Adam Chehouri's Blog, page 3
March 1, 2015
An Optimization Problem Solved by a Genetic Algorithm - Wifi Antenna
Suppose you run a small business in your town, let's call your town Smallville, and no unfortunately Clark Kent is absent in this story. Two years ago they found black gold, yes oil and gas, and our countryside town is emerging and growing at an exponential rate. They have expanded the local clinic into a hospital, constructed an elementary school 15 miles north west of the library, the grand opening of the 4 star hotel is set to be in a month and finally the keys for 50 more residential houses are expected to be handed to the owners by the end of the year. If your business is to provide Internet to the locals, you have no choice but to expand your services in order to adapt with the increasing demands.
On a Monday morning you sit back behind the desktop of your office, a couple of Google searches and a few emails later you order a new top of the class antenna that can provide 10 times more data than your current installation. Ten business days later, your brand new X3100 arrives and a few paper works later, Mr Joe the delivery man is set to go his way back to New York. Just as he is climbing into his driver seat, you rush to his vehicle to ask him: Excuse me Sir, but you forgot to give me the manual that indicates where this class A antenna should be installed ? Mr Joe answers you politely: "I only deliver the items my dear and our company only supplies the product, the rest if on you". Seeing Clark Kent does not live in Smallville anymore, you have no choice but to depend on yourself to solve this one!
This short story, as stupid and idiotic as it may seem corresponds to an engineering problem and hopefully by the end of this post, we will solve it. Now let us take a look at the pieces of this puzzle. Let us suppose that my new X3100 is to provide high speed Internet to 5 different locations. Each location is a defined by two properties:Coordinates (x,y) (in kilometers)Average usage hours per month (in hours)Now you return back to your office, sit on your warm chair this time scratching your head here and there when it hits you: I can solve this, I've always provided the best quality to my customers and never in 7 years of business have I had one major complaint. I am known to provide the maximum speed where Internet is needed the most. That was always your main objective and you only wish to continue in this fashion.
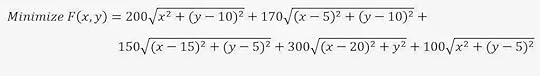
If I told you that by now, we've solved 50 % of our problem you would probably be anxious to know more. The problem we are dealing with here - the determination of the exact location to install the X3100 is an engineering optimization problem that can formulated as follows:Objective Function: maximize the speed of the Internet where the consumption is the highest. This is equivalent to: minimize the sum of the distance weighted by the average usage hours. We can accept this concept by admitting that there is a direct correlation between distance antenna-consumer and the speed (the higher the distance, the slower the speed will be). Since priority is given to the clients with a higher consumption, this protocol has to be included in the objective function. Excuse my drawing skills below, I need to improve my skills in computer drawing softwares (awaiting your suggestions in the comments section), from it we can write the objective function (or fitness function) to our problem.
Constraints: Yes the town is has plenty of empty space but you the municipality has new regulations. You are only allowed to set your antenna in zone Z1, which happens to be a non habitable forest just north of the public library. Given a reference coordinate system, we are limited to the following area Z1 by:
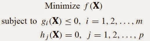
A general constrained minimization problem can be stated as follows (Rao 2009):
where X is an n-dimensional vector called the design vector (in our case the design vector is composed of the x and y coordinates relative to the location of the antenna on the map), f(X) is termed the objective function (in this example the objective function is the sum of the distances between antenna and consumers weighted by the average consumption of each customer), g(X) and h(X) are know as inequality and equality constraints respectively (the mayor of Smallville was kind to us and only asked to keep the antenna in Z1 described above).
Now how do we solve this constrained optimization problem ? I don't want to review all the optimization techniques in this post, that is not my intention, maybe I will be inspired some other day to post something, but to be as brief as possible, there are two categories:traditional mathematical programming techniques. Mostly based on the evaluation of the objective function and its derivatives. They are mostly gradient based approaches. modern or untraditional methods. They are based on the behavior of biological, molecular, swarm of insects, neurological systems etc. They are meta-heuristic methods. Most of the modern techniques have been only developed in recent years and we are beginning to notice that they are emerging as very popular methods for the solution of complex engineering problems. The main advantage is that they only require the function values and not the derivatives (which can be difficult and requires a high computational time to calculate). Between all the modern methods, arguably genetic algorithms are the most famous. Genetic algorithms are based on the principles of natural genetics and natural selection.
Although genetic algorithms were first implemented by Holland, philosophically, they are based on the concepts of biological evolution or Darwin's theory of the survival of the fittest . Genetic algorithms are based on the principles of natural genetics and natural selection. The basic elements of natural genetics are:ReproductionCrossoverMutationAs for the process, it is not difficult to comprehend and I will explain in a few lines:Initialization: A population of points is formed for the procedure (unlike traditional methods where we choose an initial point). This population can be randomly initiated or it can respect some of our constraints (as to why, the reader is referred to Rao 2009).Evaluation: The fitness functions of each chromosome (each vector) of the population is evaluated. Sorting: The population is sorted accordingly from the weakest to the strongest fitness (depending whether it is a minimization of a maximization problem). In our case from the weakest to the strongest since f(X) is minimized. Selection: The chromosomes that scored the lowest fitness are chosen as the Elites. From the remaining population, children are formed by crossover (marriage of two chromosomes) or by genetic mutation (randomly changing the genes of the chromosomes). The old generation is replaced with the new population to form the next generation.The processes 2 to 4 are repeated until a stopping criteria is met (usually either we reach the maximum number of generations or a certain convergence tolerance is respected).
This evolutionary process is very simple to program. In fact the main code that I used to solve our antenna X3100 problem is a 76 lines Matlab code. To view, download and use the code click here.
When we run the code that Dr Rafic Younes and I wrote for a population of 500 formed by 10 elites, 130 mutated and the rest (360) are by crossover, we get the following coordinates to set-up our lovely X3100 antenna at the same time respecting the municipality regulation according to Z1:
X = 6.25 Y = 6.39
Now, let us assume the city hall passed a new law that stretches Z1 to form a bigger domain Z2 defined by:
Modifying the upper and lower boundaries, clicking run and a few seconds later we have the exact location of antenna X3100. (X = 5.868 and Y = 2.577).
Now how cool was that ?Welcome to the world of optimization, welcome to my field of research.
On a Monday morning you sit back behind the desktop of your office, a couple of Google searches and a few emails later you order a new top of the class antenna that can provide 10 times more data than your current installation. Ten business days later, your brand new X3100 arrives and a few paper works later, Mr Joe the delivery man is set to go his way back to New York. Just as he is climbing into his driver seat, you rush to his vehicle to ask him: Excuse me Sir, but you forgot to give me the manual that indicates where this class A antenna should be installed ? Mr Joe answers you politely: "I only deliver the items my dear and our company only supplies the product, the rest if on you". Seeing Clark Kent does not live in Smallville anymore, you have no choice but to depend on yourself to solve this one!
This short story, as stupid and idiotic as it may seem corresponds to an engineering problem and hopefully by the end of this post, we will solve it. Now let us take a look at the pieces of this puzzle. Let us suppose that my new X3100 is to provide high speed Internet to 5 different locations. Each location is a defined by two properties:Coordinates (x,y) (in kilometers)Average usage hours per month (in hours)Now you return back to your office, sit on your warm chair this time scratching your head here and there when it hits you: I can solve this, I've always provided the best quality to my customers and never in 7 years of business have I had one major complaint. I am known to provide the maximum speed where Internet is needed the most. That was always your main objective and you only wish to continue in this fashion.
If I told you that by now, we've solved 50 % of our problem you would probably be anxious to know more. The problem we are dealing with here - the determination of the exact location to install the X3100 is an engineering optimization problem that can formulated as follows:Objective Function: maximize the speed of the Internet where the consumption is the highest. This is equivalent to: minimize the sum of the distance weighted by the average usage hours. We can accept this concept by admitting that there is a direct correlation between distance antenna-consumer and the speed (the higher the distance, the slower the speed will be). Since priority is given to the clients with a higher consumption, this protocol has to be included in the objective function. Excuse my drawing skills below, I need to improve my skills in computer drawing softwares (awaiting your suggestions in the comments section), from it we can write the objective function (or fitness function) to our problem.
Constraints: Yes the town is has plenty of empty space but you the municipality has new regulations. You are only allowed to set your antenna in zone Z1, which happens to be a non habitable forest just north of the public library. Given a reference coordinate system, we are limited to the following area Z1 by:
A general constrained minimization problem can be stated as follows (Rao 2009):
where X is an n-dimensional vector called the design vector (in our case the design vector is composed of the x and y coordinates relative to the location of the antenna on the map), f(X) is termed the objective function (in this example the objective function is the sum of the distances between antenna and consumers weighted by the average consumption of each customer), g(X) and h(X) are know as inequality and equality constraints respectively (the mayor of Smallville was kind to us and only asked to keep the antenna in Z1 described above).
Now how do we solve this constrained optimization problem ? I don't want to review all the optimization techniques in this post, that is not my intention, maybe I will be inspired some other day to post something, but to be as brief as possible, there are two categories:traditional mathematical programming techniques. Mostly based on the evaluation of the objective function and its derivatives. They are mostly gradient based approaches. modern or untraditional methods. They are based on the behavior of biological, molecular, swarm of insects, neurological systems etc. They are meta-heuristic methods. Most of the modern techniques have been only developed in recent years and we are beginning to notice that they are emerging as very popular methods for the solution of complex engineering problems. The main advantage is that they only require the function values and not the derivatives (which can be difficult and requires a high computational time to calculate). Between all the modern methods, arguably genetic algorithms are the most famous. Genetic algorithms are based on the principles of natural genetics and natural selection.
Although genetic algorithms were first implemented by Holland, philosophically, they are based on the concepts of biological evolution or Darwin's theory of the survival of the fittest . Genetic algorithms are based on the principles of natural genetics and natural selection. The basic elements of natural genetics are:ReproductionCrossoverMutationAs for the process, it is not difficult to comprehend and I will explain in a few lines:Initialization: A population of points is formed for the procedure (unlike traditional methods where we choose an initial point). This population can be randomly initiated or it can respect some of our constraints (as to why, the reader is referred to Rao 2009).Evaluation: The fitness functions of each chromosome (each vector) of the population is evaluated. Sorting: The population is sorted accordingly from the weakest to the strongest fitness (depending whether it is a minimization of a maximization problem). In our case from the weakest to the strongest since f(X) is minimized. Selection: The chromosomes that scored the lowest fitness are chosen as the Elites. From the remaining population, children are formed by crossover (marriage of two chromosomes) or by genetic mutation (randomly changing the genes of the chromosomes). The old generation is replaced with the new population to form the next generation.The processes 2 to 4 are repeated until a stopping criteria is met (usually either we reach the maximum number of generations or a certain convergence tolerance is respected).
This evolutionary process is very simple to program. In fact the main code that I used to solve our antenna X3100 problem is a 76 lines Matlab code. To view, download and use the code click here.
When we run the code that Dr Rafic Younes and I wrote for a population of 500 formed by 10 elites, 130 mutated and the rest (360) are by crossover, we get the following coordinates to set-up our lovely X3100 antenna at the same time respecting the municipality regulation according to Z1:X = 6.25 Y = 6.39
Now, let us assume the city hall passed a new law that stretches Z1 to form a bigger domain Z2 defined by:
Modifying the upper and lower boundaries, clicking run and a few seconds later we have the exact location of antenna X3100. (X = 5.868 and Y = 2.577).
Now how cool was that ?Welcome to the world of optimization, welcome to my field of research.
Published on March 01, 2015 21:38
February 27, 2015
Webinar Writing Quality Technical Papers March 2015
I will be attending this webinar on how to write a quality technical paper and where to publish it in IEEE given by Professor Saifur Rahman. Click here to visit his homepage, you can also view his Google Scholar profile here.Date and Time: March 3, 2015, 2:00 pm (-5 GMT)
REGISTER HERE
Published on February 27, 2015 07:06
February 21, 2015
Thinking Out Loud....
Exactly a year ago I launched this blog. Now, what were the reasons and why now that you can read all about it here, I am not here to talk about that right now. Today, during this anniversary and in the event of past and recent circumstances, I find myself required to share with you, for few minutes some of my thoughts... compelled to think out loud.
Awkwardly enough today I don't have anything prepared on a piece of paper and I care less of the structure of this post. So why not start with the relevant question. 2014.I designed my blog, launched it and wrote my first post not far from where I am sitting here right now, just across the neighboring parking lot, in a small apartment, sharing one roof with 3 other students, the longest conversation I've had with any was when I assisted the young fellow to order his chicken from St-Hubert.
When I look at myself 12 month later I am conflicted. I am now one month into my second PhD year, published two papers, grateful for that, I was able to step over some barriers this past Fall, my directors are pleased with my progress and so academically speaking, I did OK and God willing it will remain that way.
Surely I did not write this blog to brag about all of the above... Nope....
William Shakespeare quotes: "Love that we cannot have is the one that lasts the longest, hurts the deepest, but feels the strongest"
At an early age we are taught to go to schools, to learn about sciences so to speak and to grasp the fundamentals of math because it is the language of Engineers (and society can't function without them so yeah even if only one or two young fellows in the class will attend a faculty of engineering, not more than three will pursuit a career in medicine why not make them all suffer with hardcore math and science.. anyways we'll leave this for another discussion). I hated every second of my language classes because I found them "useless", to be fair, I was never convinced otherwise. We were told that numbers matter, equations mattered.... We learned how to exploit our intellectual intelligence and neglected our emotional intelligence.
Basically, I've been lied to all this time...
But that's not my point here. Inside that class, we will have future lawyers, dentist, artist, athletes (not because of the system but rather of individual effort... leave that for the same discussion later on...). What troubled me the most as a result of the recent events (for reasons that I find not fitting to share to prevent exposing any clues about the identity of the second party), I was never taught how to Love? What is Love? How to seek Love?
Our Holy Quran discusses "Love" in each of its areas in: man's love of things, human love, man's love of God, the negatives that God does not love, God's love for man.... I wasn't taught the Quran when I was young and I admit that I am responsible for abandoning the Quran. The beauty of the Quran in my opinion is that it is universal, applicable in any space or time and is presented to the human in a matter that requires him or her to reflect in order to taste the meaning of its verses.Here is my dilemma.
When it comes to relationships with the opposite sex, I am weak and admit it... afraid. I am 24 years old, my martial status is single (and that is not an open invitation), simply because I lack the knowledge as to how to behave and co-exist with the opposite sex as a Muslim male. At first, I thought it was because I was raised in a Western society at an early age, but to realize the severity of this issue, shockingly for me, when I moved to the Middle East. Now we may debate, it is not the case of one problem one formula, so let me be specific, let me discuss about my small town in Lebanon (I am hesitating to state the name... leave that to another discussion as well). Anyhow, the point I am trying to make is that if we claim that Islam is a holistic way of life, then certainly there is an answer for every question, for every scenario... unless that is not the reason why I couldn't find an answer to this mysterious emotion we call Love ... unless we are neglecting something, have been neglecting and we continue to... Till this day, my answer is, culture.
My explanation as to why my host culture does not offer me an answer as to how to love, what is love and how to seek it, is because once again culture, with it's traditions, taboos, social habits and history is interfering. Now "interfere" may be a harsh word, feel free to comment below, let this post be the subject of a profound and serious debate.
I am not convinced that in Islam, love between two opposite sex can "always" be arranged by parents, I believe that marriage is a choice. You may agree with me with this claim but differ with the examination, stating that we never said it was otherwise and that I am exaggerating. I am not convinced and disagree to acknowledge that the female is entitled to one shot and that the male should seek for a female with N discrete criteria's. What is the barrier here, Islamic rulings or culture? Let me make myself clear here, I am not declaring a state of emergency, nor am I requesting for a freedom of sexuality such as in the Western societies, but rather a freedom to Love, to seek love and to explore Love... this ladies and gentleman, unfortunately was the topic of a serious discussion in multiple occasions in the classrooms, universities and friendly reunions in Canada, where we weren't presented with the solution, because lets face it, it is not a deterministic problem with a single solution. We were asked to reflect, to listen and to discuss under one platform. Never,was it the subject of study during my senior year in Lebanon, or even the topic of a Friday sermon, or the substance of study of our scholars... If I am wrong, please provide me the evidence, I am calling for it, because tonight, I am simply thinking out loud.
One Love
Awkwardly enough today I don't have anything prepared on a piece of paper and I care less of the structure of this post. So why not start with the relevant question. 2014.I designed my blog, launched it and wrote my first post not far from where I am sitting here right now, just across the neighboring parking lot, in a small apartment, sharing one roof with 3 other students, the longest conversation I've had with any was when I assisted the young fellow to order his chicken from St-Hubert.
When I look at myself 12 month later I am conflicted. I am now one month into my second PhD year, published two papers, grateful for that, I was able to step over some barriers this past Fall, my directors are pleased with my progress and so academically speaking, I did OK and God willing it will remain that way.
Surely I did not write this blog to brag about all of the above... Nope....
William Shakespeare quotes: "Love that we cannot have is the one that lasts the longest, hurts the deepest, but feels the strongest"
At an early age we are taught to go to schools, to learn about sciences so to speak and to grasp the fundamentals of math because it is the language of Engineers (and society can't function without them so yeah even if only one or two young fellows in the class will attend a faculty of engineering, not more than three will pursuit a career in medicine why not make them all suffer with hardcore math and science.. anyways we'll leave this for another discussion). I hated every second of my language classes because I found them "useless", to be fair, I was never convinced otherwise. We were told that numbers matter, equations mattered.... We learned how to exploit our intellectual intelligence and neglected our emotional intelligence.
Basically, I've been lied to all this time...
But that's not my point here. Inside that class, we will have future lawyers, dentist, artist, athletes (not because of the system but rather of individual effort... leave that for the same discussion later on...). What troubled me the most as a result of the recent events (for reasons that I find not fitting to share to prevent exposing any clues about the identity of the second party), I was never taught how to Love? What is Love? How to seek Love?
Our Holy Quran discusses "Love" in each of its areas in: man's love of things, human love, man's love of God, the negatives that God does not love, God's love for man.... I wasn't taught the Quran when I was young and I admit that I am responsible for abandoning the Quran. The beauty of the Quran in my opinion is that it is universal, applicable in any space or time and is presented to the human in a matter that requires him or her to reflect in order to taste the meaning of its verses.Here is my dilemma.
When it comes to relationships with the opposite sex, I am weak and admit it... afraid. I am 24 years old, my martial status is single (and that is not an open invitation), simply because I lack the knowledge as to how to behave and co-exist with the opposite sex as a Muslim male. At first, I thought it was because I was raised in a Western society at an early age, but to realize the severity of this issue, shockingly for me, when I moved to the Middle East. Now we may debate, it is not the case of one problem one formula, so let me be specific, let me discuss about my small town in Lebanon (I am hesitating to state the name... leave that to another discussion as well). Anyhow, the point I am trying to make is that if we claim that Islam is a holistic way of life, then certainly there is an answer for every question, for every scenario... unless that is not the reason why I couldn't find an answer to this mysterious emotion we call Love ... unless we are neglecting something, have been neglecting and we continue to... Till this day, my answer is, culture.
My explanation as to why my host culture does not offer me an answer as to how to love, what is love and how to seek it, is because once again culture, with it's traditions, taboos, social habits and history is interfering. Now "interfere" may be a harsh word, feel free to comment below, let this post be the subject of a profound and serious debate.
I am not convinced that in Islam, love between two opposite sex can "always" be arranged by parents, I believe that marriage is a choice. You may agree with me with this claim but differ with the examination, stating that we never said it was otherwise and that I am exaggerating. I am not convinced and disagree to acknowledge that the female is entitled to one shot and that the male should seek for a female with N discrete criteria's. What is the barrier here, Islamic rulings or culture? Let me make myself clear here, I am not declaring a state of emergency, nor am I requesting for a freedom of sexuality such as in the Western societies, but rather a freedom to Love, to seek love and to explore Love... this ladies and gentleman, unfortunately was the topic of a serious discussion in multiple occasions in the classrooms, universities and friendly reunions in Canada, where we weren't presented with the solution, because lets face it, it is not a deterministic problem with a single solution. We were asked to reflect, to listen and to discuss under one platform. Never,was it the subject of study during my senior year in Lebanon, or even the topic of a Friday sermon, or the substance of study of our scholars... If I am wrong, please provide me the evidence, I am calling for it, because tonight, I am simply thinking out loud.
One Love
Published on February 21, 2015 20:55
January 20, 2015
Review Article: Review of Performance Optimization Techniques Applied to Wind Turbines
My latest publication is a review paper titled
Review of Performance Optimization Techniques Applied to Wind Turbines
. I submitted my review to the journal of
Applied Energy
in August 2014 and it was accepted on December 21 2014. The article is now available online and should be published in Volume 132 (15 March 2015).
AbstractThis paper presents a review of the optimization techniques and strategies applied to wind turbine performance optimization. The topic is addressed by identifying the most significant objectives, targets and issues, as well as the optimization formulations, schemes and models available in the published literature.The current energy demand combined with depletion of fossil-fuel reserves and stricter environmental regulations have led to the development of alternative renewable energy solutions like wind energy. The current 2030 United States target is to have at least 20% of the US energy supply by onshore and offshore wind farms. To meet these demands, wind energy costs have to be able to compete with traditional fossil fuel sources. Hence, it is essential and vital that wind turbine designers and manufactures search the optimal solution that fits the objectives under a set of design constraints. Throughout the last 30 years, the objective function has evolved from the earlier maximized metric of the power coefficient to the maximization of the annual energy production. Common alternatives such as blade mass minimization and maximization of the rotor thrust and torque have been examined. However, the main objective has been focused on the minimization of the cost of energy in order for wind energy to become more competitive and economically attractive.The purpose of this paper is to review previous work that undertakes the performance optimization of horizontal wind turbines by highlighting the main aspects when tackling the wind turbine optimization problem such as: objective functions, design constraints, tools and models and optimization algorithms. In addition, in a conclusion of the review, a discussion and argument about the challenges, issues and future developments are identified.Click Here to access full-text in ScienceDirect. I dedicate the completion of this paper to first and foremost the Lord, my supervising team Dean Rafic Younes, Dr Adrian Ilinca and Dr Jean Perron and my family & friends for all their academical and emotional support throughout the preparation of my literature review.
AbstractThis paper presents a review of the optimization techniques and strategies applied to wind turbine performance optimization. The topic is addressed by identifying the most significant objectives, targets and issues, as well as the optimization formulations, schemes and models available in the published literature.The current energy demand combined with depletion of fossil-fuel reserves and stricter environmental regulations have led to the development of alternative renewable energy solutions like wind energy. The current 2030 United States target is to have at least 20% of the US energy supply by onshore and offshore wind farms. To meet these demands, wind energy costs have to be able to compete with traditional fossil fuel sources. Hence, it is essential and vital that wind turbine designers and manufactures search the optimal solution that fits the objectives under a set of design constraints. Throughout the last 30 years, the objective function has evolved from the earlier maximized metric of the power coefficient to the maximization of the annual energy production. Common alternatives such as blade mass minimization and maximization of the rotor thrust and torque have been examined. However, the main objective has been focused on the minimization of the cost of energy in order for wind energy to become more competitive and economically attractive.The purpose of this paper is to review previous work that undertakes the performance optimization of horizontal wind turbines by highlighting the main aspects when tackling the wind turbine optimization problem such as: objective functions, design constraints, tools and models and optimization algorithms. In addition, in a conclusion of the review, a discussion and argument about the challenges, issues and future developments are identified.Click Here to access full-text in ScienceDirect. I dedicate the completion of this paper to first and foremost the Lord, my supervising team Dean Rafic Younes, Dr Adrian Ilinca and Dr Jean Perron and my family & friends for all their academical and emotional support throughout the preparation of my literature review.
Published on January 20, 2015 08:02
Review Article : Review of Performance Optimization Techniques Applied to Wind Turbines
My latest publication is a review paper titled
Review of Performance Optimization Techniques Applied to Wind Turbines
. I submitted my review to the journal of
Applied Energy
in August 2014 and it was accepted on December 21 2014. The article is now available online and should be published in Volume 132 (15 March 2015).
AbstractThis paper presents a review of the optimization techniques and strategies applied to wind turbine performance optimization. The topic is addressed by identifying the most significant objectives, targets and issues, as well as the optimization formulations, schemes and models available in the published literature.The current energy demand combined with depletion of fossil-fuel reserves and stricter environmental regulations have led to the development of alternative renewable energy solutions like wind energy. The current 2030 United States target is to have at least 20% of the US energy supply by onshore and offshore wind farms. To meet these demands, wind energy costs have to be able to compete with traditional fossil fuel sources. Hence, it is essential and vital that wind turbine designers and manufactures search the optimal solution that fits the objectives under a set of design constraints. Throughout the last 30 years, the objective function has evolved from the earlier maximized metric of the power coefficient to the maximization of the annual energy production. Common alternatives such as blade mass minimization and maximization of the rotor thrust and torque have been examined. However, the main objective has been focused on the minimization of the cost of energy in order for wind energy to become more competitive and economically attractive.The purpose of this paper is to review previous work that undertakes the performance optimization of horizontal wind turbines by highlighting the main aspects when tackling the wind turbine optimization problem such as: objective functions, design constraints, tools and models and optimization algorithms. In addition, in a conclusion of the review, a discussion and argument about the challenges, issues and future developments are identified.Click Here to access full-text in ScienceDirect. I dedicate the completion of this paper to first and foremost the Lord, my supervising team Dean Rafic Younes, Dr Adrian Ilinca and Dr Jean Perron and my family & friends for all their academical and emotional support throughout the preparation of my literature review.
AbstractThis paper presents a review of the optimization techniques and strategies applied to wind turbine performance optimization. The topic is addressed by identifying the most significant objectives, targets and issues, as well as the optimization formulations, schemes and models available in the published literature.The current energy demand combined with depletion of fossil-fuel reserves and stricter environmental regulations have led to the development of alternative renewable energy solutions like wind energy. The current 2030 United States target is to have at least 20% of the US energy supply by onshore and offshore wind farms. To meet these demands, wind energy costs have to be able to compete with traditional fossil fuel sources. Hence, it is essential and vital that wind turbine designers and manufactures search the optimal solution that fits the objectives under a set of design constraints. Throughout the last 30 years, the objective function has evolved from the earlier maximized metric of the power coefficient to the maximization of the annual energy production. Common alternatives such as blade mass minimization and maximization of the rotor thrust and torque have been examined. However, the main objective has been focused on the minimization of the cost of energy in order for wind energy to become more competitive and economically attractive.The purpose of this paper is to review previous work that undertakes the performance optimization of horizontal wind turbines by highlighting the main aspects when tackling the wind turbine optimization problem such as: objective functions, design constraints, tools and models and optimization algorithms. In addition, in a conclusion of the review, a discussion and argument about the challenges, issues and future developments are identified.Click Here to access full-text in ScienceDirect. I dedicate the completion of this paper to first and foremost the Lord, my supervising team Dean Rafic Younes, Dr Adrian Ilinca and Dr Jean Perron and my family & friends for all their academical and emotional support throughout the preparation of my literature review.
Published on January 20, 2015 08:02
November 28, 2014
Tips For Writing a Review Paper
When my director proposed that I should begin writing a review article few month into my PhD program, reflecting on that moment now I would have hoped to cross a prep-article with some insights and tips on how to write a scientific review article. Unfortunately I did not, and now that I have finally submitted my second revision (fingers crossed that it will be finally approved for publication), I've noted for a while on my To-Do list the writing of this post. I will try to be as clear and honest as possible highlighting some tips to complete the task of writing a scientific review paper.
Yes it is unusual that a first year PhD student writes a literature review even before beginning his research. Most PhD candidates if not all must go threw the phase of a bibliographic study, reading hundreds of research papers, dissertations and reports to familiarize themselves with their thesis. Into their second year they've published one or two conference papers and writing a review isn't a priority. My directors and I chose a different path where my first task was to complete the bibliographic study but it should give birth to a review. Easier said than done, but ultimately rewarding and I cannot draw to you how much it will help you during your doctoral studies, however I will try to share some essential tips in the hopes that they will facilitate the preparation, writing and submission of your review paper.
Narrow the Scope of the Review
My thesis involves wind turbine optimization, mainly the optimization of the composite structure of wind turbine blades. I remember the moment when I ran my first search on Google Scholar on "wind turbine optimization" and thousands of researched papers appeared. If you don't settle the area of your review with your directors at start you will be sucked into an indefinite vortex of endless sources, a terrifying journey nonetheless frustrating and depressing. Limit your search's only to your topic, choose well the papers that deserve an overview and don't step outside too much or else hundreds of undiscovered doors will appear behind them hundreds more. Since understanding the question is halfway into solving the problem, the first step is to narrow the scope of the review, define an objective or objectives (be careful not too many) and automatically you are now targeting a specific audience. It's game time so put your game face ON.
Patience, Patience and more Patience
Game face is ON now, but I've got some hard news for you: it took me 8 months to write the review and about of 4 months of revision, correction and back and forth submissions. Patience is a must. You must be prepared to read a lot of papers.
I Found a Published Review - Panic Alert !
You are most likely going to come across published reviews that might slightly discuss the subject of your intended review. Don't Panic! It doesn't mean that your paper is going to be rejected and sure doesn't give you the right to simply continue where he left off. A good review is one that is up-to-date but the authors should not forget older studies.
Trust your Mind, your Directors and No One Else
Often your colleagues in the laboratory are working in different fields and cannot be an efficient second hand. Even if they might be familiar with your field, no one really wants to help you, simply because it's a mess! Every week summarize your progress into PowerPoint slides, organize Skype meetings and discuss with your advisors. Take their detailed comments into consideration and don't hide your feelings along the way. Admit to them that this particular paper requires a deeper analyse or that you don't find any significant value in exploring a certain sub-domain.
Get to Know a Reference Manager Software
Organization is crucial. As mentioned earlier, the first shock is when hundred of papers suddenly appear on Google and you let the "save as" begin and so organizing your references is very crucial. I found two tools to be the most important in finding and managing my references. The first is Google Scholar, I did not find a better search engine that allowed me to locate, read and download journal and conference papers. In addition it worked suitably well with my second favourite tool, EndNote the reference manager software. Beneath every article in Google Scholar, a Cite option is available which gives you the possibility to copy or paste a formatted citation (MLA, APA or Chicago formats), but more importantly import the citation.
I am not familiar with other reference manager software but in a previous post, I presented an overview of EndNote, Zotero and Mendeley. EndNote allowed me to automatically or manually import a reference, attach the pdf to the citation, group my reference into categories and insert a citation in my manuscript in any desired style.
Google is Helpful - But Not Enough
Most of the papers you are looking can be fetched by Google Scholar but that's not enough. Many journals are not accessible by your institution there is a price to view or download the article. Moreover, for some reason the link from Google Scholar might be broken. The best solution is to write to the author, email them requesting that they send you a copy. Don't be intimidated to tell them that you are writing a review and you want to evaluate their paper.
Never Too Early to Get Typing
You don't want to drown yourself into reading too many articles to the point where you get lost. It's never too late to start typing a find your comfort spot. I preferred summarizing the research papers on PowerPoint slides making it possible to simultaneously discuss with my advisors either on the spot or threw video conference calls. Learn to create your own metric, a scale that you can grade the papers with, distinguishing the least from the most important. You might prefer using Excel sheets where a row/column system can be used to resume the papers.
Take Time Off
It's not going to write itself by itself, you need to be in the mood. Take some days off, rest, travel... When your ready, get back to work, but don't flourish yourself with too much sugar, you don't want to loose interest so don't extend your vacation.
Choose Well Your Journal
Carefully choose your journal before submission. Be realistic, but at the same time courageous enough to submit it to a high ranking journal. There is no shame in receiving tough comments from the reviewers. Once they've commented, read them with care and open heart. If needed defend your case and make the adjustments where suggested. I found it best to begin brainstorming for the name of the journal for submission starting from your references. If your required to suggest reviewers, extract them from your references as well. Before submitting, make sure you read the guide for authors because you don't want to fall behind schedule due to the incorrect font in the caption of the tables. One a side note, you should take a glimpse at the ethical guidelines/ policies of the journal.
Finally the best advise I have to share is the following: it's not a sprint, it's a marathon.
Yes it is unusual that a first year PhD student writes a literature review even before beginning his research. Most PhD candidates if not all must go threw the phase of a bibliographic study, reading hundreds of research papers, dissertations and reports to familiarize themselves with their thesis. Into their second year they've published one or two conference papers and writing a review isn't a priority. My directors and I chose a different path where my first task was to complete the bibliographic study but it should give birth to a review. Easier said than done, but ultimately rewarding and I cannot draw to you how much it will help you during your doctoral studies, however I will try to share some essential tips in the hopes that they will facilitate the preparation, writing and submission of your review paper.
Narrow the Scope of the Review
My thesis involves wind turbine optimization, mainly the optimization of the composite structure of wind turbine blades. I remember the moment when I ran my first search on Google Scholar on "wind turbine optimization" and thousands of researched papers appeared. If you don't settle the area of your review with your directors at start you will be sucked into an indefinite vortex of endless sources, a terrifying journey nonetheless frustrating and depressing. Limit your search's only to your topic, choose well the papers that deserve an overview and don't step outside too much or else hundreds of undiscovered doors will appear behind them hundreds more. Since understanding the question is halfway into solving the problem, the first step is to narrow the scope of the review, define an objective or objectives (be careful not too many) and automatically you are now targeting a specific audience. It's game time so put your game face ON.
Patience, Patience and more Patience
Game face is ON now, but I've got some hard news for you: it took me 8 months to write the review and about of 4 months of revision, correction and back and forth submissions. Patience is a must. You must be prepared to read a lot of papers.
I Found a Published Review - Panic Alert !
You are most likely going to come across published reviews that might slightly discuss the subject of your intended review. Don't Panic! It doesn't mean that your paper is going to be rejected and sure doesn't give you the right to simply continue where he left off. A good review is one that is up-to-date but the authors should not forget older studies.
Trust your Mind, your Directors and No One Else
Often your colleagues in the laboratory are working in different fields and cannot be an efficient second hand. Even if they might be familiar with your field, no one really wants to help you, simply because it's a mess! Every week summarize your progress into PowerPoint slides, organize Skype meetings and discuss with your advisors. Take their detailed comments into consideration and don't hide your feelings along the way. Admit to them that this particular paper requires a deeper analyse or that you don't find any significant value in exploring a certain sub-domain.
Get to Know a Reference Manager Software
Organization is crucial. As mentioned earlier, the first shock is when hundred of papers suddenly appear on Google and you let the "save as" begin and so organizing your references is very crucial. I found two tools to be the most important in finding and managing my references. The first is Google Scholar, I did not find a better search engine that allowed me to locate, read and download journal and conference papers. In addition it worked suitably well with my second favourite tool, EndNote the reference manager software. Beneath every article in Google Scholar, a Cite option is available which gives you the possibility to copy or paste a formatted citation (MLA, APA or Chicago formats), but more importantly import the citation.
I am not familiar with other reference manager software but in a previous post, I presented an overview of EndNote, Zotero and Mendeley. EndNote allowed me to automatically or manually import a reference, attach the pdf to the citation, group my reference into categories and insert a citation in my manuscript in any desired style.
Google is Helpful - But Not Enough
Most of the papers you are looking can be fetched by Google Scholar but that's not enough. Many journals are not accessible by your institution there is a price to view or download the article. Moreover, for some reason the link from Google Scholar might be broken. The best solution is to write to the author, email them requesting that they send you a copy. Don't be intimidated to tell them that you are writing a review and you want to evaluate their paper.
Never Too Early to Get Typing
You don't want to drown yourself into reading too many articles to the point where you get lost. It's never too late to start typing a find your comfort spot. I preferred summarizing the research papers on PowerPoint slides making it possible to simultaneously discuss with my advisors either on the spot or threw video conference calls. Learn to create your own metric, a scale that you can grade the papers with, distinguishing the least from the most important. You might prefer using Excel sheets where a row/column system can be used to resume the papers.
Take Time Off
It's not going to write itself by itself, you need to be in the mood. Take some days off, rest, travel... When your ready, get back to work, but don't flourish yourself with too much sugar, you don't want to loose interest so don't extend your vacation.
Choose Well Your Journal
Carefully choose your journal before submission. Be realistic, but at the same time courageous enough to submit it to a high ranking journal. There is no shame in receiving tough comments from the reviewers. Once they've commented, read them with care and open heart. If needed defend your case and make the adjustments where suggested. I found it best to begin brainstorming for the name of the journal for submission starting from your references. If your required to suggest reviewers, extract them from your references as well. Before submitting, make sure you read the guide for authors because you don't want to fall behind schedule due to the incorrect font in the caption of the tables. One a side note, you should take a glimpse at the ethical guidelines/ policies of the journal.
Finally the best advise I have to share is the following: it's not a sprint, it's a marathon.
Published on November 28, 2014 09:06
Tips For Writing Your Literature Review
When my director proposed that I should begin writing a review article few month into my PhD program, reflecting on that moment now I would have hoped to cross a prep-article with some insights and tips on how to write a scientific review article. Unfortunately I did not, and now that I have finally submitted my second revision (fingers crossed that it will be finally approved for publication), I've noted for a while on my To-Do list the writing of this post. I will try to be as clear and honest as possible highlighting some tips to complete the task of writing a scientific review paper.
Yes it is unusual that a first year PhD student writes a literature review even before beginning his research. Most PhD candidates if not all must go threw the phase of a bibliographic study, reading hundreds of research papers, dissertations and reports to familiarize themselves with their thesis. Into their second year they've published one or two conference papers and writing a review isn't a priority. My directors and I chose a different path where my first task was to complete the bibliographic study but it should give birth to a review. Easier said than done, but ultimately rewarding and I cannot draw to you how much it will help you during your doctoral studies, however I will try to share some essential tips in the hopes that they will facilitate the preparation, writing and submission of your review paper.
Narrow the Scope of the Review
My thesis involves wind turbine optimization, mainly the optimization of the composite structure of wind turbine blades. I remember the moment when I ran my first search on Google Scholar on "wind turbine optimization" and thousands of researched papers appeared. If you don't settle the area of your review with your directors at start you will be sucked into an indefinite vortex of endless sources, a terrifying journey nonetheless frustrating and depressing. Limit your search's only to your topic, choose well the papers that deserve an overview and don't step outside too much or else hundreds of undiscovered doors will appear behind them hundreds more. Since understanding the question is halfway into solving the problem, the first step is to narrow the scope of the review, define an objective or objectives (be careful not too many) and automatically you are now targeting a specific audience. It's game time so put your game face ON.
Patience, Patience and more Patience
Game face is ON now, but I've got some hard news for you: it took me 8 months to write the review and about of 4 months of revision, correction and back and forth submissions. Patience is a must. You must be prepared to read a lot of papers.
I Found a Published Review - Panic Alert !
You are most likely going to come across published reviews that might slightly discuss the subject of your intended review. Don't Panic! It doesn't mean that your paper is going to be rejected and sure doesn't give you the right to simply continue where he left off. A good review is one that is up-to-date but the authors should not forget older studies.
Trust your Mind, your Directors and No One Else
Often your colleagues in the laboratory are working in different fields and cannot be an efficient second hand. Even if they might be familiar with your field, no one really wants to help you, simply because it's a mess! Every week summarize your progress into PowerPoint slides, organize Skype meetings and discuss with your advisors. Take their detailed comments into consideration and don't hide your feelings along the way. Admit to them that this particular paper requires a deeper analyse or that you don't find any significant value in exploring a certain sub-domain.
Get to Know a Reference Manager Software
Organization is crucial. As mentioned earlier, the first shock is when hundred of papers suddenly appear on Google and you let the "save as" begin and so organizing your references is very crucial. I found two tools to be the most important in finding and managing my references. The first is Google Scholar, I did not find a better search engine that allowed me to locate, read and download journal and conference papers. In addition it worked suitably well with my second favourite tool, EndNote the reference manager software. Beneath every article in Google Scholar, a Cite option is available which gives you the possibility to copy or paste a formatted citation (MLA, APA or Chicago formats), but more importantly import the citation.
I am not familiar with other reference manager software but in a previous post, I presented an overview of EndNote, Zotero and Mendeley. EndNote allowed me to automatically or manually import a reference, attach the pdf to the citation, group my reference into categories and insert a citation in my manuscript in any desired style.
Google is Helpful - But Not Enough
Most of the papers you are looking can be fetched by Google Scholar but that's not enough. Many journals are not accessible by your institution there is a price to view or download the article. Moreover, for some reason the link from Google Scholar might be broken. The best solution is to write to the author, email them requesting that they send you a copy. Don't be intimidated to tell them that you are writing a review and you want to evaluate their paper.
Never Too Early to Get Typing
You don't want to drown yourself into reading too many articles to the point where you get lost. It's never too late to start typing a find your comfort spot. I preferred summarizing the research papers on PowerPoint slides making it possible to simultaneously discuss with my advisors either on the spot or threw video conference calls. Learn to create your own metric, a scale that you can grade the papers with, distinguishing the least from the most important. You might prefer using Excel sheets where a row/column system can be used to resume the papers.
Take Time Off
It's not going to write itself by itself, you need to be in the mood. Take some days off, rest, travel... When your ready, get back to work, but don't flourish yourself with too much sugar, you don't want to loose interest so don't extend your vacation.
Choose Well Your Journal
Carefully choose your journal before submission. Be realistic, but at the same time courageous enough to submit it to a high ranking journal. There is no shame in receiving tough comments from the reviewers. Once they've commented, read them with care and open heart. If needed defend your case and make the adjustments where suggested. I found it best to begin brainstorming for the name of the journal for submission starting from your references. If your required to suggest reviewers, extract them from your references as well. Before submitting, make sure you read the guide for authors because you don't want to fall behind schedule due to the incorrect font in the caption of the tables. One a side note, you should take a glimpse at the ethical guidelines/ policies of the journal.
Finally the best advise I have to share is the following: it's not a sprint, it's a marathon.
Yes it is unusual that a first year PhD student writes a literature review even before beginning his research. Most PhD candidates if not all must go threw the phase of a bibliographic study, reading hundreds of research papers, dissertations and reports to familiarize themselves with their thesis. Into their second year they've published one or two conference papers and writing a review isn't a priority. My directors and I chose a different path where my first task was to complete the bibliographic study but it should give birth to a review. Easier said than done, but ultimately rewarding and I cannot draw to you how much it will help you during your doctoral studies, however I will try to share some essential tips in the hopes that they will facilitate the preparation, writing and submission of your review paper.
Narrow the Scope of the Review
My thesis involves wind turbine optimization, mainly the optimization of the composite structure of wind turbine blades. I remember the moment when I ran my first search on Google Scholar on "wind turbine optimization" and thousands of researched papers appeared. If you don't settle the area of your review with your directors at start you will be sucked into an indefinite vortex of endless sources, a terrifying journey nonetheless frustrating and depressing. Limit your search's only to your topic, choose well the papers that deserve an overview and don't step outside too much or else hundreds of undiscovered doors will appear behind them hundreds more. Since understanding the question is halfway into solving the problem, the first step is to narrow the scope of the review, define an objective or objectives (be careful not too many) and automatically you are now targeting a specific audience. It's game time so put your game face ON.
Patience, Patience and more Patience
Game face is ON now, but I've got some hard news for you: it took me 8 months to write the review and about of 4 months of revision, correction and back and forth submissions. Patience is a must. You must be prepared to read a lot of papers.
I Found a Published Review - Panic Alert !
You are most likely going to come across published reviews that might slightly discuss the subject of your intended review. Don't Panic! It doesn't mean that your paper is going to be rejected and sure doesn't give you the right to simply continue where he left off. A good review is one that is up-to-date but the authors should not forget older studies.
Trust your Mind, your Directors and No One Else
Often your colleagues in the laboratory are working in different fields and cannot be an efficient second hand. Even if they might be familiar with your field, no one really wants to help you, simply because it's a mess! Every week summarize your progress into PowerPoint slides, organize Skype meetings and discuss with your advisors. Take their detailed comments into consideration and don't hide your feelings along the way. Admit to them that this particular paper requires a deeper analyse or that you don't find any significant value in exploring a certain sub-domain.
Get to Know a Reference Manager Software
Organization is crucial. As mentioned earlier, the first shock is when hundred of papers suddenly appear on Google and you let the "save as" begin and so organizing your references is very crucial. I found two tools to be the most important in finding and managing my references. The first is Google Scholar, I did not find a better search engine that allowed me to locate, read and download journal and conference papers. In addition it worked suitably well with my second favourite tool, EndNote the reference manager software. Beneath every article in Google Scholar, a Cite option is available which gives you the possibility to copy or paste a formatted citation (MLA, APA or Chicago formats), but more importantly import the citation.
I am not familiar with other reference manager software but in a previous post, I presented an overview of EndNote, Zotero and Mendeley. EndNote allowed me to automatically or manually import a reference, attach the pdf to the citation, group my reference into categories and insert a citation in my manuscript in any desired style.
Google is Helpful - But Not Enough
Most of the papers you are looking can be fetched by Google Scholar but that's not enough. Many journals are not accessible by your institution there is a price to view or download the article. Moreover, for some reason the link from Google Scholar might be broken. The best solution is to write to the author, email them requesting that they send you a copy. Don't be intimidated to tell them that you are writing a review and you want to evaluate their paper.
Never Too Early to Get Typing
You don't want to drown yourself into reading too many articles to the point where you get lost. It's never too late to start typing a find your comfort spot. I preferred summarizing the research papers on PowerPoint slides making it possible to simultaneously discuss with my advisors either on the spot or threw video conference calls. Learn to create your own metric, a scale that you can grade the papers with, distinguishing the least from the most important. You might prefer using Excel sheets where a row/column system can be used to resume the papers.
Take Time Off
It's not going to write itself by itself, you need to be in the mood. Take some days off, rest, travel... When your ready, get back to work, but don't flourish yourself with too much sugar, you don't want to loose interest so don't extend your vacation.
Choose Well Your Journal
Carefully choose your journal before submission. Be realistic, but at the same time courageous enough to submit it to a high ranking journal. There is no shame in receiving tough comments from the reviewers. Once they've commented, read them with care and open heart. If needed defend your case and make the adjustments where suggested. I found it best to begin brainstorming for the name of the journal for submission starting from your references. If your required to suggest reviewers, extract them from your references as well. Before submitting, make sure you read the guide for authors because you don't want to fall behind schedule due to the incorrect font in the caption of the tables. One a side note, you should take a glimpse at the ethical guidelines/ policies of the journal.
Finally the best advise I have to share is the following: it's not a sprint, it's a marathon.
Published on November 28, 2014 09:06
November 9, 2014
Lessons from Imam Hussein (A.S) In the Eyes of Non-Muslims: Part One - Interfaith Dialogue
It is difficult for me to speak about the martyrdom of Imam Hussein (A.S), the event of Karbala or about the meaning of Martyrdom in Islam thought, because it evokes in me the highest feelings of sorrow and grief. I cannot examine this topic as a Historian, reciting the historical events which led to the tragedy, nor can I wear the lens of a Psychiatrist and try to imagine how these men and woman felt 61 years A.H, nor can I illustrate the blood-stained field from the inks of a Poet. I cannot, because I've failed to fully grasp the supreme lessons from the Imam and his Companions.
My current intellectual capabilities don't permit me to perform such assignment. I can only examine, and my weapons are only science and logic.
For over 1375 years, Muslims have continuously commemorated the tragedy of Karbala. Yearly, on the tenth of Muharram, millions flood the streets, solidifying their stands, expressing their grief and chanting their pledges. The hundreds of thousands of visitors, lovers of Imam Hussein that walk hundred of miles, fly thousands of miles to gather around the Mosque in Karbala, surely embrace with this personality feelings a sincere attachment. However, the followers of Ahl al Bayt have cocooned Imam Hussein and kept him to themselves and hesitated to share this foundation, this bed-rock of Islamic creed. How often do our scholars, intellectuals and speakers stress on the importance of Karbala as being "the school of lessons", however fail on numerous occasions to fully paint the canvas while standing on the platforms and so the picture remains obscure to the audience. Some of our Majalis are becoming stagnant, and awkwardly enough many have transformed this period of extreme mourning and grief into a promotion for hemic flagellation rituals. Yet we've always claimed that Imam Hussein is for all religions, for all mankind, for humanity, but most of our Hussayniyat or Mosques are of one colour during our Majalis, but outside the doors of this gathering, Non-Muslims for centuries have been and will continue to be flabbergasted with this figure we remember on Muharram. And so I intend to examine how and why Imam Hussein and Karbala should be used to initiate inter-faith dialogue with other schools inside and outside Islam (Part One). In a second post (Part Two), I will try to review how Imam Hussein was perceived by Non-Muslims and the lessons they've gained. This later part will take sometime before I post it due to the needed time for compilation.
One is often confounded, how is it possible that for centuries, this particular story is still alive, more it is vivid? I ask: was Imam Hussein intended to be for Muslims only? No. The Prophet (pbuh) wanted to show from a young age, that Imam Hussein (A.S) is for all religions by putting him, his brother Imam Hassan, Imam Ali and Fatima (A.S) in front at Mubahala. The Prophet (pbuh), chose Imam Hussein and his family, to symbolize that they are the symbol of purity, the most entitled to carry the message of Islam, to preserve the Quran and it's teaching. The most eligible for interfaith dialogue.
It is our obligation in the 21st century, that we benefit of Muharram, invite other faiths for dialogue, introduce them to the Message of Islam and to the Revolution of Imam Hussein (although some scholars and free thinkers differ in this term). However, there are numerous prerequisites before we initiate such dialogue, the first begins with a self awareness. I will briefly explain the term self awareness, as this is a subset of a wider issue which requires further analyses and is outside of this topic. One cannot give what he does not posses. A simple proposition, that is the basis of many fundamental theories in natural and human science. Likewise in order to be able to present and invite others to apply this "school" that we claim is founded by the Imam, his Companions and the event of Karbala, we must proof that we followers of the Imam have truly submitted to his teachings. This latter has not occurred yet and is a major reason that our elders only relate to the Imam Hussein (A.S) as a martyr, and to Zaynab (A.S) as the oppressed who stood against the oppressor in his castle in Damascus. Hence much of our understanding of the Imam and his Companions among our elders and our youth is relatively superficial. Not much effort is being done to properly educate them, and the reasons are diverse, among them is the absence of my second prerequisite before initiating the inter-faith dialogue: we've isolated Karbala from the timeline of the Prophet (pbuh) and his descendants, and because of this isolation - we've neglected the remaining Imam's. Truly there is no day like the day of Karbala, but the martyrdom of Imam of Hussein is an incident that was bound to occur if we observe the life and the school of this sacred chain, the lineage of the Household of the Prophet Muhammad (pbuh).
Imam Ali (A.S) has a beautiful quote, in his famous sermon to Malik al Ashtar in Egypt, that the men are of two kind, either your brothers in faith or equal in humanity. If we ponder on this binary equilibrium, we deduce that what should unite us, in parallel with our common faith, is our humanity, our self awareness that we have common denominators and our goal is to establish dialogue on this fundamental basis. Every human being throughout his life will ask him/herself four ultimate questions: the first is a metaphysical question (is their a higher force or a God ?), a cosmological question (what is this universe we live in ?), a psychological question (what is my role in this world?) and finally an ethical question (how should I behave with others ?) [Sayed Ammar Nakshawani]. The virtue of the tragedy in Karabala is that Imam Hussain and his Companions (A.S) combined all four questions and answers in one dimension. If Hussain sheds tears because he is saddened that his enemies will be burned in hell, than how merciful is the God that Hussain worships? If Hussain sets on a journey of hundreds of kilometres, but joining him is his family, even the six month old baby, to defend the religion of his grandfather, than how superb, downright and marvellous is his message... surely it is of a higher order.
My current intellectual capabilities don't permit me to perform such assignment. I can only examine, and my weapons are only science and logic.
For over 1375 years, Muslims have continuously commemorated the tragedy of Karbala. Yearly, on the tenth of Muharram, millions flood the streets, solidifying their stands, expressing their grief and chanting their pledges. The hundreds of thousands of visitors, lovers of Imam Hussein that walk hundred of miles, fly thousands of miles to gather around the Mosque in Karbala, surely embrace with this personality feelings a sincere attachment. However, the followers of Ahl al Bayt have cocooned Imam Hussein and kept him to themselves and hesitated to share this foundation, this bed-rock of Islamic creed. How often do our scholars, intellectuals and speakers stress on the importance of Karbala as being "the school of lessons", however fail on numerous occasions to fully paint the canvas while standing on the platforms and so the picture remains obscure to the audience. Some of our Majalis are becoming stagnant, and awkwardly enough many have transformed this period of extreme mourning and grief into a promotion for hemic flagellation rituals. Yet we've always claimed that Imam Hussein is for all religions, for all mankind, for humanity, but most of our Hussayniyat or Mosques are of one colour during our Majalis, but outside the doors of this gathering, Non-Muslims for centuries have been and will continue to be flabbergasted with this figure we remember on Muharram. And so I intend to examine how and why Imam Hussein and Karbala should be used to initiate inter-faith dialogue with other schools inside and outside Islam (Part One). In a second post (Part Two), I will try to review how Imam Hussein was perceived by Non-Muslims and the lessons they've gained. This later part will take sometime before I post it due to the needed time for compilation.
One is often confounded, how is it possible that for centuries, this particular story is still alive, more it is vivid? I ask: was Imam Hussein intended to be for Muslims only? No. The Prophet (pbuh) wanted to show from a young age, that Imam Hussein (A.S) is for all religions by putting him, his brother Imam Hassan, Imam Ali and Fatima (A.S) in front at Mubahala. The Prophet (pbuh), chose Imam Hussein and his family, to symbolize that they are the symbol of purity, the most entitled to carry the message of Islam, to preserve the Quran and it's teaching. The most eligible for interfaith dialogue.
It is our obligation in the 21st century, that we benefit of Muharram, invite other faiths for dialogue, introduce them to the Message of Islam and to the Revolution of Imam Hussein (although some scholars and free thinkers differ in this term). However, there are numerous prerequisites before we initiate such dialogue, the first begins with a self awareness. I will briefly explain the term self awareness, as this is a subset of a wider issue which requires further analyses and is outside of this topic. One cannot give what he does not posses. A simple proposition, that is the basis of many fundamental theories in natural and human science. Likewise in order to be able to present and invite others to apply this "school" that we claim is founded by the Imam, his Companions and the event of Karbala, we must proof that we followers of the Imam have truly submitted to his teachings. This latter has not occurred yet and is a major reason that our elders only relate to the Imam Hussein (A.S) as a martyr, and to Zaynab (A.S) as the oppressed who stood against the oppressor in his castle in Damascus. Hence much of our understanding of the Imam and his Companions among our elders and our youth is relatively superficial. Not much effort is being done to properly educate them, and the reasons are diverse, among them is the absence of my second prerequisite before initiating the inter-faith dialogue: we've isolated Karbala from the timeline of the Prophet (pbuh) and his descendants, and because of this isolation - we've neglected the remaining Imam's. Truly there is no day like the day of Karbala, but the martyrdom of Imam of Hussein is an incident that was bound to occur if we observe the life and the school of this sacred chain, the lineage of the Household of the Prophet Muhammad (pbuh).
Imam Ali (A.S) has a beautiful quote, in his famous sermon to Malik al Ashtar in Egypt, that the men are of two kind, either your brothers in faith or equal in humanity. If we ponder on this binary equilibrium, we deduce that what should unite us, in parallel with our common faith, is our humanity, our self awareness that we have common denominators and our goal is to establish dialogue on this fundamental basis. Every human being throughout his life will ask him/herself four ultimate questions: the first is a metaphysical question (is their a higher force or a God ?), a cosmological question (what is this universe we live in ?), a psychological question (what is my role in this world?) and finally an ethical question (how should I behave with others ?) [Sayed Ammar Nakshawani]. The virtue of the tragedy in Karabala is that Imam Hussain and his Companions (A.S) combined all four questions and answers in one dimension. If Hussain sheds tears because he is saddened that his enemies will be burned in hell, than how merciful is the God that Hussain worships? If Hussain sets on a journey of hundreds of kilometres, but joining him is his family, even the six month old baby, to defend the religion of his grandfather, than how superb, downright and marvellous is his message... surely it is of a higher order.
Published on November 09, 2014 08:38
Lessons from Imam Hussein (A.S) In the Eyes of Non-Muslims : Part One - Interfaith Dialogue
It is difficult for me to speak about the martyrdom of Imam Hussein (A.S), the event of Karbala or about the meaning of Martyrdom in Islam thought, because it evokes in me the highest feelings of sorrow and grief. I cannot examine this topic as a Historian, reciting the historical events which led to the tragedy, nor can I wear the lens of a Psychiatrist and try to imagine how these men and woman felt 61 years A.H, nor can I illustrate the blood-stained field from the inks of a Poet. I cannot, because I've failed to fully grasp the supreme lessons from the Imam and his Companions.
My current intellectual capabilities don't permit me to perform such assignment. I can only examine, and my weapons are only science and logic.
For over 1375 years, Muslims have continuously commemorated the tragedy of Karbala. Yearly, on the tenth of Muharram, millions flood the streets, solidifying their stands, expressing their grief and chanting their pledges. The hundreds of thousands of visitors, lovers of Imam Hussein that walk hundred of miles, fly thousands of miles to gather around the Mosque in Karbala, surely embrace with this personality feelings a sincere attachment. However, the followers of Ahl al Bayt have cocooned Imam Hussein and kept him to themselves and hesitated to share this foundation, this bed-rock of Islamic creed. How often do our scholars, intellectuals and speakers stress on the importance of Karbala as being "the school of lessons", however fail on numerous occasions to fully paint the canvas while standing on the platforms and so the picture remains obscure to the audience. Some of our Majalis are becoming stagnant, and awkwardly enough many have transformed this period of extreme mourning and grief into a promotion for hemic flagellation rituals. Yet we've always claimed that Imam Hussein is for all religions, for all mankind, for humanity, but most of our Hussayniyat or Mosques are of one colour during our Majalis, but outside the doors of this gathering, Non-Muslims for centuries have been and will continue to be flabbergasted with this figure we remember on Muharram. And so I intend to examine how and why Imam Hussein and Karbala should be used to initiate inter-faith dialogue with other schools inside and outside Islam (Part One). In a second post (Part Two), I will try to review how Imam Hussein was perceived by Non-Muslims and the lessons they've gained. This later part will take sometime before I post it due to the needed time for compilation.
One is often confounded, how is it possible that for centuries, this particular story is still alive, more it is vivid? I ask: was Imam Hussein intended to be for Muslims only? No. The Prophet (pbuh) wanted to show from a young age, that Imam Hussein (A.S) is for all religions by putting him, his brother Imam Hassan, Imam Ali and Fatima (A.S) in front at Mubahala. The Prophet (pbuh), chose Imam Hussein and his family, to symbolize that they are the symbol of purity, the most entitled to carry the message of Islam, to preserve the Quran and it's teaching. The most eligible for interfaith dialogue.
It is our obligation in the 21st century, that we benefit of Muharram, invite other faiths for dialogue, introduce them to the Message of Islam and to the Revolution of Imam Hussein (although some scholars and free thinkers differ in this term). However, there are numerous prerequisites before we initiate such dialogue, the first begins with a self awareness. I will briefly explain the term self awareness, as this is a subset of a wider issue which requires further analyses and is outside of this topic. One cannot give what he does not posses. A simple proposition, that is the basis of many fundamental theories in natural and human science. Likewise in order to be able to present and invite others to apply this "school" that we claim is founded by the Imam, his Companions and the event of Karbala, we must proof that we followers of the Imam have truly submitted to his teachings. This latter has not occurred yet and is a major reason that our elders only relate to the Imam Hussein (A.S) as a martyr, and to Zaynab (A.S) as the oppressed who stood against the oppressor in his castle in Damascus. Hence much of our understanding of the Imam and his Companions among our elders and our youth is relatively superficial. Not much effort is being done to properly educate them, and the reasons are diverse, among them is the absence of my second prerequisite before initiating the inter-faith dialogue: we've isolated Karbala from the timeline of the Prophet (pbuh) and his descendants, and because of this isolation - we've neglected the remaining Imam's. Truly there is no day like the day of Karbala, but the martyrdom of Imam of Hussein is an incident that was bound to occur if we observe the life and the school of this sacred chain, the lineage of the Household of the Prophet Muhammad (pbuh).
Imam Ali (A.S) has a beautiful quote, in his famous sermon to Malik al Ashtar in Egypt, that the men are of two kind, either your brothers in faith or equal in humanity. If we ponder on this binary equilibrium, we deduce that what should unite us, in parallel with our common faith, is our humanity, our self awareness that we have common denominators and our goal is to establish dialogue on this fundamental basis. Every human being throughout his life will ask him/herself four ultimate questions: the first is a metaphysical question (is their a higher force or a God ?), a cosmological question (what is this universe we live in ?), a psychological question (what is my role in this world?) and finally an ethical question (how should I behave with others ?). The virtue of the tragedy in Karabala is that Imam Hussain and his Companions (A.S) combined all four questions and answers in one dimension. If Hussain sheds tears because he is saddened that his enemies will be burned in hell, than how merciful is the God that Hussain worships? If Hussain sets on a journey of hundreds of kilometres, but joining him is his family, even the six month old baby, to defend the religion of his grandfather, than how superb, downright and marvellous is his message... surely it is of a higher order.
My current intellectual capabilities don't permit me to perform such assignment. I can only examine, and my weapons are only science and logic.
For over 1375 years, Muslims have continuously commemorated the tragedy of Karbala. Yearly, on the tenth of Muharram, millions flood the streets, solidifying their stands, expressing their grief and chanting their pledges. The hundreds of thousands of visitors, lovers of Imam Hussein that walk hundred of miles, fly thousands of miles to gather around the Mosque in Karbala, surely embrace with this personality feelings a sincere attachment. However, the followers of Ahl al Bayt have cocooned Imam Hussein and kept him to themselves and hesitated to share this foundation, this bed-rock of Islamic creed. How often do our scholars, intellectuals and speakers stress on the importance of Karbala as being "the school of lessons", however fail on numerous occasions to fully paint the canvas while standing on the platforms and so the picture remains obscure to the audience. Some of our Majalis are becoming stagnant, and awkwardly enough many have transformed this period of extreme mourning and grief into a promotion for hemic flagellation rituals. Yet we've always claimed that Imam Hussein is for all religions, for all mankind, for humanity, but most of our Hussayniyat or Mosques are of one colour during our Majalis, but outside the doors of this gathering, Non-Muslims for centuries have been and will continue to be flabbergasted with this figure we remember on Muharram. And so I intend to examine how and why Imam Hussein and Karbala should be used to initiate inter-faith dialogue with other schools inside and outside Islam (Part One). In a second post (Part Two), I will try to review how Imam Hussein was perceived by Non-Muslims and the lessons they've gained. This later part will take sometime before I post it due to the needed time for compilation.
One is often confounded, how is it possible that for centuries, this particular story is still alive, more it is vivid? I ask: was Imam Hussein intended to be for Muslims only? No. The Prophet (pbuh) wanted to show from a young age, that Imam Hussein (A.S) is for all religions by putting him, his brother Imam Hassan, Imam Ali and Fatima (A.S) in front at Mubahala. The Prophet (pbuh), chose Imam Hussein and his family, to symbolize that they are the symbol of purity, the most entitled to carry the message of Islam, to preserve the Quran and it's teaching. The most eligible for interfaith dialogue.
It is our obligation in the 21st century, that we benefit of Muharram, invite other faiths for dialogue, introduce them to the Message of Islam and to the Revolution of Imam Hussein (although some scholars and free thinkers differ in this term). However, there are numerous prerequisites before we initiate such dialogue, the first begins with a self awareness. I will briefly explain the term self awareness, as this is a subset of a wider issue which requires further analyses and is outside of this topic. One cannot give what he does not posses. A simple proposition, that is the basis of many fundamental theories in natural and human science. Likewise in order to be able to present and invite others to apply this "school" that we claim is founded by the Imam, his Companions and the event of Karbala, we must proof that we followers of the Imam have truly submitted to his teachings. This latter has not occurred yet and is a major reason that our elders only relate to the Imam Hussein (A.S) as a martyr, and to Zaynab (A.S) as the oppressed who stood against the oppressor in his castle in Damascus. Hence much of our understanding of the Imam and his Companions among our elders and our youth is relatively superficial. Not much effort is being done to properly educate them, and the reasons are diverse, among them is the absence of my second prerequisite before initiating the inter-faith dialogue: we've isolated Karbala from the timeline of the Prophet (pbuh) and his descendants, and because of this isolation - we've neglected the remaining Imam's. Truly there is no day like the day of Karbala, but the martyrdom of Imam of Hussein is an incident that was bound to occur if we observe the life and the school of this sacred chain, the lineage of the Household of the Prophet Muhammad (pbuh).
Imam Ali (A.S) has a beautiful quote, in his famous sermon to Malik al Ashtar in Egypt, that the men are of two kind, either your brothers in faith or equal in humanity. If we ponder on this binary equilibrium, we deduce that what should unite us, in parallel with our common faith, is our humanity, our self awareness that we have common denominators and our goal is to establish dialogue on this fundamental basis. Every human being throughout his life will ask him/herself four ultimate questions: the first is a metaphysical question (is their a higher force or a God ?), a cosmological question (what is this universe we live in ?), a psychological question (what is my role in this world?) and finally an ethical question (how should I behave with others ?). The virtue of the tragedy in Karabala is that Imam Hussain and his Companions (A.S) combined all four questions and answers in one dimension. If Hussain sheds tears because he is saddened that his enemies will be burned in hell, than how merciful is the God that Hussain worships? If Hussain sets on a journey of hundreds of kilometres, but joining him is his family, even the six month old baby, to defend the religion of his grandfather, than how superb, downright and marvellous is his message... surely it is of a higher order.
Published on November 09, 2014 08:38
October 21, 2014
Conference CITEF 2014 - Lebanese University, Lebanon
As a PhD student I try my best to surround myself with other researchers, experts and pioneers and when I am notified of a conference nearby, I try my best to find space in my calendar to attend. Now some might debate that the content of some lectures are outside their expertise and so their presence is of no use, but looking at the other half of the cup you cannot deny that science is converging towards multi-disciplinary at a high speed and in a direct or indirect way, your research will reach and become tangent with other fields we might today believe are distant but the future will most likely proof otherwise.
Held at the Faculty of Engineering at the Lebanese University in Hadat, Beirut from the 16 till the 18 of October 2014, CITEF 2014 (Conference International des Formations d'Ingenieurs et de Techniciens) examined the subject of international cooperation for teaching and engineering research. One can only congratulate and appreciate the work of Dean Rafic Younes (Lebanese University, Lebanon) for making the effort of bringing this conference to our faculty. The conference examines three topics:Internationalization and Legal FrameworkInternationalization and EducationInternationalization and ResearchI often get posed the following question from family, friends, colleagues or even complete strangers: "After you finish your studies what are your plans ? Teaching ?..." I cannot imagine what other students sense when confronted with the previous question, but I have noticed that there is a pattern on two scales. The first is a psychological, a personal quest if you want, where I am the victim of my own actions by putting myself in a situation leading to the question. This is a matter of privacy control that I am learning to develop and it is not an easy task because you are often fighting against your own greed. The second is at a much larger scale, a lack of understanding of the fundamental principles of education in general and higher education in particular. Let me first make the claim that I am not preaching a general mass but from a personal experience I can postulate with a safe certainty that this hypothesis derives its origin from my experience with the Lebanese educational system.
Much like most "under-developed" countries (a metric which I'm not in total agreement with), Lebanon's educational systems, either elementary, high school, college and post grad institutions credit their origin from across the borders. They are simply imported from Europe, mostly from France, or from North America, and some have tried a Europe - North America hybridization. Much like our daily needs, we import the TV, fridge, car, clothe, so why not our education system !!! If we consider our elementary schools, we examine that ours calendars are saturated with courses, written and oral exams in Languages, Math, Science, History and Social Studies. Saturation is an under-statement, our students can barely carry the bag-pack from their door steps to the buses. In a world converging towards "internationalization", we expect our students, our teens to listen to teachers from 8 am till 3 pm, we find our understanding of many of our topics are superficial and misleading in many directions. All of this to say that an educational system that we imported from France in the 70's might have been applicable to their schools at a particular moment in history because experts dedicated to the field of education found the need for such program.
One on of the first presentation was made by Mohamad Sawan, a Professor at the Polytechnique Montreal and the director of Polystim Neurotechnologies Research Laboratory. The students at the Polytechnique Montreal are distributed into 5 main majors: 22% Civil, 20% Mechanical, 13.6% Computer Science, 8.6% Electrical and Industrial Engineering 8.4%. A proportional distribution that we don't often notice at the Faculty of Engineering at the Lebanese University where the civil department constitutes more than half of all four majors (Electrical, Mechanical, Petrochemical and Civil). International students form 42% of the students, 1.2% are Lebanese and 10 % from France. Remarkably, 67 % of the students in the Bachelor programs are Canadian, 45% in Master programs and only 25% of the PhD students hold a Canadian citizenship. Much like the Lebanese University, the numbers show that most of the international collaborations are with French engineering schools, with over 75 signed conventions (5 agreements with the Lebanese universities). Polytechnique Montreal annually publishes 200 publications, 10-15 patents and books and receives 12-13 millions CAD in the form of National or Providential Grants & Scholarships. Obviously apples and oranges cannot be compared, but they are both fruits, meaning that the Lebanese University and Government are capable (and has proven to have) of funding the Faculty of Engineering threw reinforcing better management, administration, planning and awareness. Most of the Laboratory equipment that were provided to the faculty in 2008 have not been exploited yet and remain untouched in the basement or inside the storage compartments.
During a discussion with Dr Bassam Hussein in the morning coffee break, he stated that in the near future there will be no more need for the traditional student-teacher classrooms, but rather Engineering programs will be oriented towards on-site formations, online courses and exams, an engineering program made to fit the demand of the market. Now I had my share of remarks on such vision, claiming that the universities should not evolve to fit the markets, but rather act as a two way highway system. The institutions should interact with the industry not only threw internships and jobs fairs, but threw research as well. If we take the example of Polystim directed by Professor Mohamad Sawan, his research is mostly funded by the federal or provincial governments because there is an awareness that for the Laboratory to maintain a certain degree of freedom in its research, it must not be totally dependent on industrial funds.
To elaborate more about this point, Dr Nada Chbat the responsible director of International Relations talked about the partnerships and conventions signed with the Lebanase University. With over 150 conventions, from which 95 are with French institutions, Dr Chbat explained how these agreements have sociological and economical benefits for both Lebanon and France (a debatable claim). If we just look at the French engineering schools we would realize that they have opened up, moving in into Eastern and Western schools to expand the radius of the inter-institutional collaborations. Unfortunately, even if the International Relations department of the Lebanese University successfully sign agreements with every university in France, Europe and North America, it is still insufficient. I often use this expression that the Lebanese University is serving as the farm that is supplying the Arab Gulf with Engineers, and the farmers (the staff and the board) are simply providing the land with water and a bit of soil every season or so although there is a possibility to expand into newer and bigger land and feed the poor and hungry people living across the street (the Lebanese market). Unlike Dr Nada Chbat, I don't see mutual benefits in most of the signed conventions. Most of the graduate students pursue a 3 year program between France and Lebanon, completing a thesis proposal made by French researchers, for the French laboratories, industries, while the only benefit the Lebanese student receives is a PhD diploma with 3 to 5 published publications. While the results that he presented are being studied by the his successor, he is visiting Lebanese universities for any teaching opportunity.
This was predictable since there is no clear strategy for the higher education at the Lebanese University. I am not concerned with other universities in Lebanon, someone might argue that they have very successful Masters and PhD programs for many years now. The fact is that the Lebanese University has failed to evolve from a dependent to an independent institution. During another side discussion with the Dean of the Faculty of Engineering Rafic Younes, we discussed on the continuous failure to properly apply the French education system in undergraduate and higher education. Unlike the French system which is able to auto-correct and reassemble itself in the case of a problem, the Lebanese institutions cannot simply import programs. Rather, it should conduct an honest and thorough analysis of its current status and in parallel learn from the African and Asian experiences. A optimal path would be to draw a slope connecting our current system with that of the French or the American boards, however that would be an erroneous. The proper way would be to build a stair that will lift the Lebanese education system towards a newer level, but respecting in the same time the constraints that cannot be ignored such as the budget limit and the security crisis.
Held at the Faculty of Engineering at the Lebanese University in Hadat, Beirut from the 16 till the 18 of October 2014, CITEF 2014 (Conference International des Formations d'Ingenieurs et de Techniciens) examined the subject of international cooperation for teaching and engineering research. One can only congratulate and appreciate the work of Dean Rafic Younes (Lebanese University, Lebanon) for making the effort of bringing this conference to our faculty. The conference examines three topics:Internationalization and Legal FrameworkInternationalization and EducationInternationalization and ResearchI often get posed the following question from family, friends, colleagues or even complete strangers: "After you finish your studies what are your plans ? Teaching ?..." I cannot imagine what other students sense when confronted with the previous question, but I have noticed that there is a pattern on two scales. The first is a psychological, a personal quest if you want, where I am the victim of my own actions by putting myself in a situation leading to the question. This is a matter of privacy control that I am learning to develop and it is not an easy task because you are often fighting against your own greed. The second is at a much larger scale, a lack of understanding of the fundamental principles of education in general and higher education in particular. Let me first make the claim that I am not preaching a general mass but from a personal experience I can postulate with a safe certainty that this hypothesis derives its origin from my experience with the Lebanese educational system. Much like most "under-developed" countries (a metric which I'm not in total agreement with), Lebanon's educational systems, either elementary, high school, college and post grad institutions credit their origin from across the borders. They are simply imported from Europe, mostly from France, or from North America, and some have tried a Europe - North America hybridization. Much like our daily needs, we import the TV, fridge, car, clothe, so why not our education system !!! If we consider our elementary schools, we examine that ours calendars are saturated with courses, written and oral exams in Languages, Math, Science, History and Social Studies. Saturation is an under-statement, our students can barely carry the bag-pack from their door steps to the buses. In a world converging towards "internationalization", we expect our students, our teens to listen to teachers from 8 am till 3 pm, we find our understanding of many of our topics are superficial and misleading in many directions. All of this to say that an educational system that we imported from France in the 70's might have been applicable to their schools at a particular moment in history because experts dedicated to the field of education found the need for such program.
One on of the first presentation was made by Mohamad Sawan, a Professor at the Polytechnique Montreal and the director of Polystim Neurotechnologies Research Laboratory. The students at the Polytechnique Montreal are distributed into 5 main majors: 22% Civil, 20% Mechanical, 13.6% Computer Science, 8.6% Electrical and Industrial Engineering 8.4%. A proportional distribution that we don't often notice at the Faculty of Engineering at the Lebanese University where the civil department constitutes more than half of all four majors (Electrical, Mechanical, Petrochemical and Civil). International students form 42% of the students, 1.2% are Lebanese and 10 % from France. Remarkably, 67 % of the students in the Bachelor programs are Canadian, 45% in Master programs and only 25% of the PhD students hold a Canadian citizenship. Much like the Lebanese University, the numbers show that most of the international collaborations are with French engineering schools, with over 75 signed conventions (5 agreements with the Lebanese universities). Polytechnique Montreal annually publishes 200 publications, 10-15 patents and books and receives 12-13 millions CAD in the form of National or Providential Grants & Scholarships. Obviously apples and oranges cannot be compared, but they are both fruits, meaning that the Lebanese University and Government are capable (and has proven to have) of funding the Faculty of Engineering threw reinforcing better management, administration, planning and awareness. Most of the Laboratory equipment that were provided to the faculty in 2008 have not been exploited yet and remain untouched in the basement or inside the storage compartments.
During a discussion with Dr Bassam Hussein in the morning coffee break, he stated that in the near future there will be no more need for the traditional student-teacher classrooms, but rather Engineering programs will be oriented towards on-site formations, online courses and exams, an engineering program made to fit the demand of the market. Now I had my share of remarks on such vision, claiming that the universities should not evolve to fit the markets, but rather act as a two way highway system. The institutions should interact with the industry not only threw internships and jobs fairs, but threw research as well. If we take the example of Polystim directed by Professor Mohamad Sawan, his research is mostly funded by the federal or provincial governments because there is an awareness that for the Laboratory to maintain a certain degree of freedom in its research, it must not be totally dependent on industrial funds.
To elaborate more about this point, Dr Nada Chbat the responsible director of International Relations talked about the partnerships and conventions signed with the Lebanase University. With over 150 conventions, from which 95 are with French institutions, Dr Chbat explained how these agreements have sociological and economical benefits for both Lebanon and France (a debatable claim). If we just look at the French engineering schools we would realize that they have opened up, moving in into Eastern and Western schools to expand the radius of the inter-institutional collaborations. Unfortunately, even if the International Relations department of the Lebanese University successfully sign agreements with every university in France, Europe and North America, it is still insufficient. I often use this expression that the Lebanese University is serving as the farm that is supplying the Arab Gulf with Engineers, and the farmers (the staff and the board) are simply providing the land with water and a bit of soil every season or so although there is a possibility to expand into newer and bigger land and feed the poor and hungry people living across the street (the Lebanese market). Unlike Dr Nada Chbat, I don't see mutual benefits in most of the signed conventions. Most of the graduate students pursue a 3 year program between France and Lebanon, completing a thesis proposal made by French researchers, for the French laboratories, industries, while the only benefit the Lebanese student receives is a PhD diploma with 3 to 5 published publications. While the results that he presented are being studied by the his successor, he is visiting Lebanese universities for any teaching opportunity.
This was predictable since there is no clear strategy for the higher education at the Lebanese University. I am not concerned with other universities in Lebanon, someone might argue that they have very successful Masters and PhD programs for many years now. The fact is that the Lebanese University has failed to evolve from a dependent to an independent institution. During another side discussion with the Dean of the Faculty of Engineering Rafic Younes, we discussed on the continuous failure to properly apply the French education system in undergraduate and higher education. Unlike the French system which is able to auto-correct and reassemble itself in the case of a problem, the Lebanese institutions cannot simply import programs. Rather, it should conduct an honest and thorough analysis of its current status and in parallel learn from the African and Asian experiences. A optimal path would be to draw a slope connecting our current system with that of the French or the American boards, however that would be an erroneous. The proper way would be to build a stair that will lift the Lebanese education system towards a newer level, but respecting in the same time the constraints that cannot be ignored such as the budget limit and the security crisis.
Published on October 21, 2014 05:31


