Kim Rendfeld's Blog, page 21
December 5, 2014
Even Scientific Dead Ends Can Contribute to Knowledge
In this installment on the history of atom theory, physics professor (and my dad) Dean Zollman discusses a couple of scientific dead ends – the ether and vortex atoms. – Kim
By Dean Zollman
The last half of the 19th century saw a variety of advances related to our understanding of atoms. We discussed a very important one last time – Balmer’s formula for the wavelength of the visible lines of hydrogen. This equation created a challenge that needed to be explained by any successful model of the atom. That challenge would not be met until the 20th century. In the meantime, scientists pursued research, some with advances and some with dead ends.
One mathematical model which indicated that matter was made up of small objects was the kinetic theory of gases. This theory is a way to understand how and why pressure, volume, and temperature are related in gasses that are trapped in a container. The gas is hypothesized to be a collection of small hard particles. In the simplest model, these particles are spheres. The small particles are moving in random motion with many different speeds. However, the temperature is related to the average speed of the collection of particles.
Many scientists such a Rudolf Clausius (1822 – 1888), James Clerk Maxwell (1831 – 1879), and Ludwig Boltzmann (1844 – 1906) contributed to the development of our understanding of the relations among measurable variables of gasses and some small particles in constant motion. To see simulations of these relationships, you can play with the computer visualization at PhET.
While kinetic theory provided strong evidence that gases probably consisted of small particles, it did not help scientists understand the structure of the particles themselves. This theory was developed mostly with the idea that the particles were too small to see and that they bounced off each other and the walls of their container.
The Ether and Vortex Atoms
Another theory developed about the same time did try to go deeper into the structure of the atom. To understand it, we need first to look at a “solution” to another mystery of that time. The mystery involved the propagation of light and forces acting at a distance. Light was shown to be a wave phenomenon early in the 19th century. However, waves, such as water waves, moved through a medium.
So the question was: how could light get to us from distance locations such as the sun? There seemed to be no medium through which these light waves could move. Likewise, forces such as electrical, magnetic, and gravitational forces acted at a distance. How could that action occur if there were no medium through which the force travelled? The solution was to propose a substance called the ether (or aether). This substance filled all of space and thus offered a medium for the various forces and light. However, because no one had ever detected it, the ether needed to be invisible and not measurable in any way.
Hermann von Helmholtz (1821 – 1894) was not thinking about the ether or atoms when he was conducting research on the dynamics of fluids. Instead, he was creating a mathematical model of vortices, the rotating motion that we see when we let water out of the sink. Helmholtz developed mathematically many properties of the core of the vortex and that vortices could apply forces to one another. (Photo to the right of a vortex in a bottle of water by Robert D Anderson, used under the terms of the GNU Free Documentation License, via Wikimedia Commons.)
Peter Tait (1831 – 1901) became interested in these ideas and developed an experiment for creating smoke rings which behaved as vortices. His apparatus is shown below.
From Peter Tait, Lectures on Some Recent Advances in Physical Science, Second Edition, p. 292 (MacMillan & Co., London, 1876)
Tait showed his smoke rings to William Thomson, who was later to become Lord Kelvin (1824 – 1907). He demonstrated that these smoke vortices were remarkably stable. That they could be cut with a knife but would reform and that they could collide with each other but held their shape. These experiments together with Helmholtz’s mathematics reminded Kelvin of the properties of atoms.
In 1867, Kelvin wrote to Helmholtz that if there is an ether, a vortex ring in that ether “would be as permanent as the solid hard atoms of Lucretius …” (quoted in Helge Kraugh, “The Vortex Atom: A Victorian Theory of Everything” Centaurus, 2002). With this thought, Kelvin and others started developing a theory of atoms as vortices in the ether.
Scientists Drawn into the Vortex (Atoms)
Many people got involved in the studies of vortex atoms. I will mention only a few. William Mitchinson Hicks (1850 – 1934) showed that a hollow vortex atom would vibrate. These vibrations would presumably lead to the emission of light and thus explain the spectrum emitted by the different atoms. However, I cannot find evidence that he was able to match data with the vibrations.
In fact, Lord Kelvin found the mathematics of the vibrations quite difficult so he relied on analogies with smoke rings. He stated, “it is probable that the vibrations which constitute the incandescence of sodium vapour are analogous to those which the smoke rings had exhibited.” He also addressed the issue that sodium has two yellow spectral lines which are very close together in wavelength. “Since, however, sodium light shows two sets of vibrations with slightly different periods and about equal intensity, the sodium atom must have two fundamental modes of vibration, and therefore it seems probable that the sodium atom may not consist of a single vortex line, but of two approximately equal vortex rings passing through one another like two links in a chain.” (Quoted in Robert Silliman, William Thomson: “Smoke Rings and 19th Century Atomism”, Isis 54, 461-474 (1963).)
Alfred Marshall Mayer (1836 – 1897) looked at the chemistry related to configurations of vortex atoms. The mathematics was very complex, so he did it experimentally. He simulated each vortex with a magnetized needle. Then he floated the needles on water with a larger magnet held above them. For 2 to 20 magnetized needles, he looked at the stable configuration created by the attractive and repulsive forces of the small magnets in the presence of the larger magnet. When he looked at the results (see below), he saw some periodic behavior in the patterns (We will return to this experiment when we look at another model of the atom in a few months.)
From The American Journal of Science and Arts 16, 252 (1878)
Joseph J. Thomson (1856 – 1940) was a rather young physicist when he became involved in vortex atoms. He seems to be the first to notice a connection between Mayer’s floating magnets and the periodic table. He attempted to use the vortex model to explain some chemical properties. In 1883, he published an essay “Vortex Atom Rings.” Most importantly, his studies on vortex atoms caused him to become interested in electricity and electrical discharges in gases. The research related to these interests led to one of the most important discoveries in the development of our understanding of the structure of the atom. We will save that story for next time.
Interesting Results But…
Research on the vortex atom provided many interesting results. However, as the 19th century was winding down, the vortex atom was falling out of favor with scientists.
About 1883, Kelvin started expressing concerns. He worried that the vortex atom could not explain inertia or gravitational attraction. (Perhaps he should not have worried about gravity; it is still somewhat perplexing.) Eventually he concluded that Helmholtz’s rings were not as stable as he had originally thought.
By 1898, he wrote to an emeritus professor at MIT: “I am afraid it is not possible to explain all the properties of matter by the Vortex-atom Theory alone … We may expect that the time will come when we shall understand the nature of an atom. With great regret I abandon the idea that a mere configuration of motion suffices.” (Quoted in Silliman). In the early 20th century, both experiment and theory concluded that the ether did not exist. However, the development of the theory contributed to several mathematical advances (e.g., theory of knots).
Vortex atoms kept a lot of scientists, particularly in the U.K. and U.S., busy for quite a while. In the long run it proved to be a dead end in terms of explaining the structure of matter. However, the development of the theory led to many useful mathematical results, some of which are being revived for other purposes today. It also provided a beginning for J.J. Thomson. Thus, while the theory did not meet the goals of its originator, it did help advance science and thoughts about the structure of matter.
Previously
What Are Things Made of? Depends on When You Ask.
Ancient Greeks Were the First to Hypothesize Atoms
Religion, Science Clashed over Atoms
Medieval Arabic Scholarship Might Have Preserved Scientific Knowledge
Rediscovering a Roman Poet – and Atom Theory – Centuries Later
Reconciling Atom Theory with Religion
Did Atom Theory Play a Role in Galileo’s Trouble with the Inquisition?
Did Gifted Scientist’s Belief in Atoms Led to His Obscurity?
Does Atom Theory Apply to the Earthly and the Divine?
Isaac Newton: 300 Years Ahead of His Time
Issac Newton and the Philosopher’s Stone
When Chemistry and Physics Split
Mme Lavoisier: Partner in Science, Partner in Life
With Atoms, Proportionality and Simplicity Rule
Despite Evidence of Atoms, 19th Century Skeptics Didn’t Budge
Mission of the First International Scientific Conference: Clear up Confusion
Rivalry over the First Periodic Table
The Puzzle of Dark Lines amid Rainbow Colors
The Colorful Signature of Each Element
Dean Zollman is university distinguished professor of physics at Kansas State University where he has been a faculty member for more than 40 years. During his career he has received four major awards — the American Association of Physics Teachers’ Oersted Medal (2014), the National Science Foundation Director’s Award for Distinguished Teacher Scholars (2004), the Carnegie Foundation for the Advancement of Teaching Doctoral University Professor of the Year (1996), and AAPT’s Robert A. Millikan Medal (1995). His present research concentrates on the teaching and learning of physics and on science teacher preparation.
December 3, 2014
Why the (Fictional) Husband Must Die
Today, I am happy to welcome author Donna Cronk as she discusses why writers let bad things happen to the characters we love. – Kim
By Donna Cronk
This year, I released my first novel, Sweetland of Liberty Bed & Breakfast. And with it, I took some flack about killing my husband.
While the main character’s husband is indeed dead before the book even starts, and she didn’t murder him, some readers wondered why he had to die.
To make the plot work, a lot of bad things had to happen to Samantha, my heroine. Her children had to move away. She had to lose a job she loved. She had to have financial challenges. And yes, Roger had to go.
Only by tearing Samantha’s world down could I build it back up. It’s in our toughest hours that we often find that God is nearest to us. That, in a nutshell, is the book’s theme.
In a writing workshop I took, the inspirational author Colleen Coble challenged attendees to think of the worst thing that could happen to a character. And then do it to her! On paper, of course.
For me, killing the husband was more than drama. It was therapeutic. I’m not evil; bear with me here. When I started writing the novel at midlife, I was in the midst of a classic empty-nest pity party.
My sons were grown and with so much of my identity wrapped in being their mom, what would I do without their activities and interests on my calendar?
At age 50, I realized in a cliché kind of way that I was exactly halfway through (the hopeful version of) my lifespan. I was neither young nor old. I wanted to explore that unique place.
I had to face some fears. At some point, statistically speaking, I might become a widow. I love my husband and could not imagine. But I could write about it happening to another woman.
Writing a story about my character experiencing these things became a way to work through them, explore them in the safe environment of fingers to keyboard.
The irony of a midlife crisis – or transition, if you will – is that five years later, I’m mostly over it. I’ve adjusted. I’ve pursued some new interests. The book has meant a number of speaking engagements and surprise invites into new environments.
And now, I’m working on a sequel.
Samantha will need to go through some things. That’s how life goes. And books too.
Donna Cronk is a longtime Indiana journalist. She enjoys speaking to book clubs and ladies groups. For information, contact her at 317-224-7028 or e-mail newsgirl.1958 [at] gmail [dot] com. Sweetland of Liberty Bed & Breakfast is available on Amazon.
November 25, 2014
Churchmen Fight over a Martyr���s Relics
Relics of saints and martyrs were attributed with miraculous powers and treasured in early medieval times. Pilgrims seeking a cure for an illness or redemption for sin would endure the bad food, tedium, and dangers of travel to pray in the physical presence of a saint. And in their gratitude, they would give alms to the churches that housed the relics.
Abbots and bishops would go through great expense to obtain a relic, and outright thievery, called pious fraud, was not out of the question.
Still, I must admit some surprise when I learned two churchmen, Sts. Lull and Sturm, quarreled over who got St. Boniface���s relics. Both men had been close to the martyr, which makes the story similar to brothers arguing over an inheritance.
But argue they did, and the fight didn���t end when the relics were housed in Sturm���s abbey in Fulda.
For more about the dispute, read my post at English Historical Fiction Authors.
Sources
Daily Life in the World of Charlemagne, by Pierre Rich��, translated by Jo Ann McNamara

Saint Boniface, as depicted in an illumination from the 12th century Passionary of Weissenau (public domain image via Wikimedia Commons)
Churchmen Fight over a Martyr’s Relics
Relics of saints and martyrs were attributed with miraculous powers and treasured in early medieval times. Pilgrims seeking a cure for an illness or redemption for sin would endure the bad food, tedium, and dangers of travel to pray in the physical presence of a saint. And in their gratitude, they would give alms to the churches that housed the relics.
Abbots and bishops would go through great expense to obtain a relic, and outright thievery, called pious fraud, was not out of the question.
Still, I must admit some surprise when I learned two churchmen, Sts. Lull and Sturm, quarreled over who got St. Boniface’s relics. Both men had been close to the martyr, which makes the story similar to brothers arguing over an inheritance.
But argue they did, and the fight didn’t end when the relics were housed in Sturm’s abbey in Fulda.
For more about the dispute, read my post at English Historical Fiction Authors.
Sources
Daily Life in the World of Charlemagne, by Pierre Riché, translated by Jo Ann McNamara

Saint Boniface, as depicted in an illumination from the 12th century Passionary of Weissenau (public domain image via Wikimedia Commons)
November 18, 2014
It���s Not Pagan; It���s White Magic
Officially, the early medieval Church opposed magic, and the penalties for using it for evil were harsh. But the faithful, including members of the clergy, more often used magic for good. In addition to prayers, they would employ rituals to heal sickness or ensure an abundant harvest.
We in the 21st century would see this as pagan practices coexisting with Christianity. My eighth-century Christian characters fighting pagans in Saxony would be indignant. To them, charms and amulets were white magic, nothing to do with a religion they considered devil worship.
The belief in magic plays an important role in my novels. It was so widespread that I could no more ignore it than I could the role of religion. The following excerpt from The Ashes of Heaven���s Pillar reflects the ambiguity of medieval attitudes toward magic.
Gosbert slapped his large thigh. ���Ives, why did you insist that this wizard join us? He eats too much.���
���He eats no more than you,��� Ives snapped. ���And I asked him to join us because he���s clever and knows magic.���
���How much magic?��� Gosbert asked.
���Enough,��� Deorlaf answered. His hands started to sweat.
���Enough for what?���
���Enough������ Deorlaf hesitated, trying to think of something believable, ���enough to charm objects and heal wounds.���
Ives gave a curt nod. ���And that is all you would teach Julien? No devil worship?���
���Absolutely no devil worship.��� Just a few words in Saxon.
���Very well. You have my permission to teach him.��� He turned toward his nephew. ���Just because you can charm an object, it doesn���t mean you act like an idiot. You still duck if someone shoots an arrow at you.���
For more about the intersection of pagan and Christian beliefs, see my post at Unusual Historicals.

A 13th century phylactery worn for personal protection (Walters Art Museum, Creative Commons Attribution-Share Alike 3.0 Unported license, via Wikimedia Commons)
It’s Not Pagan; It’s White Magic
Officially, the early medieval Church opposed magic, and the penalties for using it for evil were harsh. But the faithful, including members of the clergy, more often used magic for good. In addition to prayers, they would employ rituals to heal sickness or ensure an abundant harvest.
We in the 21st century would see this as pagan practices coexisting with Christianity. My eighth-century Christian characters fighting pagans in Saxony would be indignant. To them, charms and amulets were white magic, nothing to do with a religion they considered devil worship.
The belief in magic plays an important role in my novels. It was so widespread that I could no more ignore it than I could the role of religion. The following excerpt from The Ashes of Heaven’s Pillar reflects the ambiguity of medieval attitudes toward magic.
Gosbert slapped his large thigh. “Ives, why did you insist that this wizard join us? He eats too much.”
“He eats no more than you,” Ives snapped. “And I asked him to join us because he’s clever and knows magic.”
“How much magic?” Gosbert asked.
“Enough,” Deorlaf answered. His hands started to sweat.
“Enough for what?”
“Enough…” Deorlaf hesitated, trying to think of something believable, “enough to charm objects and heal wounds.”
Ives gave a curt nod. “And that is all you would teach Julien? No devil worship?”
“Absolutely no devil worship.” Just a few words in Saxon.
“Very well. You have my permission to teach him.” He turned toward his nephew. “Just because you can charm an object, it doesn’t mean you act like an idiot. You still duck if someone shoots an arrow at you.”
For more about the intersection of pagan and Christian beliefs, see my post at Unusual Historicals.

A 13th century phylactery worn for personal protection (Walters Art Museum, Creative Commons Attribution-Share Alike 3.0 Unported license, via Wikimedia Commons)
November 17, 2014
5 Surprising Facts about Christianity in the Dark Ages
Religion plays a central role in the lives of my early medieval characters, but portraying Christianity in the days of Charlemagne takes more than having prayers in Latin. Visit Novel PASTimes for 5 Surprising Facts about Christianity in the Dark Ages.
November 12, 2014
St. Sturm: A Spiritual Warrior
In The Ashes of Heaven’s Pillar, Sturm, the real-life abbot of Fulda, makes a brief appearance in 772 amid the ruins of the Irminsul, a pillar sacred to the pagan Saxon peoples. Here is an imagined sermon, as heard by my heroine’s son, Deorlaf:
“I am Father Sturm,” he said. He spoke the common tongue but his accent was strange. “My companions and I want to free you from the Devil’s bonds and bring you to the True Faith.
“We tried to teach you peacefully, but you committed an abomination when you burned our churches and slaughtered our missionaries. This,” he said, holding his hand toward the blackened ground, “is retribution.
“You were taught that your devils will smite anyone who tries to harm the pillar, but your devils are powerless before the one true God. If you think you are suffering now, think of how much worse hell will be, like being dragged in a barrel full of red-hot irons. But you have a choice. Accept baptism, and you will know an eternity of joy.”
My characters have only this encounter with Sturm, but the abbot led an interesting life, one that involved nine years in the wilderness looking for the perfect spot for a monastery, a fight over a relics, royal politics, and the Christian mission in conquered Saxony. Visit Tinney Heath’s Historical Fiction Research and learn what my characters didn’t know about St. Sturm.

By Brother Eberhard at Fulda monastery (12th century, public domain image via Wikimedia Commons)
November 7, 2014
Light Waves by the Numbers
In this installment on the history of atom theory, physics professor (and my dad) Dean Zollman explains how 19th century physicists turned to mathematics as they sought patterns among those dark lines in the spectra, hoping to better understand how light was emitted. – Kim
By Dean Zollman
After the seminal work of Gustav Kirchhoff and Robert Bunsen, the collection of information about spectra moved somewhat rapidly. Many researchers were able to obtain spectra of elements and molecules. Advances in photography enabled these physicists and chemists to increase the precision of their measurements and to improve their knowledge of visible, ultraviolet, and infrared light. However, progress on understanding how the light was emitted from matter moved much more slowly.
When deep understanding is lacking, a common technique in science is to look for patterns. If a pattern can be seen in the data (particularly a mathematical relation), then maybe that pattern can be used to discover some important underlying feature or (better) a cause for the data. This process did occur in understanding how light was emitted by atoms. However, it would unfold over about 40 years and involve several important discoveries. So, we need some patience to tell the story.
Physicists and chemists began looking for mathematical relations among the wavelengths of the various spectra by about 1870. The chemists tried to connect the spectra to the relatively new periodic table. That line of reasoning did not lead to much progress, so we will not follow it here. Physicists tried to discover mathematical connections among the wavelengths of light. As we shall see shortly, it took a mathematics teacher in a high school for girls to make the real breakthrough.
Good Vibrations?
One of the physicists’ dead ends is somewhat interesting in that it gives some understanding about how science works. In the 1870s, George Johnston Stoney (1826-1911) pursued the idea that the emission of light was related to vibrations of the atom or molecule. At that time, he had no idea what an atom was. However, lots of things vibrate, so it was reasonable to assume that atoms did also.
He attempted to show that the spectral lines were components in a harmonic series related to these vibrations. If that were true, he should be able to find a simple relationship similar to the octaves on the piano, where concert A is a vibration of 440 Hertz, the next highest A is 880 Hertz and so forth. (For a short discussion of harmonic series see “Physics of Music – Notes.”)
Stoney was able to come up with some possibilities, but it was a stretch. For example he concluded that some of the lines in the hydrogen spectrum were the 284th, 288th, 291st, 293rd, 296th, and 297th harmonics of a vibration which had a period of vibration of T/9.0572, where T is the time it takes light to travel one millimeter. To obtain harmonics for the entire hydrogen spectrum, Stoney needed to have four different periods of vibration, each of which resulted in a few very high harmonics being emitted.
This theory had a couple of serious issues. First, why are some of the harmonics missing? Second, what is the meaning of periods of vibrations? So, the theory was not on good grounds. The final blow came from Arthur Shuster (1851-1934). Shuster was able to show that he could obtain a similar type of “fit” to the data using a set of random numbers. Thus, the connection to the data was not much better than a mathematical connection among results of rolling dice. While the results were not positive, the idea was worth pursuing and helped eliminate one option.
In spite of this ill-fated idea, Stoney did have a successful career as a physicist. For example, he is given credit for conceiving the idea that there is a fundament unit of electricity for which he “ventured to suggest the name electron.” The electron was not discovered for more than 20 years after Stoney coined the term, but he was right about there being a fundamental until of electricity and the name stuck.
Playing with Fractions
Meanwhile, at the urging of a colleague, Johann Jakob Balmer (1825-1898) took on the task to find a mathematical relationship among four visible spectral lines in hydrogen. Balmer taught mathematics at a secondary school for girls in Basel, Switzerland, and was a part-time math faculty member at the University of Basil. The challenge was to find some common mathematical way to express the wavelengths that had been carefully measured by Anders Ångström (1814-1874).
These wavelengths were: 656.210 nanometers (nm), 486.074 nm, 434.01 nm, and 410.12 nm. (I will use modern units rather than the ones that Balmer and Ångström used. A nanometer is 1/10,000,000th of a centimeter.) I could probably stare at these numbers for many years and not see any simple relation. But Balmer had talents that I can only dream about. In a short paper in 1885, he described a remarkable conclusion: “The wavelengths of the first four hydrogen lines are obtained by multiplying the fundamental number h = 364.56 nm in succession by the coefficients 9/5; 4/3; 25/21; and 9/8.”
We might say, “So what?” We take a seemingly random number (364.56 nm) and multiply it by four fractions that also seem to be picked out of a hat and get the correct wavelengths. But Balmer had no doubt taught his pupils that we can multiply the top and bottom of a fraction by the same number and get a new fraction with the same value.
When he multiplied the numerators and denominators of the second and fourth fractions by 4, he obtained an interesting result. The new fractions were 9/5, 16/12, 25/21, and 36/32. Now the numerators are the squares of 3, 4, 5, and 6 while the denominators are (9-4), (16-4), (25-4) and (36-4). To obtain the wavelengths of each of the hydrogen lines he multiplied
9/5 x 364.56 nm = 656.208 nm
16/12 x 364.56 nm = 486.08 nm
25/21 x 364.56 nm = 434.01 nm
36/32 x 364.56 nm = 410.01 nm.
These numbers are in remarkable agreement with Ångström’s measurements. In fact, Ballmer states that, “The deviations of the formula from Ångström’s measurements amount in the most unfavorable case to not more than 1/40,000 of a wavelength.” That kind of match is extremely rare in science.
Balmer wrote his result as a mathematical equation: 364.56 x m2/(m2-n2) where n = 2 and m = 3, 4, 5, or 6. He calculated the value of the wavelength for m = 7 and found a wavelength that should be visible. But he knew of no such observation. It turned out he was just not up-to-date on the experiments. Indeed, someone had discovered such a spectral line. So, Balmer’s formula fit the existing data and predicted another data point correctly.
We know very little about how Balmer came up with his result. He was not an academic. The paper that he wrote reads more like a blog post that a scientific document. So, he does not talk about his reasoning process or how long the process took. Some of his notes indicate that he was aware of some of Stoney’s work. We do know that Balmer liked to play with numbers, and the playing paid off in a big way.
A New Equation
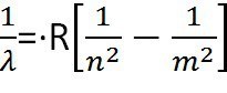
About three years later, Johannes Rydberg (1854-1919) was able to generalize Balmer’s result. He proposed the equation:
In this equation, λ (lambda) is the wavelength of the spectral lines in hydrogen, R is a constant number, n is an integer starting with 1, and m is an integer which is greater than n. Rydberg found that when n = 1 and m= 1, 2, 3, …, he could get the wavelengths of the ultraviolet lines in hydrogen. For n = 2 and m = 3, 4, …, his equation matched Balmer’s. When n = 3 and m= 4, 5, …, he got the wavelengths for some infrared lines in hydrogen.
The agreement between Rydberg’s and Balmer’s equations and the experimental results were extremely good. But the equations did not explain how the light was emitted or what the atoms did to create the light. In fact, many people still did not agree that atoms even existed.
However, the equations created a new challenge for anyone who would try to explain how matter emitted light. Any theory that was to explain this emission needed to be able to derive these equations from the theory. This was a big challenge, but the first attempt at this theory would come. However, several important discoveries would need to be made before it could happen. More on all of this next time.
Public domain images via Wikimedia Commons.
Previously
What Are Things Made of? Depends on When You Ask.
Ancient Greeks Were the First to Hypothesize Atoms
Religion, Science Clashed over Atoms
Medieval Arabic Scholarship Might Have Preserved Scientific Knowledge
Rediscovering a Roman Poet – and Atom Theory – Centuries Later
Reconciling Atom Theory with Religion
Did Atom Theory Play a Role in Galileo’s Trouble with the Inquisition?
Did Gifted Scientist’s Belief in Atoms Led to His Obscurity?
Does Atom Theory Apply to the Earthly and the Divine?
Isaac Newton: 300 Years Ahead of His Time
Issac Newton and the Philosopher’s Stone
When Chemistry and Physics Split
Mme Lavoisier: Partner in Science, Partner in Life
With Atoms, Proportionality and Simplicity Rule
Despite Evidence of Atoms, 19th Century Skeptics Didn’t Budge
Mission of the First International Scientific Conference: Clear up Confusion
Rivalry over the First Periodic Table
The Puzzle of Dark Lines amid Rainbow Colors
The Colorful Signature of Each Element
Dean Zollman is university distinguished professor of physics at Kansas State University where he has been a faculty member for more than 40 years. During his career he has received four major awards — the American Association of Physics Teachers’ Oersted Medal (2014), the National Science Foundation Director’s Award for Distinguished Teacher Scholars (2004), the Carnegie Foundation for the Advancement of Teaching Doctoral University Professor of the Year (1996), and AAPT’s Robert A. Millikan Medal (1995). His present research concentrates on the teaching and learning of physics and on science teacher preparation.
October 29, 2014
A Battle for Land and Souls
When Charlemagne waged his first war against the Continental Saxons in 772, he did something different than his ancestors. He went after a pillar sacred to pagan peoples: the Irminsul.
Why target a religion in addition to strategic territory? I explore that question in my post about the monument’s destruction at Unusual Historicals.

1882 illustration by Heinrich Leutemann of the destruction of the Irminsul, public domain via Wikimedia Commons


