The failure of the Scottish smoking ban
A new study in PloS has found that Scotland's smoking ban had no effect on the country's smoking rate in the long term. Authored by the notorious Jill Pell and colleagues from Glasgow University, the study shows that there was an upswing in quit attempts in the months before and after the implementation of the ban (March 2006), but that these attempts had no lasting effect on smoking prevalence.
The graph below, which comes from the PloS study, shows 12 years of smoking prevalence data. The dotted line shows the predicted rate based on past performance. The vertical line shows the smoking ban.
If you look closely, you can see that smoking prevalence dropped below the anticipated level for a while around the time of the ban, but then rose back to the normal level where it has remained ever since.
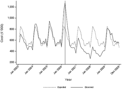
The graph below shows the quantities of nicotine replacement therapy (NRT) being handed out by the Scottish NHS between 2003 and 2009. Again, the dotted line shows the predicted figures.
Assuming that NRT prescriptions are a marker for total quit attempts (a reasonable assumption), there was a rise in people trying to give up around the time of the ban. Quit attempts then fell below the average for the next two years. This suggests that many of the people who would have made a quit attempt in 2007 or 2008 brought their attempt forward to late 2005/early 2006. Having failed to quit at the time of the ban, these people did not try again in the next couple of years. Over the whole period, there was no increase in the number of people who tried to quit.
The rise in quit attempts was no doubt bolstered by the publicity about the ban and the expensive smoking cessation campaigns that accompanied the legislation. As the study's authors note:
It was not the ban, but the fear of the ban, combined with increased advertising for smoking cessation services, that led to the increase in quit attempts—this is evident from the fact that the 1.7% drop in smoking prevalence pre-dated the ban by several months. Contrary to the expectations of anti-smoking lobbyists, the ban itself did not help people sustain their quit attempts, nor did it have any independent effect on the smoking rate. Given the choice of giving up smoking or giving up the pub, many of them gave up the pub.
Despite a large surge in the amount of NRT being distributed, there was no lasting effect on smoking prevalence. The short term blip was not sustained in the medium- or long-term. Ultimately, the ban failed to achieve what its advocates hoped and predicted. It also suggests that NRT products are not very good at helping people quit for more than a few weeks or months.
This should all be contrasted with the claims put forward before the ban. In 2005, NHS Scotland's 'evidence-based' review of the literature found that:
A more conservative estimate would have been 0%. It would have been right.
And let us cast our minds back to 2006 when the BBC reported this breathless forecast from Scotland's Chief Medical Officer...
We now know that this "surge" was a temporary blip which was followed by two years of fewer people "seeking help to give up." It turns out that Imperial Tobacco was better at predicting the future than Harry Burns. This, also from 2006...
Can we expect a mea culpa from the anti-smoking campaigners who predicted a huge drop in the number of smokers, if not the elimination of lung cancer? Can we expect them to reassess their strategy in the light of yet another broken promise?
We cannot. As I have said many times, tobacco control is not a results-driven business. As in Ireland, where the smoking rate is now higher than before the ban, the anti-tobacco industry has only one response to failure—more of the same. Pell et al's conclusion epitomises this mindset.
Heads, we win. Tails, you lose.
The graph below, which comes from the PloS study, shows 12 years of smoking prevalence data. The dotted line shows the predicted rate based on past performance. The vertical line shows the smoking ban.

If you look closely, you can see that smoking prevalence dropped below the anticipated level for a while around the time of the ban, but then rose back to the normal level where it has remained ever since.
... in October–December 2005 immediately prior to the introduction of the ban prevalence fell by 1.70% more than expected from the underlying trend. The magnitude of the decay parameter, −0.08, (95% CI −0.38, 0.22) indicates that this effect was short lived with prevalence returning to its long term trend by the last quarter of 2006.
The graph below shows the quantities of nicotine replacement therapy (NRT) being handed out by the Scottish NHS between 2003 and 2009. Again, the dotted line shows the predicted figures.

Assuming that NRT prescriptions are a marker for total quit attempts (a reasonable assumption), there was a rise in people trying to give up around the time of the ban. Quit attempts then fell below the average for the next two years. This suggests that many of the people who would have made a quit attempt in 2007 or 2008 brought their attempt forward to late 2005/early 2006. Having failed to quit at the time of the ban, these people did not try again in the next couple of years. Over the whole period, there was no increase in the number of people who tried to quit.
The rise in quit attempts was no doubt bolstered by the publicity about the ban and the expensive smoking cessation campaigns that accompanied the legislation. As the study's authors note:
In the six months leading up to implementation of the legislation there were two high profile television campaigns.
It was not the ban, but the fear of the ban, combined with increased advertising for smoking cessation services, that led to the increase in quit attempts—this is evident from the fact that the 1.7% drop in smoking prevalence pre-dated the ban by several months. Contrary to the expectations of anti-smoking lobbyists, the ban itself did not help people sustain their quit attempts, nor did it have any independent effect on the smoking rate. Given the choice of giving up smoking or giving up the pub, many of them gave up the pub.
Despite a large surge in the amount of NRT being distributed, there was no lasting effect on smoking prevalence. The short term blip was not sustained in the medium- or long-term. Ultimately, the ban failed to achieve what its advocates hoped and predicted. It also suggests that NRT products are not very good at helping people quit for more than a few weeks or months.
This should all be contrasted with the claims put forward before the ban. In 2005, NHS Scotland's 'evidence-based' review of the literature found that:
Prospective cohort studies reported reductions in smoking prevalence of 7–20% and population-based studies comparing workplaces with and without restrictions showed 15–20% lower prevalence. Partial restrictions had little or no effect. A recent meta-analysis reported a 3.8% reduction in absolute prevalence (pooled effect) associated with smoke-free workplaces.
Given the uncertainty around the precise estimate, the benefit of reduced smoking prevalence has been estimated using conservative estimates of the effect, with a range of 1–3%.
A more conservative estimate would have been 0%. It would have been right.
And let us cast our minds back to 2006 when the BBC reported this breathless forecast from Scotland's Chief Medical Officer...
Ban will 'eradicate lung cancer'
Lung cancer could be virtually wiped out in Scotland as a result of the smoking ban in public places, according to the chief medical officer.
Dr Harry Burns said lung cancer rates would be reduced to just a few hundred cases a year in the future.
Dr Burns said: "Imagining Scotland with no lung cancer is not trivial speculation. In the 1960s, one in 100 men died of lung cancer. Today, rates are falling all the time and thanks to the smoking ban, I expect the reduction in deaths to accelerate until dying from the disease becomes a rare occurrence.
"Anecdotal evidence shows that since the smoking ban, there has been a surge in the numbers of smokers seeking help to give up."
We now know that this "surge" was a temporary blip which was followed by two years of fewer people "seeking help to give up." It turns out that Imperial Tobacco was better at predicting the future than Harry Burns. This, also from 2006...
Imperial not worried by smoke ban
The world's fourth-largest tobacco group, Imperial Tobacco, has said it does not expect UK smoking bans to have a significant impact on business.
"We believe [UK] smokers will continue to choose to smoke regardless of regulations and our view is supported by experiences in other markets," said Imperial.
Can we expect a mea culpa from the anti-smoking campaigners who predicted a huge drop in the number of smokers, if not the elimination of lung cancer? Can we expect them to reassess their strategy in the light of yet another broken promise?
We cannot. As I have said many times, tobacco control is not a results-driven business. As in Ireland, where the smoking rate is now higher than before the ban, the anti-tobacco industry has only one response to failure—more of the same. Pell et al's conclusion epitomises this mindset.
Quit attempts increased in the three months leading up to Scotland's smoke-free legislation, resulting in a fall in smoking prevalence. However, neither has been sustained suggesting the need for additional tobacco control measures and ongoing support.
Heads, we win. Tails, you lose.
Published on November 27, 2011 19:35
No comments have been added yet.
Christopher Snowdon's Blog
- Christopher Snowdon's profile
- 6 followers
Christopher Snowdon isn't a Goodreads Author
(yet),
but they
do have a blog,
so here are some recent posts imported from
their feed.
