. 2, reveals that the signal is driven by an unexpected decrease in brightness on the shoulder of preceding the first planetary transit, as well as a corresponding increase in brightness preceding the egress of that same event. The time interval between these two anomalies is approximately equal to the duration of the planetary transit, which is consistent with that expected for an exomoon . The second transit shows more marginal evidence for a similar effect. The planet–moon model is able to well explain these features, indicative of an exomoon on a fairly compact orbit, to explain the close proximity of the anomalies to the main transit…
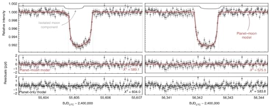
That ‘pre-transit shoulder’ shouldn’t happen, and it turns up in all the models used. It looks remarkably like the signature of an exomoon. Here’s the figure mentioned above:

Image: This is Figure 2 from the paper. Caption: Transit light curves of Kepler-1708 b. The left/right column shows the first/second transit epoch, with the maximum-likelihood planet–moon model overlaid in solid red. The grey line above shows the contribution of the moon in isolation. Lower panels show the residuals between the planet–moon model and the data, as well as the planet-only model. BJD, barycentric Julian date; UTC, coordinated universal time. Credit: Kipping et al.
I won’t go through the complete battery of tests the team used to hammer away at the exomoon hypothesis – all the details are available in the paper – but as you would imagine, starspots were considered and ruled out, the moon model fit the data better than all alternatives, the transit signal to noise ratio was strong, and the pre-transit ‘shoulder’ is compelling. Numerous different algorithms for light curve analysis were applied to the modeling of this dataset. Indeed, the paper’s discussion of methods is itself an education in lightcurve analysis.
Describing Kepler 1708-b-i as “a candidate we cannot kill,” Kipping and team present a moon candidate that is 2.6 times larger than Earth and 12 planetary radii from its host planet, which happens to be about the distance of Europa from Jupiter. The exomoon’s mass is unknown, but constrained to be less than 37 Earth masses. The F-class host star, around which the planet orbits every 737 days, is some 5500 light years from Earth.
How such a moon might form raises a host of questions:
There are several broad scenarios for moon formation: planet–planet collisions, formation of moons within gaseous circumplanetary disks (for example the Galilean moons) or direct capture—either by tidal dissipation or pulldown during the growth of the planet. For a gaseous planet, the first scenario is unlikely to produce a debris disk massive enough to form a moon this large. The moon is also at the extreme end of the mass range produced by primordial disks in the traditional core-collapse picture of giant-planet formation, but is easier in the case where planets form by disk instability. Such models also naturally produce moons on low-inclination orbits. Direct capture by tidal dissipation is also possible, although the parameter range for capture without merger is limited. Pulldown capture can produce large moons within ~10 Jupiter radii, with a wide range of inclinations depending on the timescale for planetary growth.
In our own system, of course, we see no moons at Venus or Mercury, and it’s worth asking whether moons are rare for planets close to their host stars. Be that as it may, the supposition here is that if Neptune-sized moons do exist, they’ll constitute the bulk of our early catalog of exomoons, just as hot Jupiters dominated our early exoplanet finds. Indeed, it’s hard to see how anything smaller could be found in Kepler data.
This exomoon candidate is smaller than the previous candidate – Kepler-1625 b-i – and on a tighter orbit. While both these discoveries retain their candidate status, they hint at the possibility that large moons like these may begin turning up in JWST or PLATO data. The authors call for follow-up transit photometry for both Kepler-1708 b-i and Kepler-1625 b-i, adding “we can find no grounds to reject Kepler-1708 b-i as an exomoon candidate at this time, but urge both caution and further observations.”
The paper is Kipping et al., “An exomoon survey of 70 cool giant exoplanets and the new candidate Kepler-1708 b-i,” Nature Astronomy 13 January 2022 (full text).
January 24, 2022
A Continuum of Solar Sail Development

2020 GE is an interesting, and soon to be useful, near-Earth asteroid. Discovered in March of 2020 through the University of Arizona’s Catalina Sky Survey, 2020 GE is small, no more than 18 meters or so across, placing it in that class of asteroids below 100 meters in size that have not yet been examined up close by our spacecraft. Moreover, this NEA will, in September of 2023, obligingly make a close approach to the Earth, allowing scientists to get that detailed look through a mission called NEA Scout.
This is a mission we’ve looked at before, and I want to stay with it because of its use of a solar sail. Scheduled to be launched with the Artemis 1 test flight using the Space Launch System (SLS) rocket no earlier than March of this year, NEA Scout is constructed as a six-unit CubeSat, one that will be deployed by a dispenser attached to an adapter ring connecting the rocket with the Orion spacecraft. After separation, the craft will unfurl a sail of 86 square meters, deployed via stainless steel alloy booms. It is one of ten secondary payloads to be launched aboard the SLS on this mission.
Les Johnson is principal technology investigator for NEA Scout at Marshall Space Flight Center in Huntsville:
“The genesis of this project was a question: Can we really use a tiny spacecraft to do deep space missions and produce useful science at a low cost? This is a huge challenge. For asteroid characterization missions, there’s simply not enough room on a CubeSat for large propulsion systems and the fuel they require.”

Image: NEA Scout is composed of a small, shoebox-sized CubeSat (top left) and a thin, aluminum-coated solar sail about the size of a racquetball court (bottom left). After the spacecraft launches aboard Artemis I, the sail will use sunlight to propel the CubeSat to a small asteroid (as depicted in the illustration, right). Credit: NASA.
A solar sail ought to be made to order if the objective is eventual high performance within the constraints of low mass and low volume. Reflecting solar photons and also using small cold-gas thrusters for maneuvers and orientation, NEA Scout will be investigating a near-Earth asteroid in a size range that is far more common than the larger NEAs we’ve thus far studied. It’s worth remembering that the Chelyabinsk impactor was about 20 meters in diameter, and in the same class as 2020 GE.
The 2023 close approach to Earth will occur at a time when NEA Scout will have used a gravitational assist from the Moon to alter its trajectory to approach the asteroid. Julie Castillo-Rogez, the mission’s principal science investigator at JPL, says that the spacecraft will achieve a slow flyby with relative speed of less than 30 meters per second. Using a camera with a resolution of 10 centimeters per pixel, scientists should be able to learn much about the object’s composition – a clump of boulders and dust (think Bennu, as investigated by OSIRIS-REx), or a solid object more like a boulder?
Bear in mind that NEA Scout fits into a continuum of solar sail development, with NASA’s Advanced Composite Solar Sail System (ACS3) the next to launch, demonstrating new, lightweight boom deployment techniques from a CubeSat. The unfurled square sail will be approximately 9 meters per side. As we haven’t looked at this one before, let me add this, from a NASA fact sheet:
The ACS3’s sails are supported and connected to the spacecraft by booms, which function much like a sailboat’s boom that connects to its mast and keeps the sail taut. The composite booms are made from a polymer material that is flexible and reinforced with carbon fiber. This composite material can be rolled for compact stowage, but remains strong and lightweight when unrolled. It is also very stiff and resistant to bending and warping due to changes in temperature. Solar sails can operate indefinitely, limited only by the space environment durability of the solar sail materials and spacecraft electronic systems. The ACS3 technology demonstration will also test an innovative tape-spool boom extraction system designed to minimize jamming of the coiled booms during deployment.

Image: An illustration of a completely unfurled solar sail measuring approximately 9 meters per side. Since solar radiation pressure is small, the solar sail must be large to efficiently generate thrust. Credit: NASA.
ACS3 is scheduled for liftoff later in 2022 as part of a rideshare mission on Rocket Lab’s Electron launch vehicle from its Launch Complex 1 in New Zealand. Beyond ACS3 looms Solar Cruiser, which takes the sail size up to 1,700 square meters in 2025, a mission we’ve looked at before and will continue to track as NASA attempts to launch the largest sail ever tested in space.
January 20, 2022
The Dyson Sphere Search

The Dyson sphere has become such a staple of SETI as well as science fiction that it’s hard to conceive how lightly Freeman Dyson himself took the idea. In a 2008 interview with Slate, he described the Dyson sphere as no more than ‘a little joke,’ and noted “it’s amusing that of course you get to be famous only for the things you don’t think are serious.” Indeed, Dyson’s 1960 paper “Search for Artificial Stellar Sources of Infrared Radiation,” was but a one-page document in Science that grew out of his notion that an intelligent civilization might not have any interest in communicating. How, then, would astronomers on Earth go about finding it?

Waste heat was his answer, a nod to the laws of thermodynamics and the detectability of such heat in the infrared. Coming hard on the heels of Frank Drake’s Project Ozma (a likewise playful name, coined out of affection for L. Frank Baum’s imaginary land of Oz), Dyson saw a search for what would come to be called Dyson spheres as a complement in the infrared to what Drake had begun to do with radio telescopes. And in fact, Dyson didn’t refer to spheres at all, but biospheres. Let me quote him on this from the 2008 interview:
Changing Notions of a Dyson SphereI suggested that people actually start looking in the sky with infrared telescopes as well as regular telescopes. So that was the proposal. But unfortunately I added to the end of that the remark that what we’re what we’re looking for is an artificial biosphere, meaning by biosphere just a habitat, something that could be in orbit around the neighboring star where the aliens might be living. So the word biosphere didn’t imply any particular shape. However, the science-fiction writers got hold of this and imagined a biosphere means a sphere, and it has to be some big round ball, so out of that there came these weird notions which ended up on Star Trek.
Dyson told Slate he hadn’t been thinking remotely of a shell around a star, but a ‘a swarm of objects surrounding a star,’ one that from the outside would look more or less like a dust cloud. He was also quick to give credit for the concept to writer Olaf Stapledon, who as we saw in the previous post introduced it in his novel Star Maker all the way back in 1937. And indeed, we find Stapledon writing about a way to tap the energies of entire stars through “a gauze of light traps, which focused the escaping solar energy for intelligent use, so that the whole galaxy was dimmed…”

That Star Trek reference is to an episode of Star Trek: The Next Generation that ran on October 12, 1992 (Season 6 Episode 4). It depicted the Enterprise crew encountering a shell-like Dyson sphere. Dyson didn’t mention Larry Niven’s wonderful Ringworld (1970), which draws on the shell concept to envision a vast ring around its star, a ‘cut-through’ of a full Dyson shell. I suspect he read it somewhere along the line, as he was frequently in conversation with science fiction writers who increasingly found his work a source for good ideas.
Image: Olaf Stapledon, author of Star Maker and Last and First Men.
As far as his light-hearted approach to the things he is best remembered for, I take that as a personal quirk. When I interviewed Dyson back in 2003, I found him quick to shift credit for ideas to other people and charmingly dismissive of his own contributions. I think his was an intellect so formidable that it surprised him with ideas that seemed to well up unbidden, so that in a real sense he didn’t want to lay claim to them.
And on Stapledon’s Star Maker, a further thought. It’s fun to note that Dyson sphere hunter Jason Wright at Penn State maintains a blog he calls Astrowright. It’s a fine play on words, I assume intentionally containing a nod to Stapledon. For if a shipwright is a maker of ships, an astrowright is surely a ‘star maker.’
The paper by Wright and Macy Huston that I looked at yesterday notes the distinction between Dyson shells and Dyson spheres; i.e., between a solid spherical shell and a vast collection of objects in orbit around the star, adding that ‘for simplicity of language, we refer to any configuration of a starlight-manipulating megastructure as a Dyson sphere.’ I think that’s common usage throughout the literature, saving the intriguing work on Shkadov thrusters, which are inherently asymmetrical and don’t fit Dyson sphere modeling. But moving stars is a topic for another day.
How Dyson Sphere Searches ProceedPlayful or not, it didn’t take long for Dyson’s SETI notion to take hold. In 1966, Carl Sagan and Russell Walker delved into “The Infrared Detectability of Dyson Civilizations” in a paper for the Astrophysical Journal. This too is no more than a note, but it makes the case for looking for astronomical sources that would appear as blackbodies with a temperature of several hundred K. Such detections were possible, the authors argued, but “discrimination of Dyson civilizations from naturally occurring low temperature objects is very difficult, unless Dyson civilizations have some further distinguishing feature, such as monochromatic radio-freqency emission.”
Note that last comment, because we’ll come back to it. It’s insightful in describing the nature of Dyson sphere searches and the possible results from a detection.
Which brings me to the Russian radio astronomer Vyacheslav Ivanovich Slysh, who in the 1980s examined sources identified by the Infrared Astronomical Satellite (IRAS) in a search for just the kind of waste heat Dyson had discussed. In 2000, Slysh’s work was followed up by M. Y. Timofeev, collaborating with Nikolai Kardashev (most famous, of course, for the ‘Kardashev scale’ ranking technological civilizations).
Richard Carrigan, a scientist emeritus in the Accelerator Division at the Fermi National Accelerator Laboratory, went to work on IRAS data as well and in a 2009 search, used the data on 250,000 infrared sources (covering 96 percent of the sky), looking for both full and partial Dyson spheres in a blackbody temperature region from 100 K to 600 K.
The result: Some 16 candidates with temperatures below 600 K in a field of objects out to 300 parsecs. And as Carrigan noted, most of these have non-technological explanations, and all are in need of further study before any conclusions are drawn. I should also mention the searches for Dyson spheres by Jun Jugaku and Shiro Nishimura when talking about IRAS. Their work in the 1990s found no Dyson spheres around the roughly 550 stars they surveyed within 25 parsecs.
This is a good time to mention some useful background materials. The first is a video presentation Jason Wright made to a seminar at Penn State in 2020, helpfully made available online. It’s an excellent encapsulation of the Dyson sphere concept and the investigations into it, including the subsequent searches using WISE [Wide Field Infrared Survey], with higher resolution than IRAS could provide. One problem with all of these is what Wright dubs ‘infrared cirrus,’ which basically refers to diffuse dust that greatly compromises the consequent data. Carrigan would doubtless have retrieved a much higher number of candidates if he could have worked without this background.
The second reference is Wright’s overview “Dyson Spheres,” which ran in the Serbian Astronomical Journal, Issue 200 (2020), with preprint available here. For those wanting to come up to speed on the origins and development of the idea of Dyson spheres, their purpose, their engineering, and their detectability, this is an excellent resource.
Until reading the Huston & Wright paper, I had been unaware of Massimo Teodorani, whose 2014 paper in Acta Astronautica presented what he called a ‘pragmatic strategy’ for searching for Dyson spheres involving infrared excess and anomalous light curves using Spitzer data to locate such signatures at G-class stars. A common theme in much of this work is the recognition that the goal is to identify interesting targets for further study. A detection of an interesting source would not in itself be proof of an extraterrestrial civilization, but rather identification of an object that could be followed up with more conventional methods such as laser or radio search. There is no single ‘aha!’ moment, but steady and careful analysis.
The search space for Dyson spheres has been expanding dramatically. In the late 1990s, James Annis analyzed the rotational dynamics of 137 different galaxies in the Ursa Major and Virgo galaxy clusters, looking for Kardashev Type III civilizations. He found no evidence for them, but going to this scale inevitably reminds us of the Fermi paradox. As Annis told Lee Billings in 2015:
“Life, once it becomes spacefaring, looks like it could cross a galaxy in as little as 50 million years. And 50 million years is a very short time compared to the billion-year timescales of planets and galaxies. You would expect life to crisscross a galaxy many times in the nearly 14 billion years the universe has been around. Maybe spacefaring civilizations are rare and isolated, but it only takes just one to want and be able to modify its galaxy for you to be able to see it. If you look at enough galaxies, you should eventually see something obviously artificial. That’s why it’s so uncomfortable that the more we look, the more natural everything appears.”
The mid-infrared WISE survey [Wide-field Infrared Survey Explorer] gave us far more data within which to conduct such a search. Wright’s work using WISE data has been extensively covered in these pages, including an article he wrote for Centauri Dreams called Glimpsing Heat from Alien Technologies, the name of the program he started at Penn State. The G-HAT program led to a search through WISE data that culled out some 100,000 galaxies looking for unusually strong signatures in the mid-infrared. Fifty of these galaxies showed interesting infrared properties, though as with Carrigan’s results, without any definitive signs of a technology.
I’ve quoted Wright on this result before, but that was years ago, so let me pull this out again:
“Our results mean that, out of the 100,000 galaxies that WISE could see in sufficient detail, none of them is widely populated by an alien civilization using most of the starlight in its galaxy for its own purposes. That’s interesting because these galaxies are billions of years old, which should have been plenty of time for them to have been filled with alien civilizations, if they exist. Either they don’t exist, or they don’t yet use enough energy for us to recognize them.”
Note the phrasing: This is explicitly a search for Kardashev Type III, one manifestation of which would be civilizations that fill their galaxy with Dyson spheres. The G-HAT results do not close the book on Dyson sphere searches, but they do tell us that such Type III civilizations are not detected within the energy levels we might expect.

Image: A false-color image of the mid-infrared emission from the Great Galaxy in Andromeda, as seen by Nasa’s WISE space telescope. The orange color represents emission from the heat of stars forming in the galaxy’s spiral arms. The G-HAT team used images such as these to search 100,000 nearby galaxies for unusually large amounts of this mid-infrared emission that might arise from alien civilizations. Credit: NASA/JPL-Caltech/WISE Team.
G-HAT is all about putting upper limits on energies emitted as waste heat in nearby galaxies, and while Dysonian SETI methods seem to diverge from earlier radio and laser SETI, the two approaches actually work quite well together. As the search continues, anomalous objects form a catalog which can be consulted by the entire SETI community, using its resources at various wavelengths to probe the result more deeply.
Search ReferencesAlthough I’m out of time today, I want to make the point that Dyson spheres shouldn’t be thought of purely as means of energy collection, because the manipulation of a star at this level could involve changing the character of the star itself. In a future article I’ll look at why a civilization might want to do this, and who has been investigating the matter. Until then, here are references to the searches we’ve talked about today.
The Sagan and Walker paper is “The Infrared Delectability of Dyson Civilizations,” Astrophysical Journal 144 (3), (1966), p. 1216 (abstract).
The Slysh paper is “A Search in the Infrared to Microwave for Astroengineering Activity,” in The Search for Extraterrestrial Life: Recent Developments, M. D. Papagiannis (Editor), Reidel Pub. Co., Boston, Massachusetts, 1985, p. 315.
Timofeev and Kardashev wrote “A Search of the IRAS Database for Evidence of Dyson Spheres,” Acta Astronautica 46 (2000), p. 655.
Richard Carrigan’s 2009 study is “The IRAS-based Whole-Sky Upper Limit on Dyson Spheres,” Astrophysical Journal 698 (2009), pp. 2075-2086. Abstract / preprint.
The Teodorani paper is “A strategic “viewfinder” for SETI research,” Acta Astronautica Vol. 105, Issue 2 (December 2014). Abstract.
On G-HAT, see Griffith et al., “The Ĝ Infrared Search for Extraterrestrial Civilizations with Large Energy Supplies. III. The Reddest Extended Sources in WISE,” Astrophysical Journal Supplement Series Vol. 217, No. 2, published 15 April 2015 (abstract / preprint).
January 18, 2022
Dyson Sphere ‘Feedback’: A Clue to New Observables?

Although so-called Dysonian SETI has been much in the air in recent times, its origins date back to the birth of SETI itself. It was in 1960 – the same year that Frank Drake used the National Radio Astronomy Observatory in Green Bank, West Virginia to study Epsilon Eridani and Tau Ceti – that Freeman Dyson proposed the Dyson sphere. In fiction, Olaf Stapledon had considered such structures in his novel Star Maker in 1937. As Macy Huston and Jason Wright (both at Penn State) remind us in a recent paper, Dyson’s idea of energy-gathering structures around an entire star evolved toward numerous satellites around the star rather than a (likely unstable) single spherical shell.
We can’t put the brakes on what a highly advanced technological civilization might do, so both solid sphere and ‘swarm’ models can be searched for, and indeed have been, for in SETI terms we’re looking for infrared waste heat. And if we stick with Dyson (often a good idea!), we would be looking for structures orbiting in a zone where temperatures would range in the 200-300 K range, which translates into searching at about 10 microns, the wavelength of choice. But Huston and Wright introduce a new factor, the irradiation from the interior of the sphere onto the surface of the star.
This is intriguing because it extends our notions of Dyson spheres well beyond the habitable zone as we consider just what an advanced civilization might do with them. It also offers up the possibility of new observables. So just how does such a Dyson sphere return light back to a star, affecting its structure and evolution? If we can determine that, we will have a better way to predict these potential observables. As we adjust the variables in the model, we can also ponder the purposes of such engineering.
Think of irradiation as Dyson shell ‘feedback.’ We immediately run into the interesting fact that adding energy to a star causes it to expand and cool. The authors explain this by noting that total stellar energy is a sum of thermal and gravitational energies. Let’s go straight to the paper on this. In the clip below, E* refers to the star’s total energy, with Etherm being thermal energy:
When energy is added to a star (E∗ increases), gravitational energy increases and thermal energy decreases, so we see the star expand and cool both overall (because Etherm is lower) and on its surface (because, being larger at the same or a lower luminosity its effective temperature must drop). A larger star should also result in less pressure on a cooler core, so we also expect its luminosity to decrease.

Image: Artist’s impression of a Dyson sphere under construction. Credit: Steve Bowers.
Digging into this effect, Huston and Wright calculate the difference in radius and temperature between the normal and irradiated stellar models. Work on irradiated stars goes back to the late 1980s, and includes the interesting result that a star of half a solar mass, if subjected to a bath of irradiation at a tempearature of 104 K, has its main sequence lifetime shortened by approximately half. The star expands and cools overall, but the distribution of the thermal energy causes its central temperature to increase.
A bit more on this background work: The 1989 paper in question, by C. A. Tout and colleagues, has nothing to do with Dyson spheres, but provides data on stellar irradiation of the sort that would be produced by proximity to a quasar or active galactic nucleus. Tout et al. worked on isotropic radiation baths at constant temperatures up to 104 K, finding that while the effects on stars whose energy is radiative are minor, convective stars increase in size. Keep in mind that cooler stars of low-mass are fully convective; hotter and more massive stars transport their energies from the interior through a radiative zone that forms and expands from the core.
Applying this to Dyson spheres, a star surrounded by technology would have light reflected back onto the star, while at the same time the sphere would become warm and emit thermal energy. I was intrigued to see that the paper gives a nod to Shkadov thrusters, which we’ve discussed in these pages before – these are stellar ‘engines’ using a portion of a star’s light to produce a propulsive effect. See Cosmic Engineering and the Movement of Stars, as well as Greg Benford’s look at the physics of the phenomenon, as developed by himself and Larry Niven, in Building the Bowl of Heaven.
Huston and Wright model how a Dyson sphere would affect the structure and evolution of a star, incorporating Dyson sphere luminosity as returned to the surface of the star. Each star is modeled from the start of its enclosure within the Dyson Sphere to the end of its main sequence lifetime. Beyond luminosity, the authors use Wright’s previous work on Dyson sphere parameters and his formulation for radiative feedback, while deploying a tool called Modules for Experiments in Stellar Astrophysics to assist calculations.
The authors consider stars in a mass range from 0.2 to 2 solar masses while varying luminosity fractions from 0.01 to 0.50. The effects of energy feedback on stars and the calculations on Dyson sphere properties produce absolute magnitudes for combined systems incorporating a central star and the Dyson sphere around it. From the paper:
Irradiated stars expand and cool. A Dyson sphere may send a fraction of a star’s light back toward it, either by direct reflection or thermal re-emission. This returning energy can be effectively transported through convective zones but not radiative zones. So, it can have strong impacts on low mass main sequence stars with deep convective zones which extend to the surface. It causes them to expand and cool, slowing fusion and increasing main sequence lifetimes. For higher mass stars with little to no convective exterior, the returned energy cannot penetrate far into the star and therefore has little effect on the star’s structure and evolution, besides some surface heating.
The effects are observationally significant only for spheres with high reflectivity or high temperatures – remember that Dyson assumed a sphere in the ~300 K area to correspond to a planet in the habitable zone. The authors combine the spectrum of the host star and the Dyson sphere into a ‘system spectrum,’ which allows them to calculate absolute magnitudes. The calculations involve the star itself, the interior of the sphere (both would be hidden) and the exterior of the sphere, which would be unobscured.
Wright has previously developed a set of five defining characteristics of a Dyson sphere, involving the intercepted starlight, the power of the sphere’s thermal waste heat, its characteristic temperature and other factors in a formalism called AGENT. The authors run their calculations on hot Dyson spheres and their opposite – cold, mirrored Dyson spheres that return starlight to the star without significant heating. Thus we go through a range of Dyson spheres intercepting starlight, including the familiar notion:
As the classical idea of a Dyson sphere, we can examine a solar mass star with low transmission of starlight through the sphere and a Dyson sphere radius of roughly 1 AU. We see that the feedback levels are very low and that the systems will appear, relative to a bare solar mass star, to be dimmed in the optical range and reddened in both optical and infrared colors.
Notice the range of temperatures we are talking about, for this is where we can expand our thinking on what a Dyson sphere might involve:
For our 0.2 and 0.4 M stars, feedback levels above roughly 1% cause at least a 1% change in nuclear luminosity; their effective temperatures do not significantly change. For our 1 and 2 M stars, feedback levels above roughly 6% cause at least a 1% change in the star’s effective temperature; their nuclear luminosities do not significantly change. Physically, these limits may correspond with a cold, mirrored surface covering the specified fraction of the star’s solid angle. For light-absorbing, non-reflective Dyson spheres, these feedback levels correspond to very hot spheres, with temperatures of thousands of Kelvin.
Dyson spheres in the latter temperature ranges are utterly unlike the more conventional concept of a civilization maintaining habitable conditions within the shell to gain not just energy but vastly amplified living space. But a hot Dyson sphere could make sense from the standpoint of stellar engineering, for feedback mechanisms can be adjusted to extend a star’s lifetime or reduce its luminosity. Indeed, looking at Dyson spheres in the context of a wide range of feedback variables is useful in helping jog our thinking about what might be found as the signature of an advanced technological civilization.
The paper is Huston & Wright, “Evolutionary and Observational Consequences of Dyson Sphere Feedback,” accepted at the Astrophysical Journal (abstract / preprint). The paper by Tout et al. is “The evolution of irradiated stars ,” Monthly Notices of the Royal Astronomical Society Volume 238, Issue 2 (May 1989), pp. 427–438 (abstract). For an overview of Dyson spheres and their background in the literature, see Wright’s “Dyson Spheres,” Serbian Astronomical Journal Issue 200, Pages: 1-18 (2020). Abstract / preprint. Thanks to my friend Antonio Tavani for the early pointer to this work.
January 14, 2022
The Long Result: Star Travel and Exponential Trends

Reminiscing about some of Robert Forward’s mind-boggling concepts, as I did in my last post, reminds me that it was both Forward as well as the Daedalus project that convinced many people to look deeper into the prospect of interstellar flight. Not that there weren’t predecessors – Les Shepherd comes immediately to mind (see The Worldship of 1953) – but Forward was able to advance a key point: Interstellar flight is possible within known physics. He argued that the problem was one of engineering.
Daedalus made the same point. When the British Interplanetary Society came up with a starship design that grew out of freelance scientists and engineers working on their own dime in a friendly pub, the notion was not to actually build a starship that would bankrupt an entire planet for a simple flyby mission. Rather, it was to demonstrate that even with technologies that could be extrapolated in the 1970s, there were ways to reach the stars within the realm of known physics. Starflight was incredibly hard and expensive, but if it were possible, we could try to figure out how to make it feasible.
And if figuring it out takes centuries rather than decades, what of it? The stars are a goal for humanity, not for individuals. Reaching them is a multi-generational effort that builds one mission at a time. At any point in the process, we do what we can.
What steps can we take along the way to start moving up the kind of technological ladder that Phil Lubin and Alexander Cohen examine in their recent paper? Because you can’t just jump to Forward’s 1000-kilometer sails pushed by a beam from a power station in solar orbit that feeds a gigantic Fresnel lens constructed in the outer Solar System between the orbits of Saturn and Uranus. The laser power demand for some of Forward’s missions is roughly 1000 times our current power consumption. That is to say, 1000 times the power consumption of our entire civilization.
Clearly, we have to find a way to start at the other end, looking at just how beamed energy technologies can produce early benefits through far smaller-scale missions right here in the Solar System. Lubin and Cohen hope to build on those by leveraging the exponential growth we see in some sectors of the electronics and photonics industries, which gives us that tricky moving target we looked at last time. How accurately can you estimate where we’ll be in ten years? How stable is the term ‘exponential’?
These are difficult questions, but we do see trends here that are sharply different from what we’ve observed in chemical rocketry, where we’re still using launch vehicles that anyone watching a Mercury astronaut blast off in 1961 would understand. Consumer demand doesn’t drive chemical propulsion, but in terms of power beaming, we obviously do have electronics and photonics industries in which the role of the consumer plays a key role. We also see the exponential growth in capability paralleled by exponential decreases in cost in areas that can benefit beamed technologies.
Lubin and Cohen see such growth as the key to a sustainable program that builds capability in a series of steps, moving ever outward in terms of mission complexity and speed. Have a look at trends in photonics, as shown in Figure 5 of their paper.

Image (click to enlarge): This is Figure 5 from the paper. Caption: (a) Picture of current 1-3 kW class Yb laser amplifier which forms the baseline approach for our design. Fiber output is shown at lower left. Mass is approx 5 kg and size is approximately that of this page. This will evolve rapidly, but is already sufficient to begin. Courtesy Nufern. (b) CW fiber laser power vs year over 25 years showing a “Moore’s Law” like progression with a doubling time of about 20 months. (c) CW fiber lasers and Yb fiber laser amplifiers (baselined in this paper) cost/watt with an inflation index correction to bring it to 2016 dollars. Note the excellent fit to an exponential with a cost “halving” time of 18 months.
Such growth makes developing a cost-optimized model for beamed propulsion a tricky proposition. We’ve talked in these pages before about the need for such a model, particularly in Jim Benford’s Beamer Technology for Reaching the Solar Gravity Focus Line, where he presented his analysis of cost optimized systems operating at different wavelengths. That article grew out of his paper “Intermediate Beamers for Starshot: Probes to the Sun’s Inner Gravity Focus” (JBIS 72, pg. 51), written with Greg Matloff in 2019. I should also mention Benford’s “Starship Sails Propelled by Cost-Optimized Directed Energy” (JBIS 66, pg. 85 – abstract), and note that Kevin Parkin authored “The Breakthrough Starshot System Model” (Acta Astronautica 152, 370–384) in 2018 (full text). So resources are there for comparative analysis on the matter.
But let’s talk some more about the laser driver that can produce the beam needed to power space missions like those in the Lubin and Cohen paper, remembering that while interstellar flight is a long-term goal, much smaller systems can grow through such research as we test and refine missions of scientific value to nearby targets. The authors see the photon driver as a phased laser array, the idea being to replace a single huge laser with numerous laser amplifiers in what is called a “MOPA (Master Oscillator Power Amplifier) configuration with a baseline of Yb [ytterbium] amplifiers operating at 1064 nm.”
Lubin has been working on this concept through his Starlight program at UC-Santa Barbara, which has received Phase I and II funding through NASA’s Innovative Advanced Concepts program under the headings DEEP-IN (Directed Energy Propulsion for Interstellar Exploration) and DEIS (Directed Energy Interstellar Studies). You’ll also recognize the laser-driven sail concept as a key part of the Breakthrough Starshot effort, for which Lubin continues to serve as a consultant.
Crucial to the laser array concept in economic terms is that the array replaces conventional optics with numerous low-cost optical elements. The idea scales in interesting ways, as the paper notes:
The basic system topology is scalable to any level of power and array size where the tradeoff is between the spacecraft mass and speed and hence the “steps on the ladder.” One of the advantages of this approach is that once a laser driver is constructed it can be used on a wide variety of missions, from large mass interplanetary to low mass interstellar probes, and can be amortized over a very large range of missions.
So immediately we’re talking about building not a one-off interstellar mission (another Daedalus, though using beamed energy rather than fusion and at a much different scale), but rather a system that can begin producing scientific returns early in the process as we resolve such issues as phase locking to maintain the integrity of the beam. The authors liken this approach to building a supercomputer from a large number of modest processors. As it scales up, such a system could produce:
Beamed power for ion engine systems (as discussed in the previous post);Power to distant spacecraft, possibly eliminating onboard radioisotope thermoelectric generators (RTG);Planetary defense systems against asteroids and comets;Laser scanning (LIDAR) to identify nearby objects and analyze them.Take this to a full-scale 50 to 100 GW system and you can push a tiny payload (like Starshot’s ‘spacecraft on a chip’) to perhaps 25 percent of lightspeed using a meter-class reflective sail illuminated for a matter of no more than minutes. Whether you could get data back from it is another matter, and a severe constraint upon the Starshot program, though one that continues to be analyzed by its scientists.
But let me dwell on closer possibilities: A system like this could also push a 100 kg payload to 0.01 c and – the one that really catches my eye – a 10,000 kg payload to more than 1,000 kilometers per second. At this scale of mass, the authors think we’d be better off going to IDM methods, with the beam supplying power to onboard propulsion, but the point is we would have startlingly swift options for reaching the outer Solar System and beyond with payloads allowing complex operations there.
If we can build it, a laser array like this can be modular, drawing on mass production for its key elements and thus achieving economies of scale. It is an enabler for interstellar missions but also a tool for building infrastructure in the Solar System:
There are very large economies of scale in such a system in addition to the exponential growth. The system has no expendables, is completely solid state, and can run continuously for years on end. Industrial fiber lasers have MTBF in excess of 50,000 hours. The revolution in solid state lighting including upcoming laser lighting will only further increase the performance and lower costs. The “wall plug” efficiency is excellent at 42% as of this year. The same basic system can also be used as a phased array telescope for the receive side in the laser communications as well as for future kilometer-scale telescopes for specialized applications such as spectroscopy of exoplanet atmospheres and high redshift cosmology studies…
Such capabilities have to be matched against the complications inevitable in such a design. These ideas are reliant on the prospect of industrial capacity catching up, a process that is mitigated by finding technologies driven by other sectors or produced in mass quantities so as to reach the needed price point. A major issue: Can laser amplifiers parallel what is happening in the current LED lighting market, where costs continue to plummet? A parallel movement in laser amplifiers would, over the next 20 years, reduce their cost enough that it would not dominate the overall system cost.
This is problematic. Lubin and Cohen point out that LED costs are driven by the large volume needed. There is no such demand in laser amplifiers. Can we expect the exponential growth to continue in this area? I asked Dr. Lubin about this in an email. Given the importance of the issue, I want to quote his response at some length:
There are a number of ways we are looking at the economics of laser amplifiers. Currently we are using fiber based amplifiers pumped by diode lasers. There are other types of amplification that include direct semiconductor amplifiers known as SOA (Semiconductor Optical Amplifier). This is an emerging technology that may be a path forward in the future. This is an example of trying to predict the future based on current technology. Often the future is not just “more of the same” but rather the future often is disrupted by new technologies. This is part of a future we refer to as “integrated photonics” where the phase shifting and amplification are done “on wafer” much like computation is done “on wafer” with the CPU, memory, GPU and auxiliary electronics all integrated in a single elements (chip/ wafer).
Lubin uses the analogy of a modern personal computer as compared to an ENIAC machine from 1943, as we went from room-sized computers that drew 100 kW to something that, today, we can hold in our hands and carry in our pockets. We enjoy a modern version that is about 1 billion times faster and features a billion times the memory. And he continues:
In the case of our current technique of using fiber based amplifiers the “intrinsic raw materials cost” of the fiber laser amplifier is very low and if you look at every part of the full system, the intrinsic costs are quite low per sub element. This works to our advantage as we can test the basic system performance incrementally and as we enlarge the scale to increase its capability, we will be able to reduce the final costs due to the continuing exponential growth in technology. To some extent this is similar to deploying solar PV [photovoltaics]. The more we deploy the cheaper it gets per watt deployed, and what was not long ago conceivable in terms of scale is now readily accomplished.
Hence the need to find out how to optimize the cost of the laser array that is critical to a beamed energy propulsion infrastructure. The paper is offered as an attempt to produce such a cost function, to take in the wide range of system parameters and their complex connections. Comparing their results to past NASA programs, Lubin and Cohen point out that exponential technologies fundamentally change the game, with the cost of the research and development phase being amortised over decades. Moreover, directed energy systems are driven by market factors in areas as diverse as telecommunications and commercial electronics in a long-term development phase.
An effective cost model generates the best cost given the parameters necessary to produce a product. A cost function that takes into account the complex interconnections here is, to say the least, challenging, and I leave the reader to explore the equations the authors develop in the search for cost minimums, relating system parameters to the physics. Thus speed and mass are related to power, array size, wavelength, and so on. The model also examines staged system goals – in other words, it considers the various milestones that can be achieved as the system grows.
Bear in mind that this is a cost model, not a cost estimate, which the authors argue would not be not credible given the long-term nature of the proposed program. But it’s a model based on cost expectations drawn from existing technologies. We can see that the worldwide photonics market is expected to exceed $1 trillion by this year (growing from $180 billion in 2016), with annual growth rates of 20 percent.
These are numbers that dwarf the current chemical launch industry; Lubin and Cohen consider them to reveal the “engine upon which a DE program would be propelled” through the integration of photonics and mass production. Fundamental physics drives the analytical cost model on offer here, one that relies on these emerging trends.
Today’s paper is Lubin & Cohen, “The Economics of Interstellar Flight,” to be published in a special issue of Acta Astronautica (preprint).
January 11, 2022
Interstellar Reach: The Challenge of Beamed Energy

I’ve learned that you can’t assume anything when giving a public talk about the challenge of interstellar flight. For a lot of people, the kind of distances we’re talking about are unknown. I always start with the kind of distances we’ve reached with spacecraft thus far, which is measured in the hundreds of AUs. With Voyager 1 now almost 156 AU out, I can get a rise out of the audience by showing a slide of the Earth at 1 AU, and I can mention a speed: 17.1 kilometers per second. We can then come around to Proxima Centauri at 260,000 AU. A sense of scale begins to emerge.
But what about propulsion? I’ve been thinking about this in relation to a fundamental gap in our aspirations, moving from today’s rocketry to what may become tomorrow’s relativistic technologies. One thing to get across to an audience is just how little certain things have changed. It was exhilarating, for example, to watch the Arianne booster carry the James Webb Space Telescope aloft, but we’re still using chemical (and solid state) engines that carry steep limitations. Rockets using fission and fusion engines could ramp up performance, with fusion in particular being attractive if we can master it. But finding ways to leave the fuel behind may be the most attractive option of all.
I was corresponding with Philip Lubin (UC-Santa Barbara) about this in relation to a new paper we’ll be looking at over the next few days. Dr. Lubin makes a strong point on where rocketry has taken us. Let me quote him from a recent email:
…when you look at space propulsion over the past 80 years, we are still using the same rocket design as the V2 only larger But NOT faster. Hence in 80 years we have made incredible strides in exploring our solar system and the universe but our propulsion system is like that of internal combustion engine cars. No real change. Just bigger cars. So for space exploration to date – “just bigger rockets” but “not faster rockets”. [SpaceX’s] Starship is incredible and I love what it will do for humanity but it is fundamentally a large V2 using LOX and CH4 instead of LOX and Alcohol.
The point is that we have to do a lot better if we’re going to talk about practical missions to the stars. Interstellar flight is feasible today if we accept mission durations measured in thousands of years (well over 70,000 years at Voyager 1 speeds to travel the distance to Proxima Centauri). But taking instrumented probes, much less ships with human crews, to the nearest star demands a completely different approach, one that Lubin and team have been exploring at UC-SB. Beamed or ‘directed energy’ systems may do the trick one day if we can master both the technology and the economics.
Let’s ponder what we’re trying to do. Lubin likes to show the diagram below, which brings out some fundamental issues about how we bring things up to speed. On the one hand we have chemical propulsion, which as the figure hardly needs to note, is not remotely relativistic. At the high end, we have the aspirational goal of highly relativistic acceleration enabled by directed energy – a powerful beam pushing a sail.

Image: This is Figure 1 from “The Economics of Interstellar Flight,” by Philip Lubin and colleague Alexander Cohen (citation below). Caption: Speed and fractional speed of light achieved by human accelerated objects vs. mass of object from sub-atomic to large macroscopic objects. Right side y-axis shows γ − 1 where γ is the relativistic “gamma factor.” γ − 1 times the rest mass energy is the kinetic energy of the object.
Thinking again of how I might get this across to an audience, I fall back on the energies involved, for as Lubin and Cohen’s paper explains, the energy available in chemical bonds is simply not sufficient for our purposes. It is mind-boggling to follow this through, as the authors do. Take the entire mass of the universe and turn it into chemical propellant. Your goal is to accelerate a single proton with this unimaginable rocket. The final speed you achieve is in the range of 300 to 600 kilometers per second.
That’s fast by Voyager standards, of course, but it’s also just a fraction of light speed (0.1 percent), and the payload is no more than a single proton! We need energy levels a billion times that of chemical reactions. We do know how to accelerate elementary particles to relativistic velocities, but as the universe-sized ‘rocket’ analogy makes clear, we can’t dream of doing this through chemical energy. Particle accelerators reach these velocities with electromagnetic means, but we can’t yet do it beyond the particle level.
Directed energy offers us a way forward but only if we can master the trends in photonics and electronics that can empower this new kind of propulsion in realistic missions. In their new paper, to be published in a special issue of Acta Astronautica, Lubin and Cohen are exploring how we might leverage the power of growing economies and potentially exponential growth in enough key areas to make directed energy work as an economically viable, incrementally growing capability.
Beaming energy to sails should be familiar territory for Centauri Dreams readers. For the past eighteen years, we’ve been looking at solar sails and sails pushed by microwave or laser, concepts that take us back to the mid-20th Century. The contribution of Robert Forward to the idea of sail propulsion was enormous, particularly in spreading the notion within the space community, but sails have been championed by numerous scientists and science fiction authors for decades. Jim Benford, who along with brother Greg performed the first laboratory work on beamed sails, offers a helpful Photon Beam Propulsion Timeline, available in these pages.
In the Lubin and Cohen paper, the authors make the case that two fundamental types of mission spaces exist for beamed energy. What they call Direct Drive Mode (DDM) uses a highly reflective sail that receives energy via momentum transfer. This is the fundamental mechanism for achieving relativistic flight. Some of Bob Forward’s mission concepts could make an interstellar crossing within the lifetime of human crews. In fact, he even developed braking methods using segmented sails that could decelerate at destination for exploration at the target star and eventual return.
Lubin and Cohen also see an Indirect Drive Mode (IDM), which relies on beamed energy to power up an onboard ion engine that then provides the thrust. My friend Al Jackson, working with Daniel Whitmire, did an early analysis of such a system (see Rocketry on a Beam of Light), The difference is sharp: A system like this carries fuel onboard, unlike its Direct Drive Mode cousin, and thus has limits that make it best suited to work within the Solar System. While ruling out high mass missions to the stars, this mode offers huge advantages for reaching deep into the system, carrying high mass payloads to the outer planets and beyond. From the paper:
…for the same mission thrust desired, an IDM approach uses much lower power BUT achieves much lower final speed. For solar system missions with high mass, the final speeds are typically of order 100 km/s and hence an IDM approach is generally economically preferred. Another way to think of this is that a system designed for a low mass relativistic mission can also be used in an IDM approach for a high mass, low speed mission.
We shouldn’t play down IDM because it isn’t suited for interstellar missions. Fast missions to Mars are a powerful early incentive, while projecting power to spacecraft and eventual human outposts deeper in the Solar System is a major step forward. Beamed propulsion is not a case of a specific technology for a single deep space mission, but rather a series of developing systems that advance our reach. The fact that such systems can play a role in planetary defense is a not inconsiderable benefit.

Image: Beamed propulsion leaves propellant behind, a key advantage. It could provide a path for missions to the nearest stars. Credit: Adrian Mann.
If we’re going to analyze how we go from here, where we’re at the level of lab experiments, to there, with functioning directed energy missions, we have to examine these trends in terms of their likely staging points. What I mean is that we’re looking not at a single breakthrough that we immediately turn into a mission, but a series of incremental steps that ride the economic wave that can drive down costs. Each incremental step offers scientific payoff as our technological prowess develops.
Getting to interstellar flight demands patience. In economic terms, we’re dealing with moving targets, making the assessment at each stage complicated. Think of photovoltaic arrays of the kind we use to feed power to our spacecraft. As Lubin and Cohen point out, until recently the cost of solar panels was the dominant economic fact about implementing this technology. Today, this is no longer true. Now it’s background factors – installation, wiring, etc. – that dominate the cost. We’ll get into this more in the next post, but the point is that when looking at a long-term outcome, we have a number of changing factors that must be considered.
Some parts of a directed energy system show exponential growth, such as photonics and electronics. And some do not. The cost of metals, concrete and glass move at anything but exponential rates. What “The Economics of Interstellar Flight” considers is developing a cost model that minimizes the cost for a specific outcome.
To do this, the authors have to consider the system parameters, such things as the power array that will feed the spacecraft, its diameter, the wavelength in use. And you can see the complication: When some key technologies are growing at exponential rates, time becomes a major issue. A longer wait means lower costs, while the cost of labor, land and launch may well increase with time. We can also see a ‘knowledge cost’: Wait time delays knowledge acquisition. As the authors note in relation to lasers:
The other complication is that many system parameters are interconnected and there is the severe issue that we do not currently have the capacity to produce the required laser power levels we will need and hence industrial capacity will have to catch up, but we do not want to be the sole customer. Hence, finding technologies that are driven by other sectors or adopting technologies produced in mass quantity for other sectors may be required to get to the desired economic price point.
System costs, in other words, are dynamic, given that some technologies are seeing exponential growth and others are not, making a calculation of what the authors call ‘time of entry’ for any given space milestone a challenging goal. I want to carry this discussion of how the burgeoning electronics and photonics industries – driven by power trends in consumer spending – factor into our space ambitions into the next post. We’ll look at how dreams of Centauri may eventually be achieved through a series of steps that demand a long-term, deliberate approach relying on economic growth.
The paper is Lubin & Cohen, “The Economics of Interstellar Flight,” to be published in Acta Astronautica (preprint).
Paul Gilster's Blog
- Paul Gilster's profile
- 7 followers
