Homer Hickam's Blog, page 4
August 31, 2018
Crater Trueblood
Published on August 31, 2018 09:29
August 21, 2018
Social Media
Recently, it was called to my attention on Twitter that someone was being hired by NASA and that they were using the F-word in a tweet about it.
I'm a Vietnam vet and not at all offended by the F-word. However, when I saw NASA and the word used together, it occurred to me that this young person might get in trouble if NASA saw it so I tweeted to her one word: "Language" and intended to leave it at that.
Soon, her friends took umbrage and said a lot of unkind things but long after I was gone as I immediately deleted my comments and blocked all concerned.
Later, I learned she had lost her offer for an internship with NASA. This I had nothing to do with nor could I since I do not hire and fire at the agency or have any say on employment whatsoever.
As it turned out, it was due to the NASA hashtag her friends used that called the agency's attention to it long after my comments were gone.
She reached out to me with an unnecessary apology which I heartily accepted and returned with my own. After talking to her and looking at her resume', I am certain she deserves a position in the aerospace industry and I'm doing all I can to secure her one that will be better than she lost.
I have also talked to the folks that had to do with her internship and made absolutely certain that there will be no black mark on her record. They have told me she may reapply.
-- Homer Hickam
I'm a Vietnam vet and not at all offended by the F-word. However, when I saw NASA and the word used together, it occurred to me that this young person might get in trouble if NASA saw it so I tweeted to her one word: "Language" and intended to leave it at that.
Soon, her friends took umbrage and said a lot of unkind things but long after I was gone as I immediately deleted my comments and blocked all concerned.
Later, I learned she had lost her offer for an internship with NASA. This I had nothing to do with nor could I since I do not hire and fire at the agency or have any say on employment whatsoever.
As it turned out, it was due to the NASA hashtag her friends used that called the agency's attention to it long after my comments were gone.
She reached out to me with an unnecessary apology which I heartily accepted and returned with my own. After talking to her and looking at her resume', I am certain she deserves a position in the aerospace industry and I'm doing all I can to secure her one that will be better than she lost.
I have also talked to the folks that had to do with her internship and made absolutely certain that there will be no black mark on her record. They have told me she may reapply.
-- Homer Hickam
Published on August 21, 2018 12:30
August 16, 2018
An Open Letter to NASA
Dear NASA:
As you may know, I come from both a West Virginia coal mining background and thirty years of combined military, federal, and NASA service. Nearly twenty of those years was with NASA where I trained astronauts for Spacelab and other missions, ending my career as the payload training manager for the International Space Station which was just beginning to be built. Since then, I've been a writer but that has not stopped me from doing what I can for both my old home state and its people as well as NASA, an agency near and dear to my heart. These days, in my spare time, I am the Vice-Chairman of the Space & Rocket Center Board which includes Space Camp, Space Academy, and all the great programs here in Huntsville. I am also fortunate to be able to speak to the many groups of teachers that attend Space Camp each year and hear from them their hopes, dreams, and fears for the children under their care and tutelage.
Although I am a supporter of NASA and the space business as a whole, there is a certain psychological reserve to someone raised in the coalfields to anything that seems ephemeral. We like real things. We like to see people and machines at work. We believe there is no water holier than the sweat on a person's brow. We want to go where there is work to be done, work to support our families, work where homes might be built and a decent wage might be made, work that feeds into the human spirit and soul, even dangerous work, that makes us better than we might otherwise be.
As such, I am very much a "moon guy" and I write this to make that clear. Ever since I suggested in 1960 to then-Senator John F. Kennedy that we go to the moon and "just mine the blame thing," I have been a believer that the eighth continent (which, since it was carved from the Earth, it is) is where we as humans should go, there not to build only science laboratories but to build towns and cities and use the resources given to us so near that we can almost touch it (and a few times have actually done so).
It is my belief that we do our young people and their teachers a disservice to keep presenting Mars as our real destination while the moon is but a means to get there. The moon to me is not a means. With our present technology, it is the end but one where an exciting future filled with productive people might evolve.
Of course, the arguments for and against Luna vs. Mars are well known. I was debating Bob Zubrin on this a decade and more years ago but, never mind, everything I've seen, learned, and felt since continues to sway me toward a new society of workers developing wealth on the moon with Mars left for now to machines and our developing AI capabilities or any billionaires who want to go there for which I wish them good luck and great fortune (although I suggest a couple of weeks of camping in the badlands of Montana and the Dakotas in the winter with only what they can pack in to see how they like it). However, to compare the very real potential of an industrial moon with a sod-busting Mars holding but a few farmers gasping for breath is wrong in my view. The idea of Mars as a new Earth is at best a dream and at worst a cruel hoax to our children and if we head for Mars while shortchanging the moon, it will be like the Pilgrims skipping New England and heading off to Antarctica instead.
The eighth continent is where I believe NASA clearly needs to set its sights for human habitation and suspend for now any fixation on a human-settled Mars which is no more real than the canal-striped version of Percival Lowell but sadly within the same dreamy context.
As a federally-funded agency with the most responsibility for our future, I believe NASA should make the case to our citizens that it is on our moon where we can open up a new domain of wealth for them and their families, thus justifying any expenditures in that pursuit. If this is not clear, we can always say we're going to go there and just mine the blame thing. The folks will get that.
Thanks for letting me spout off and thanks for all you do and have done and please keep aiming high.
Homer Hickam
www.homerhickam.com
Member: UAG, National Space Council
As you may know, I come from both a West Virginia coal mining background and thirty years of combined military, federal, and NASA service. Nearly twenty of those years was with NASA where I trained astronauts for Spacelab and other missions, ending my career as the payload training manager for the International Space Station which was just beginning to be built. Since then, I've been a writer but that has not stopped me from doing what I can for both my old home state and its people as well as NASA, an agency near and dear to my heart. These days, in my spare time, I am the Vice-Chairman of the Space & Rocket Center Board which includes Space Camp, Space Academy, and all the great programs here in Huntsville. I am also fortunate to be able to speak to the many groups of teachers that attend Space Camp each year and hear from them their hopes, dreams, and fears for the children under their care and tutelage.
Although I am a supporter of NASA and the space business as a whole, there is a certain psychological reserve to someone raised in the coalfields to anything that seems ephemeral. We like real things. We like to see people and machines at work. We believe there is no water holier than the sweat on a person's brow. We want to go where there is work to be done, work to support our families, work where homes might be built and a decent wage might be made, work that feeds into the human spirit and soul, even dangerous work, that makes us better than we might otherwise be.
As such, I am very much a "moon guy" and I write this to make that clear. Ever since I suggested in 1960 to then-Senator John F. Kennedy that we go to the moon and "just mine the blame thing," I have been a believer that the eighth continent (which, since it was carved from the Earth, it is) is where we as humans should go, there not to build only science laboratories but to build towns and cities and use the resources given to us so near that we can almost touch it (and a few times have actually done so).
It is my belief that we do our young people and their teachers a disservice to keep presenting Mars as our real destination while the moon is but a means to get there. The moon to me is not a means. With our present technology, it is the end but one where an exciting future filled with productive people might evolve.
Of course, the arguments for and against Luna vs. Mars are well known. I was debating Bob Zubrin on this a decade and more years ago but, never mind, everything I've seen, learned, and felt since continues to sway me toward a new society of workers developing wealth on the moon with Mars left for now to machines and our developing AI capabilities or any billionaires who want to go there for which I wish them good luck and great fortune (although I suggest a couple of weeks of camping in the badlands of Montana and the Dakotas in the winter with only what they can pack in to see how they like it). However, to compare the very real potential of an industrial moon with a sod-busting Mars holding but a few farmers gasping for breath is wrong in my view. The idea of Mars as a new Earth is at best a dream and at worst a cruel hoax to our children and if we head for Mars while shortchanging the moon, it will be like the Pilgrims skipping New England and heading off to Antarctica instead.
The eighth continent is where I believe NASA clearly needs to set its sights for human habitation and suspend for now any fixation on a human-settled Mars which is no more real than the canal-striped version of Percival Lowell but sadly within the same dreamy context.
As a federally-funded agency with the most responsibility for our future, I believe NASA should make the case to our citizens that it is on our moon where we can open up a new domain of wealth for them and their families, thus justifying any expenditures in that pursuit. If this is not clear, we can always say we're going to go there and just mine the blame thing. The folks will get that.
Thanks for letting me spout off and thanks for all you do and have done and please keep aiming high.
Homer Hickam
www.homerhickam.com
Member: UAG, National Space Council
Published on August 16, 2018 16:12
April 30, 2018
The Moon is There: Writing About Our 8th Continent
The Moon is There:A Writer Looks At Our Eighth Continent
Part 1 of 2
by
Homer Hickam
Many years ago the great British explorer George Mallory, who was to die on Mount Everest, was asked why he wanted to climb it. He said, "Because it is there." Well, space is there, and we're going to climb it, and the moon and the planets are there, and new hopes for knowledge and peace are there. And, therefore, as we set sail we ask God's blessing on the most hazardous and dangerous and greatest adventure on which man has ever embarked.- President John F. Kennedy, 1962
O fortune like the Moonyou ever wantbut to regainyour former circumstance.Life's equally fainto decimateas reinstatethe mind with games of chanceprosperityand penuryreversing with a glance. - Carmina Burana; Fortune, Empress of the World
We should just go up there and mine the blame thing.- Homer Hickam
PART 1
An Author's Commentary
What follows is not my usual. You know me. I'm the fellow who wrote Rocket Boys: A Memoir which told the story of some boys in the West Virginia coalfields who decided to build rockets. I also wrote a lot of other novels and memoirs. If I have to define myself as a writer, I would say I'm a story-teller which is kind of a West Virginia specialty.
I've told stories of the coalfields of West Virginia and stories of the Outer Banks of North Carolina and stories of the South Pacific during World War II and of the fossil grounds of Montana. My most recent novel was the story of a long trek my parents took with their pet alligator during the Depression titled Carrying Albert Home. Counting Albert, I've written five books set at least partially in West Virginia, Rocket Boys, The Coalwood Way, Sky of Stone, and We Are Not Afraid.
Interestingly, and more to the point of this particular piece, I've also written five works set on the moon. They include lunar fiction that began with the New York Times best-selling novel Back to the Moon (BTTM) and followed up some years later by a trilogy of novels titled Crater, Crescent, and Crater Trueblood and the Lunar Rescue Company.
But there is another work, actually my first that was set on the moon. I wrote it way back in 1993. Since I've recently being appointed to an adjunct group of the National Space Council, I think maybe it's time to revisit my work, written a quarter century ago to encourage a rather reluctant organization to head for the moon. You may recognize it best by its acronym: NASA.
----------------------------------
How I Came to Write About the Moon
In 1986, I was working at the Marshall Space Flight Center (MSFC) assigned to train the crew of SL-J, a Spacelab mission that was mostly funded by the Japanese. After it finally flew in 1992, I wrote up all the lessons learned on that mission (they were legion) and turned them in and waited for my next assignment. It came one day when I was called to report to my boss, a fellow I'll call Ken, mainly because that was his name.
Ken sat me down and pondered me for a long second with his expressive eyes which always seemed unhappy when he sat me down in front of him for reasons I cannot imagine other than over the previous few years various astronauts had tried very hard to get me fired. Of course, other than making a number of poor decisions based on faulty judgment, I was innocent of everything.
Ken, to his credit, took up for me every time some pretty powerful folks came after me, enough that I had gotten through SL-J while still being gainfully employed. I wrote a little about that flight in my Paco: The Cat Who Meowed in Space book and, even though it was a difficult mission, I now look back on it fondly as veterans often do after fighting in wars that come close to killing them but not quite.
"So, Homer," Ken began, "what do you want to do next?"
Actually what I wanted to do was sit down and write the great American memoir-novel except I didn't know that yet so I said, "Whatever you want me to do, Ken," which I took as a safe answer.
"We thought you did a great job on SL-J," Ken allowed, resisting I'm sure the urge to list where I hadn't done so great, "but now we think you should do something else. You've heard about the space station, I guess."
Of course I had and said so. President Reagan's Space Station Freedom had morphed into Vice-President Al Gore's International Space Station which would include as an equal partner the recently defeated evil Communists of the Soviet Union now known as our besties the Russians.
Ken went on. "We need somebody to figure out how to train crews on payloads aboard the ISS. The Russians have their ways and we've got ours but somehow we need to pull them together. The astronauts will have to agree to it and we'll have to make the Europeans and the Japanese happy, too. How about it? You up to taking that on?"
Since it sounded like an interesting assignment, I agreed. "Don't screw it up," he said. Actually, he didn't say that but I kind of knew he was thinking it. What he actually said was, "Let me know if you need anything," and waved me out of his office.
After giving it some thought, I could see the first requirement to do my new job was to gather up as much knowledge on the various space programs as I could. This led me to Marshall Space Flight Center's excellent reference library. After harrying the librarian there for some days, he retrieved from all his sources everything available on our Russian pals and the other space organizations on how they trained their crews on payload operations. (Note: Payload in this case is NASA-speak for science experiment).
Before I came up with a way to combine forces with the Russian Space Agency and everybody else, I thought it best to review the current space policies of NASA itself. Sometimes the organization we know the least about is the one in which we work.
Digging through everything was a tedious process but as I labored, one thing kind of jumped out and hit me pretty much right between the eyes. Although there was a hold-over plan from the Bush (#1) Administration called the Space Exploration Initiative (SEI) that called for a return to the moon, it had (1) never been funded and (2) never been taken seriously. Therefore, as far as I could tell, nobody, anywhere, had any real plans to send people to the moon!
This bothered me and got me to thinking, always dangerous to me and anyone nearby, and one of the things I thought about was my encounter with one Senator John Fitzgerald Kennedy in 1960 when he was running for the Democratic Presidential nomination in the West Virginia primary. At the time, I was in Welch, the county seat of McDowell County in the heart of the coalfields, there to purchase a suit for the National Science Fair after the rockets of the Big Creek Missile Agency had won at the county and state level.
After going to the men's store with O'Dell, one of my fellow amateur rocket builders, I managed to purchase a suit that was pretty much orange in color because O'Dell said I needed to stand out at the great fair and a suit that color would do the trick. As it turned out, it did, not at the fair but with Senator Kennedy. This strange and fateful event in my life and the world I would later write about in Rocket Boys: A Memoir.
Here's the relevant excerpt.-------------------
--------------------
I wormed my way through a crowd of people and saw a table with a "Jack Kennedy for President" sign on it. Some men were setting up some loudspeakers. Then the martial strains of "Anchors Aweigh" blared out followed by "He's Got High Hopes," sung by Frank Sinatra. "What's going on?" I asked a man putting up a Kennedy poster on a telephone pole.
He looked me over, as if maybe I had two heads, and then said, "The Senator's going to make a speech right here in Welch. He'll be here any minute."
Attracted by the music, more people were crowding in. Somehow, Emily Sue found me. She took one look and said, "Oh my stars!" Her mouth stayed open.
I thought there was something going on behind me that had scared her. I looked over my shoulder but didn't see anything. "What?" I demanded, turning back.
Her mouth was still open. "What color is that?"
"My suit?" I looked at my sleeve. "I dunno. It's sort of an orange, I guess."
"Orange! You bought an orange suit?"
I shrugged. "Well, yeah..."
Just then, a convoy of Lincolns and Cadillacs wheeled into the parking building, their tires shrieking. Emily Sue and I had to step aside or we'd have been run over. We found ourselves right up front of the crowd. "Hey, this is great!" I said.
Emily Sue hadn't even glanced at the signs or the cars. She was still staring at me. "You don't like my suit?" I asked her. "O'Dell came by and helped me pick it out."
She slowly shook her head and then said, "That explains everything."
The crowd was applauding politely as a man got out of one of the Lincolns. He waved and I guessed he was Senator Kennedy. When he was hoisted to the top of a Cadillac, I knew I was right. He was a thin man with a large head and a lot of hair and a brown face. My first thought when I saw him was to wonder how in the world it was possible to get such a tan in the spring. The Senator waved again, cleared his throat - somebody handed him up a glass of water which he sipped - and then he started to talk. The crowd was milling, not everybody paying attention. He was giving it his all, though, and I thought it only polite to listen. His speech, delivered with a clenched fist punching out nearly every word, was about Appalachia (which I was surprised to hear we were part of) and the need for the government to help the whole area, maybe, he said, with a TVA-style project. I'd been taught about the Tennessee Valley Authority in high school history. Mr. Jones said President Roosevelt had used it to help the economy of the hill country of Tennessee and Alabama. I heard my Dad say once to my Uncle Ken that the TVA was just socialism, pure and simple. Uncle Ken said it wasn't, either, that it was just the government looking out for the little man. Dad had replied the government didn't look out for anybody but itself.
The Senator kept talking. I noticed that his hand crept to his back, pushing in the small of it like it hurt him there. He stood stiffly, like one of Dad's junior engineers after their first day in the mine. His eyes had kind of a sad look to them, too. I thought he was in some pain, either in his back or somewhere else.
The Welch audience stayed attentive but quiet as Senator Kennedy promised to create a food stamp program. The men who had gotten out of the Lincolns and Cadillacs applauded at the proposal but they were joined by only a few people in the crowd. The Senator paused and brushed the hair from his forehead in a nervous gesture. "I think the people of this state need and deserve a helping hand and I'm going to see that you get it!" he shouted, socking the air. Only silence came back at him. I noticed some people starting to leave. The Senator frowned and looked worried and I felt sorry for him. "How about some questions?" he asked. He sounded a little desperate.
My hand shot up. For some reason, he noticed me right off. "Yes. The boy in the, um, suit."
"Oh God," Emily Sue groaned. "You're going to embarrass the whole county."
I ignored her. "Yessir. What do you think the United States ought to do in space?"
"Oh, pleaseGod," Emily Sue groaned anew.
There was a stirring in the crowd, a few hoots of derision, but Kennedy smiled. "Well, some of my opponents think I should go into space," he said. With that, he got himself some appreciative laughter. He looked at me. "But I'll ask you, young man: what do youthink we ought to do in space?"
As it happened, I had been lately thinking about the moon a lot. In-between spring storms, Jake's telescope allowed me to walk down the rilles and climb the mountains and stroll the mares of the moon in my mind. It helped me when I was sad about Daisy Mae, or worried about my parents moving to Myrtle Beach, or contemplating my future. The moon had become near and familiar and that's why my answer just sort of popped out. "We should go to the moon!" I said.
The Senator's entourage laughed but he shushed them with an irritable wave of his hand. "And why do you think we should go to the moon?" he asked me.
I looked around and saw men in their miner's helmets so I said, "We should go there and find out what it's made of and mine it just like we mine coal here in West Virginia."
There was more laughing until one of the miners spoke up. "'That boy's right! We could mine that old moon good!"
"Hell," another miner shouted out, "West Virginians could mine anything!"
A ripple of good-natured applause went through the crowd. There were a lot of grins. Nobody was leaving.
Kennedy seemed to be energized by the response. "If I'm elected president," he said, "I think maybe we will go to the moon." He swept his eyes across the people, now attentive. "I like what this young man says. The important thing is to get the country moving again, to restore vigor and energy to the people and the government. If going to the moon will help us do that, then maybe that's what we should do. My fellow Americans, join with me and we will together take this country forward..."
The crowd responded heartily. Kennedy was talking about working to make the country great again when Emily Sue dragged me away. "What're you doing?" I demanded. "I'm having fun."
"We're going back to Philips and Cloony before they close."
"What for?"
"You're not going to Indianapolis in that orange suit. It's the most carnival thing I've ever seen!"
I stopped dead in my tracks. "I like my suit."
She started to argue but then said "I don't doubt it." She put her hand on my back and propelled me forward.
--------------------
After that encounter, I might be excused if I take credit for the entire Apollo program which, by the way, I do. In any case, I had clearly given the idea of people going to the moon at an early age.
And why was that?
My thoughts on the moon may well have been colored because of where I lived, the little company town of Coalwood. Like the moon, Coalwood was remote and the people there were doing something most other people didn't know much about which, in our case, was the mining of coal from deep under our mountains. Because I read a lot of science fiction as a teen, when I looked out my window late at night and saw the hoot owl shift walking to work, it made me think of miners on the moon trudging through the dust in the darkness.
Hoping I had missed something in the official documents about going to the moon, I started reading every journal or magazine I could find that might have something on a new attempt to go back but no matter how hard I searched, there was just nothing. NASA and every other space agency in the world seemed content with just keeping their people locked in low earth orbit. The moon was entirely yesterday.
While I was puzzling over this sad state of affairs, I happened to see a Huntsville Little Theatre production of the play Terra Nova which was about Sir Robert Scott's fatal attempt to reach the South Pole. This started me off reading more about Scott as well as other early Antarctic explorers such as Amundsen and Shackleton. Gradually, it dawned on me that the moon and Antarctica might be something alike in that they were both remote continents and required a lot of specialized equipment and transportation to get there and set up housekeeping.
At the time, I was working in what was called the Man-Systems Integration Branch within the Mission Operations Laboratory. This was the fancy name for the office that housed MSFC's payload crew training managers. It was a very busy office filled with some dynamic people which included Sue Boyd Rainwater who would eventually oversee NASA's space suit designs, Patti Moore who would be the primary crew interface in Russia during the early ISS years, and luminaries in crew training such as Julie Sanchez, Angie Johnston, Joel Best, Alice Dorries, Debra Underwood, Chuck Lewis, Carole McLemore, Ken Smith, Cindy Fry, Anne Carter, Lybrease Woodward, George Norris, George Hamilton, Janet Dowdy Strong, Kimberly Robinson, Jessica Osborne, Dave Scott, Sonny Mitchell, Roy Young, Alan Johnston, Mike Massimino (an intern who later became an astronaut) and many others. Everyone who was in our branch kind of stood out.
And we had interesting visitors every so often, too. I was privileged to tour this lovely young woman around for a day. The story I got was she was in a movie about grease and could sing a little, too. Anyway, she was very nice.
Although there were many technical aspects to being a payload training manager, ultimately our jobs came down to handling several types of people who tended to be highly intelligent, pedantic, picky, sensitive, overworked, and quirky, i.e., astronauts, the scientists whose experiments the space flyers operated, and NASA upper management. We also had a great deal of responsibility with virtually no authority, a situation that required us to figure out what needed to be done and then gain agreement amongst all the parties to our plans, a nearly impossible task. We were, as might be imagined, often a little stressed.
To get by without going crazy, we occasionally needed to talk to people who understood. This usually meant another training manager. Cindy Fry was the one I most often turned to for that particular requirement. When I sat down with her at lunch one day, we covered the usual astonishing things happening in the training world, and then I told her about how unhappy I was that we weren't going back to the moon. At this revelation, she asked, "Why do you care?"
This I took as a very good question. My answer was my JFK story. She puzzled over that for a moment and then asked, "Yes, but why do you really care?"
Why, indeed? I thought it over, and then said, "Because I think the moon is the best place to go if people are going to actually live in space. Not just astronauts but everybody. There's work to do on the moon, both blue-collar and white-collar kind of work. For one thing, we could just go up there and mine the blame thing."
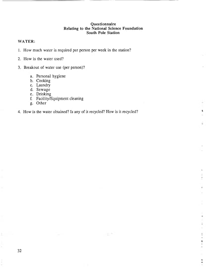
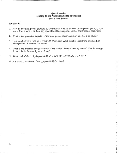
I told her about the play I'd seen and the fact that we had a base in Antarctica right on the pole and that I thought Antarctic explorations were a lot like exploring the moon and maybe there were some lessons that could be learned there.
Cindy had her thinking cap on. She had also recently finished a difficult Spacelab mission and was about to get involved with another one. She said, "You know what, Homer? I bet if we pitched it right, we could get a trip to the South Pole to study the station there! Why don't we go after some center director contingency funds?"
After I confessed I'd never heard of such funds, Cindy explained that the center director was allowed to squirrel away a small pot of money for anyone who came up with a good idea and needed help to test it out. She told me further there was a competition for those funds but maybe, if she and I were clever enough, we might be able to come up with some justification to make the trip. I wasn't exactly certain how this had become a "we" project but I really didn't mind. Anyway, it sounded like a fun adventure that might even be worthwhile.
We submitted our proposal and then went on to other things. For me, this included more study on how to bring the various crew training organizations together. This required trips to Russia and Europe and all over which was interesting and I was soon thoroughly immersed in how to pull everybody together, especially including Vice President Gore's Muscovite BFFs.
After a few weeks, the answer came from the Center Director that the request for our funding was approved for our study but only for the time it took to study and write it. There were, it was explained, no travel funds allowed under the Center Director's money pot.
I called Cindy and we agreed to meet to see what could be done. "How can we," I wondered, "write anything about the South Pole Station without going there to get some answers?"
Cindy's answer was a stunner. "I don't know, Homer, but there's something you should know. I'm quitting NASA and moving to Texas."
It took a moment to register but then it did. "What? When?"
"Right away." Cindy went on to explain that she had decided she needed to spend more time with her husband and her young family and had concluded NASA was just never going to let that happen. There was too much travel and too much stress.
Sometimes, things just don't work out and, although I would miss her, I admired Cindy's courage in giving up a promising future with the space agency in favor of her family. Eventually, she would become the Dean of Computer Sciences at Baylor University but she always kept her family first. I am proud to still be her friend but she threw me a curve those many years ago.
Although now Cindyless and without a ticket to Antarctica but on the hook to make the study, I knew I needed to find out as much as I could about what was officially titled the Amundsen-Scott South Pole Station. My initial research revealed that it was originally built for the 1957 International Geophysical Year (IGY) which, by the by, also resulted in Russia's Sputnik, the world's first artificial earth satellite, which ultimately led to the creation of NASA and me building rockets when I was a kid and ultimately writing Rocket Boys. Yay, IGY!
The National Science Foundation (NSF) was the federal agency responsible for running the South Pole Station so the next thing I did was call them to let them know what I was doing and why. After being shuttled around from one person to the next, I finally found someone there who was associated with the South Pole Station. This fellow—let's call him Bill—proceeded to disappoint me with the news that he couldn't talk to me because I was from Marshall Space Flight Center and it was Johnson Space Center in Houston who was supposed to be the contact between NASA and the NSF.
"But I have a grant to study the South Pole Station," I said. "My Center Director gave it to me."
"Can you give it back?"
I briefly considered this, dismissed the idea as unworthy, then asked, "Who at JSC is your contact?"
Bill provided a phone number in Houston for a fellow I'll call Bob. I called Bob and told him what Bill had said and also what I was doing and why. "Good luck," he replied.
After waiting for him to say something else which he didn't seem inclined to do, I asked, "Is JSC making a study of the South Pole Station?"
He hesitated, then said, "Nope."
"Are you going to?"
"Why would I?"
"Because it might help us build a moonbase."
"But we're not building a moonbase," he said, quite correctly. "Look, yeah, somebody here wrote a little study about that base down there but he's off on something else now. If I were you, I'd do the same and just drop the whole thing. Anyway, no matter what you write, nobody is going to pay any attention to it. If you haven't figured it out, Homer, we've done the moon. We're not going to do it again."
Rather than argue, which I sensed was a waste of time, I thanked Bob and hung up and went straight back to Bill and did what I have learned works best when faced with an intractable bureaucrat, i.e., whine, snivel, and grovel.
"OK, I'll help you," Bill finally agreed in the midst of my sob story which I clearly didn't plan on ending any time soon, "but it'll have to be unofficial. So what do you want to know?"
"Everything," I said and, to his credit, Bill didn't hang up.
Before long, I had a great deal of information about our base on the southern pole and after giving the whole thing some thought, and studying a lot more, I was ready to write and publish.
And so I did, a write-up I grandly titled A Study of the National Science Foundation's South Pole Station as an Analogous Data Base for the Logistical Support of a Moon Laboratory.
And here it is.
----------------------
----------------------
----------------------------
-----------------------
---------------------------
---------------------------
--------------------
----------------------
----------------------
------------------------------
Reflections and Further Commentary
-------------------
And so my study was published and, just as Bob of JSC/Houston predicted, no one at NASA or the federal government in 1993 cared anything about it. To my knowledge, a quarter century later, they still don't. Nonetheless, being the stubborn type, and especially after subsequently writing four novels set at least partially on the moon, I believe my first work about Luna contains several concepts or analogs that are important if we're really going to go back there, this time to stay. They are as follows:
• The Evolving Construction Analog was my proposition that the best course while building a moonbase was to do it slowly over time. This was the way the South Pole Station was constructed with its components evolving from an uncrewed power-producing station to a temporarily crewed science laboratory to a full-time occupied facility. Another Apollo-type crash program is not required. Slow and steady wins the race, as the old maxim goes, and it is particularly true when building something big and costly that has yet to prove itself.
• The Funding Analog was a way of looking at spending money for the moonbase over time. Just as in Antarctica, funding a moonbase should be spread out, the money only spent as it makes sense to do based on the success of what has come before. I also still like my idea of not putting NASA in charge but creating a Lunar Base Consortium (LBC) of government and private players.
• The Transportation Analog was probably the one I had the most fun describing because I got to draw a lot of rockets. It also (ahem) resulted in me predicting somewhat the lift capabilities of launchers that would be coming on line a quarter of a century later. The Moonbird rocket is similar to today's Falcon 9 or the standard Delta or Atlas rockets, the Moondog is similar to the Falcon Heavy, Atlas V, or Delta Heavy, and the Moonbeast is similar to the BFR, the New Glenn, or NASA's SLS. Profit-seeking rocket companies such as SpaceX and Blue Origin were not even glimmers on the horizon back in 1993 so I didn't foresee them. What I fully expected was that NASA would have to design and build all of the new American rockets through its usual set of contractors. I'm glad that's not the way it turned out.
• The Fuzzy Boundary Proposal: While I was writing the study, I came across some references to the "fuzzy boundary" method of launching payloads to the moon and included that idea in my study. It was my reasoning that without any rushed time constraints to build the moonbase, there was no reason not to use gravity-assist to send various segments with self-landers. Had I known about the idea at the time, I would have also proposed Aldrin Cyclers that constantly make figure-8's around the Earth and the moon. These Cyclers carry living quarters and crew supplies so that any country or company wanting to hitch a ride to the moon can come up from Earth, rendezvous with a Cycler, give it a little boost, and be on their way with whatever they have, including landers, supplies, and people. I wrote at length about the design and capabilities of these cyclers in my Helium-3/Crater series which I described as somewhat steampunk in design and function.
For all my fascination toward the moon as a destination, what is it I want to see happen there? I will tell you very clearly. I want to see a new world filled with hearty individuals who desire above all else to raise their families in the manner in which they see fit while being free (if they wish) of Earthian politics and Earthian religions and any philosophy to do with the Old World in favor of the New on what I consider our eighth continent.
In other words, I want humanity to start thinking in different ways that can only occur when we truly break free not only of the gravity that keeps us bound to the Earth but the chains of our history. This is not to say everything will be perfect there. Far from it. Just as I show in my Helium-3/Cratertrilogy, I expect life on the moon to be difficult and dangerous but it's through difficulty and danger that human progress is most often made.
The moon is there, waiting. I say let's just go and mine the blame thing. Ad Luna!
Coming up: Part II. The Art and Science of Writing Novels Set On The Moon.
Published on April 30, 2018 12:02
March 17, 2017
Rocket Boys Preface - Chinese Edition
Note: There will be a new Chinese edition of Rocket Boys during 2017. At the request of the publisher, I wrote the preface below to celebrate it. Rocket Boys continues to be one of the most popular memoirs in the world. Its 20th anniversary will be in 2018. It is my hope that the American publisher, Random House, will choose to come out with a special edition and a version of this preface can be included.
Chinese Rocket Boys Cover
Rocket Boys Preface - Chinese EditionbyHomer Hickam
During the nearly two decades since the first publication of Rocket Boys, many literary honors have come its way which includes its choice by dozens of library and community reading programs across the United States and the world. This reflects the broad appeal and popularity of the work and its ability to connect with nearly everyone at some level. As the author, I have caught some of this reflected glory. I've been offered honorary doctorates, received countless awards, been invited to many towns, cities, and countries to talk about the book, and allowed to continue my writing career with a variety of well-received novels and memoirs. Rocket Boys, however, is the work for which I'm best known and probably will be forever. Something about it transcended even its author and touched the hearts and souls of people everywhere. My purpose for writing the book was to create a remembrance that would, at least in a literary sense, bring back to life the town where I was raised. When the idea for the book came to me, my hometown of Coalwood, West Virginia had essentially passed from the scene. Although some of the old houses were still standing, most of its people were gone and its purpose for existing, the coal mine, had closed down. Like many of the young people who had been raised there, this tore my heart to pieces. Coalwood had been a special place filled with a strong and unique people, something we didn't really understand until we had left and then looked back, only to see our hometown mostly destroyed.
Coalwood in the 1950's
To tell the story of Coalwood and my life there wasn't easy. I like to say, only somewhat facetiously, that I received a million dollars of psychotherapy when I wrote Rocket Boys that I didn't even know I needed. It required me to delve deeply into family problems especially those caused by the long battle between my parents on how they would live their lives. After several false starts, I finally hit upon the best way to tell the story not only of Coalwood but also of the tensions within my family. This was accomplished by recounting my high school years when five of my friends and I got it in our heads to build rockets, an idea extremely unusual in the West Virginia coalfields. As soon as I started to tell the story of our grandiosely titled Big Creek Missile Agency, the words just tumbled out of my head, one atop the other, with an urgency that was astonishing. Coalwood seemed to ignite in the sentences and paragraphs that flowed from my mind. My old town stirred and became alive again and the pain of its passing eased in my heart as I relived an era when boys built rockets and a people ultimately rallied to help them achieve their dreams. It is a great honor that thousands of readers have written to say that after reading my memoir, they feel as if they also grew up in Coalwood. They tell me how much they loved the boys who built the rockets and loved their girlfriends and almost-girlfriends, and loved the teachers and parents and coal miners and preachers who came to life as they read along. In some cases, they've told me that the book actually changed their lives for the better. High praise for a book! These letters are worth much more to me than any royalties received.
One unexpected result of the memoir was that many of its readers wanted to become part of the aerospace community. Although the memoir contains nothing of my future career with NASA, these readers felt the stirring within our teen-aged hearts to go into space. Of course, unlike the era of the Big Creek Missile Agency, the present movement into space has broadened beyond just the efforts of the United States and Russia. Dozens of countries have ventured into orbit and beyond with both unmanned and manned vehicles. Even private companies have gotten involved with such entities as SpaceX and Blue Origin fielding advanced rockets. When I recently visited the SpaceX factory in California, I was astonished and pleased by the number of young engineers who came up to me to tell me that my memoir was the primary reason they had picked their careers. Who would have ever thought a story of some boys in a coal mining town would lead people around the world to head for the stars? Teachers everywhere like the book, too. Science and mathematics teachers use it to teach the importance of their subjects and literature teachers use it because it tells a story with many layers of meaning during a time of change.
The Coalwood Trilogy Another happy result of Rocket Boys and the movie based on it titled October Skywas that amateur rocketry, essentially stagnant for years, suddenly became an international obsession. In nearly every country in the world, inspired rocketeers influenced by the book and the film joined rocket clubs and learned the secrets of propulsion just like the boys of Coalwood. When I hear from them, I always remind them of my mother's admonition: Don't blow yourself up!
Four of the six Rocket Boys
L-R Sonny (Homer, Jr.), Quentin, Roy Lee, O'Dell
A group of readers who've also embraced the book are the many folks who have sadly had trouble with their parents, especially their fathers. In his position of superintendent of the coal mine, my father in the book is a man obsessed with the success and prosperity of the mine, the miners, and the little town. As Coalwood begins to crumble around him, the efforts of his second son and some other boys to seize a different and brighter future is a constant affront. That my father and I would clash is inevitable but how the conflict ultimately resolves is not. That is the surprise of the book, held off until the ending when the true character of both the father and his son are revealed during a special moment. After reading about what happened at the end, one reader wrote and said, "I'm going to tell my father I love him whether he likes it or not!" I have received many such sentiments, all amazing, emotionally powerful, and much appreciated.
Rocket Boys has so far spawned three sequels, The Coalwood Way, Sky of Stone, and We Are Not Afraid, one prequel, Carrying Albert Home, the movie October Sky, and a Broadway play, Rocket Boys the Musical. It has been quite a ride for this author. Mostly, I feel privileged to tell not only that boy's story but also that of his friends, his family, and his teachers during a time when rockets soared, not just to reach space, but to reach altitudes of hope and joy.
- Homer Hickam, author Rocket Boys, Carrying Albert Home, & many more
Chinese Rocket Boys CoverRocket Boys Preface - Chinese EditionbyHomer Hickam
During the nearly two decades since the first publication of Rocket Boys, many literary honors have come its way which includes its choice by dozens of library and community reading programs across the United States and the world. This reflects the broad appeal and popularity of the work and its ability to connect with nearly everyone at some level. As the author, I have caught some of this reflected glory. I've been offered honorary doctorates, received countless awards, been invited to many towns, cities, and countries to talk about the book, and allowed to continue my writing career with a variety of well-received novels and memoirs. Rocket Boys, however, is the work for which I'm best known and probably will be forever. Something about it transcended even its author and touched the hearts and souls of people everywhere. My purpose for writing the book was to create a remembrance that would, at least in a literary sense, bring back to life the town where I was raised. When the idea for the book came to me, my hometown of Coalwood, West Virginia had essentially passed from the scene. Although some of the old houses were still standing, most of its people were gone and its purpose for existing, the coal mine, had closed down. Like many of the young people who had been raised there, this tore my heart to pieces. Coalwood had been a special place filled with a strong and unique people, something we didn't really understand until we had left and then looked back, only to see our hometown mostly destroyed.
Coalwood in the 1950'sTo tell the story of Coalwood and my life there wasn't easy. I like to say, only somewhat facetiously, that I received a million dollars of psychotherapy when I wrote Rocket Boys that I didn't even know I needed. It required me to delve deeply into family problems especially those caused by the long battle between my parents on how they would live their lives. After several false starts, I finally hit upon the best way to tell the story not only of Coalwood but also of the tensions within my family. This was accomplished by recounting my high school years when five of my friends and I got it in our heads to build rockets, an idea extremely unusual in the West Virginia coalfields. As soon as I started to tell the story of our grandiosely titled Big Creek Missile Agency, the words just tumbled out of my head, one atop the other, with an urgency that was astonishing. Coalwood seemed to ignite in the sentences and paragraphs that flowed from my mind. My old town stirred and became alive again and the pain of its passing eased in my heart as I relived an era when boys built rockets and a people ultimately rallied to help them achieve their dreams. It is a great honor that thousands of readers have written to say that after reading my memoir, they feel as if they also grew up in Coalwood. They tell me how much they loved the boys who built the rockets and loved their girlfriends and almost-girlfriends, and loved the teachers and parents and coal miners and preachers who came to life as they read along. In some cases, they've told me that the book actually changed their lives for the better. High praise for a book! These letters are worth much more to me than any royalties received.
One unexpected result of the memoir was that many of its readers wanted to become part of the aerospace community. Although the memoir contains nothing of my future career with NASA, these readers felt the stirring within our teen-aged hearts to go into space. Of course, unlike the era of the Big Creek Missile Agency, the present movement into space has broadened beyond just the efforts of the United States and Russia. Dozens of countries have ventured into orbit and beyond with both unmanned and manned vehicles. Even private companies have gotten involved with such entities as SpaceX and Blue Origin fielding advanced rockets. When I recently visited the SpaceX factory in California, I was astonished and pleased by the number of young engineers who came up to me to tell me that my memoir was the primary reason they had picked their careers. Who would have ever thought a story of some boys in a coal mining town would lead people around the world to head for the stars? Teachers everywhere like the book, too. Science and mathematics teachers use it to teach the importance of their subjects and literature teachers use it because it tells a story with many layers of meaning during a time of change.
The Coalwood Trilogy Another happy result of Rocket Boys and the movie based on it titled October Skywas that amateur rocketry, essentially stagnant for years, suddenly became an international obsession. In nearly every country in the world, inspired rocketeers influenced by the book and the film joined rocket clubs and learned the secrets of propulsion just like the boys of Coalwood. When I hear from them, I always remind them of my mother's admonition: Don't blow yourself up!
Four of the six Rocket BoysL-R Sonny (Homer, Jr.), Quentin, Roy Lee, O'Dell
A group of readers who've also embraced the book are the many folks who have sadly had trouble with their parents, especially their fathers. In his position of superintendent of the coal mine, my father in the book is a man obsessed with the success and prosperity of the mine, the miners, and the little town. As Coalwood begins to crumble around him, the efforts of his second son and some other boys to seize a different and brighter future is a constant affront. That my father and I would clash is inevitable but how the conflict ultimately resolves is not. That is the surprise of the book, held off until the ending when the true character of both the father and his son are revealed during a special moment. After reading about what happened at the end, one reader wrote and said, "I'm going to tell my father I love him whether he likes it or not!" I have received many such sentiments, all amazing, emotionally powerful, and much appreciated.
Rocket Boys has so far spawned three sequels, The Coalwood Way, Sky of Stone, and We Are Not Afraid, one prequel, Carrying Albert Home, the movie October Sky, and a Broadway play, Rocket Boys the Musical. It has been quite a ride for this author. Mostly, I feel privileged to tell not only that boy's story but also that of his friends, his family, and his teachers during a time when rockets soared, not just to reach space, but to reach altitudes of hope and joy.
- Homer Hickam, author Rocket Boys, Carrying Albert Home, & many more
Published on March 17, 2017 09:49
February 27, 2017
Anousheh Ansari: A Synopsis of her Memoir
The Anousheh Ansari Story
Or how Anousheh Ansari left Iran, fell in love, made a fortune, rode a rocket into space, and discovered what was truly important in life
A Synopsis of the memoir*My Dream of StarsbyAnousheh Ansari and Homer Hickam**
Call this a love story, though it leads to the gathering of a fortune and on to the far and magnificent reaches of space. When everything was done and I was set down by silky parachutes beneath the endless milky sky of the high desert of Kazakhstan, I realized it was love all along that had carried me to that glittering island higher than the highest mountains and then brought me back aboard a shooting star. Love, I understood even as I was carried from my charred, smoking spaceship, is more than an ache of the longing heart. It is the infinite power of hopes and dreams that transcends everything, even the universal principles of physics. . . What, after all, would the universe and all its trillions of stars and billions of galaxies be without at least the tiniest bit of love? For that matter, what would we be? Nothing is my answer. Just substance without purpose.
So begins the memoir of Anousheh Ansari, Iranian-American entrepreneur, devoted daughter, loving wife, and the first Iranian in space. In the male dominated post-revolutionary Iran, the story of her voyage may yet help change her country into one with equality for all. She is also an international icon who has become an inspiration to everyone aspiring for a better life. This is her story.
Young AnoushehIn 1966, a pretty curly-haired little girl named Anousheh Raissian was born in fabled Mashhad, a city of parks and mosques in the Iranian highlands. Anousheh means "eternal" in Farsi and she proved to be an eternally bright and energetic little girl. Her parents, Houshang and Fakhri, were so much in love they were known as the Romeo and Juliet of Mashhad. But when Anousheh was three years old, her father announced that they were going to leave the quiet and lovely city and move to the busy, teeming capital city of Tehran so he could attend the university. "But we are so happy here," her mother told him. He replied, "I have no future in this place. We are going to Tehran." In Iranian society, it is the men who make the decisions so Anousheh's mother agreed.
Although Anousheh was confused about why they were moving, she was cheered when she heard her mother was pregnant. She looked forward to having a brother or sister to play with! When the family arrived in Tehran, they were accompanied by Anousheh's beloved grandparents whom Anousheh called her Buhbuhand Maman. Then, her sister Atousa was born. The extended family moved into a tiny, crowded apartment. At first, all went well. Anousheh loved the excitement of the big city although her mother still longed for Mashhad and her family. Dreaming of America, her father decided to quit school and go to the USA and build a new life for himself and eventually his family. While he was gone, Anousheh's mother worked two jobs to support the family and pay for the schooling of her daughters. Sometimes, when Anousheh came home, she found her mother exhausted and suffering from severe migraine headaches.
Her father's American dream turned into a nightmare for the family when he returned empty-handed and asked for a divorce. Soon, it became clear he was involved with another woman. While her life was unraveling, Anousheh found refuge amongst the stars. Her grandparents let her sleep on their balcony and there, looking into the heavens, she fell in love with the stars and vowed some day to visit them.
Then came the Iranian revolution. One night, a mob attacked the bank that was part of the building where Anousheh, her mother, and her sister lived and they had to flee for their lives. Teen-aged Anousheh was harassed and forced to put on a burkha and hide her face. She was also told studies in math and science were no longer available for women and she and her sister were forced to go to a different school every year. One morning, they were attacked by starving dogs as they made their way through a slum to the school. Anousheh's dreams of being a scientist had disappeared into the dust of the revolution. Her mother made a brave decision. She decided to take her daughters and run from the despots and make a new life in the United States where she had relatives.
When she arrived in her new country, Anousheh could not speak English. Yet, she studied hard, graduated from high school at the top of her class, and then went to college with the help of students loans and scholarships. She kept going until she had a master's degree in electrical engineering.
After graduation, Anousheh began work as an engineer with a big telecommunications company. There, she met and fell in love with Hamid Ansari, a handsome Iranian-American whose family had also escaped from Iran. Two years after their marriage, Anousheh decided she and Hamid (plus Hamid's brother Amir) should form their own company. At first, Hamid resisted, saying the time wasn't right, but Anousheh's arguments prevailed.
Anousheh and Hamid Anousheh and Hamid cashed in their meager savings, moved to Dallas, and formed Telecom Technologies, Inc (TTI). Unable to get start-up money, they spent every penny they had, maxed out their credit cards, and asked their family to do the same. Many times, Hamid and Anousheh had to beg the banks to give them another month, another week, even another day. Finally, after years of anxiety and near-failure, the company produced a product that was a major success. Soon, a buyer came and they sold TTI for hundreds of millions of dollars.
One of many cover stories for Anousheh Now Anousheh looked around for new worlds to conquer.Literally.
"There is a reason we are rich, Hamid," Anousheh told her husband. "We must use our money to help people, especially women and children, to gain the knowledge and the spirit to succeed." Hamid agreed and they began to use the bulk of their fortune for their charity work that focused on the rights of women around the world to succeed, education, and assistance to entrepreneurs. Still, Anousheh never forgot her dream of visiting the stars. When an opportunity came to sponsor the first private venture into space, she convinced Hamid they should do it. Brother-in-law Amir also joined in.
The Ansari X-Prize was the result, a ten million dollar grant to anyone who could build a space ship, pilot it into space, land it safely, and after a few days, do it all over again. This started a huge competition, won finally by Burt Rutan who built SpaceShip One. Anousheh and Hamid were there in the California desert on the day the great space shot was taken. Through her perseverance and support, the spaceflight door was opened at least a little for the people of the world. Still, Anousheh recalled that little Iranian girl's dream, to fly amongst the stars. On the day of the X-Prize flight, she begged Burt Rutan to let her take one of the empty seats. The gruff Rutan was appalled. "I would lose my license!" he cried. Anousheh was undaunted.
Anousheh during celebration for Ansari X-PrizeWhen Anousheh heard the Russian Space Agency was willing to fly private citizens into space aboard their Soyuz capsules for a price of twenty million dollars, she wanted to go. But Hamid thought it was too dangerous. Also, other Iranian men told him he was a fool to let his wife do such an audacious thing. In the end, Hamid loved her so much he agreed to fully support her in what seemed her impossible quest.
Anousheh approached the Russians but they resisted the idea of a woman in their program. Grudgingly, they finally agreed to let her come to Star City outside Moscow but only to train as a back-up, not to fly. Anousheh worked harder than anyone there and, after initial reluctance, won most of the Russian training team to her side. A couple of weeks into her training, the swim coach sought her out. "Anousheh, you must try the sauna!" Anousheh had looked at the sauna and it was a poor, dilapidated thing. She kept making excuses. Finally, the coach persisted and Anousheh found herself wearing only a towel in the company of a half-dozen, sweating old Russian men. They looked at her like she was a space alien but she smiled and sat down. "How did you like it?" the coach asked afterwards. "It was . . . great!" she gamely replied. Grinning, he made a check on his clipboard. "I think you should go into space. You are the bravest woman I have ever known! Not one NASA astronaut has ever been willing to go into that sauna, not even the men!"
Although Anousheh had won over most of the trainers, the American astronauts training in Russia snubbed her because they believed she was just a crazy rich woman who wanted a joy ride. The Russian cosmonauts were also uncertain what to make of this cheerful, energetic woman with the big grin. Then she met the veteran cosmonaut Mikhail "Misha" Tyurin. "I think you can be a cosmonaut or anything you want," he told her after they had trained in a space capsule and she had done everything perfectly. "If it was up to me, we would fly together." Sadly, it wasn't up to him but the faceless bureaucrats behind the scenes, both Russian and American.
During a water landing exercise, Anousheh was with a cosmonaut who became seasick inside a bobbing, cramped, very hot Soyuz capsule. "If they find out I got sick," he told her, "they won't let me fly." She replies, "Look, we can do this. I'll tell them it was me who was sick." With Anousheh working extra hard, they accomplished the procedures successfully and the word quickly spread within the cosmonaut ranks: Anousheh is someone who deserves to go into space.
Anousheh kept going, persisting through arduous centrifuge training, survival training, and zero-G flights. Then, three weeks before he was supposed to go into space, a Japanese man in the program fell ill. Without any other spaceflight participant trained, the Russians had to let Anousheh have his seat.
Cosmonaut AnoushehThen it sank in to Anousheh. There were only three weeks until flight! No astronaut or cosmonaut had been assigned so late to a spaceflight. It was outrageous, amazing, and wonderful all at once. Suddenly, it seemed as if everyone in the world wanted to know everything about her.
All did not go smoothly. During an interview, one of her crewmates, American Astronaut Michael "L. A." Lopez-Alegriapublicly stated he didn't think she was qualified to go into space. Luckily, her other crewmate was in her corner: her cosmonaut friend Misha!
For the next three weeks, Anousheh expected at any time to be kicked off the flight. She heard American officials were working behind the scenes to have her replaced because they feared she would cause an international incident with Iran. She also got in trouble when she wanted to have the Iranian flag on her spacesuit. NASA complained about it and the Russians ordered her to remove it. This Anousheh did, although she sneaked in some personal shirts with the Iranian and American flags on them. She was an American and felt no loyalty to the Iranian government but she still loved the Iranian people. This was her way of honoring them.
On September 18, 2006, just six days after her 40th birthday, Anousheh went through the uncomfortable pre-flight requirement of having skin samples taken from every part of her body. She was then put on display like a lab rat in front of a glass window while reporters took snapshots. But, during all this, a wonderful thing happened. Her sister and mother came to see her off and then, to her astonishment, there was her father, too. She was happy her dream had brought her family together to cheer her on and pray for her. That night, in her room, she looked into the darkness and saw the reflection in her window of that little Iranian girl who once dreamed on a balcony while looking up at the stars. "Is it worth it?" she demanded of the little girl. "Is it worth all this just so you can have your dream?" The little girl replied with a grin as big as the moon and Anousheh knew it was worth it, indeed.
The next day, atop a Soyuz rocket, essentially an old intercontinental ballistic missile meant to carry nuclear warheads, Anousheh took off with crewmates L. A. and Misha, bound for space and the International Space Station.
Once in orbit, Anousheh was so happy she cried. She spotted what appeared to be a diamond floating in the air and realized it was one of her tears. It floated to the porthole and, in the sunlight, made a beautiful rainbow. Anousheh unbuckled herself and began to learn to fly around the tiny module. L. A. watched her antics with a professional astronaut's critical eye. That night, she slept in a sleeping bag hanging from the ceiling like a bat. She called it her "Bat Sack" and switched on her iPod. She was having a ball! But the next day, disaster struck, Anousheh fell victim to space sickness, a combination of nausea, vomiting, headache, and horrible back pain. For two days, she tenaciously fought her way through it. When the spacecraft docked at the International Space Station, she was recovered and ready to enjoy space. In spite of himself, L. A. was impressed.
Anousheh flies about the Int'l Space StationVery quickly, Anousheh filled the gray interior of the space station with the bright colors of her personality. Before the bemused eyes of the professional astronauts and cosmonauts on board, she began to fly through the station like a joyful bird. Gradually, their amusement turned into respect. After all, she held more patents than anyone on board, had built a successful business based on her engineering expertise, and had funded the X-Prize!
Anousheh would spend eight days aboard the station. Finally, L. A. came to her and told her he thought she belonged in space, and that maybe more people like her should come. "That is my dream," Anousheh replied, "that anyone who wants to can come and live and work up here."
Whenever she could, Anousheh watched the beautiful Earth turning beneath her. She dreamed of having the leaders of the world come to share her platform so they could see the world as it really was. "Here," she told a reporter during an interview, "they would see no borders, just one world, the only world we have. It must be protected from harm."
Determined to share her experience, she sent e-mail blogs from orbit to her web site (www.anoushehansari.com). Her missives were so personal in nature, so unlike anything ever written from space, they began to capture international attention, and quickly built a huge audience.
By the time Anousheh climbed into a Russian spacecraft to crash back into the atmosphere, more than twenty million hits had thundered into her server from fascinated readers from all over the world, including many from her native Iran.
Anousheh's triumph continued until it was time to return. Her capsule struck the atmosphere hard. She felt like she was riding a shooting star. When she landed, the world had a new star, indeed. But Anousheh had landed on Earth in more ways than one.
She looked from the capsule and was blinded by flashes of light. Everyone was taking photographs rather than getting her out. She felt like a trapped, caged animal. They finally pulled her free, wrapped her in a blanket and carried her to a chair. Reporters and photographers began to swarm around her like locusts.
Then she heard a familiar voice from behind her. "Anousheh, I am here!" It was Hamid. She was so happy to hear his voice! She called out to him, “Hamid, please come and hold me.” It was then she realized what everything she'd done had really meant. It was love that had made it all possible, her love of the stars, yes, but, more importantly, her love for her husband and family and the people who'd helped her along the way. Hamid rescued her and took her back to Texas.
Anousheh and Hamid after landingAnousheh still lives in Dallas. She has become an international icon, in demand across the world from people who want to know more about her story. She speaks to students and teachers to inspire them toward greatness. She is also building a new company and investing millions in enterprises to give people hope for the future. Yet, that little Iranian girl within sometimes still makes her presence known. With a sigh, Anousheh puts down her work and goes outside and looks into the night sky, her eyes wandering amongst the stars, longing to return to a place she now thinks as her other home.
* My Dream of Stars (published by Palgrave-McMillan in Spring, 2010)
** Homer Hickam is the author of the #1 New York Times memoir Rocket Boys (made into the Universal Studios motion picture October Sky) plus many other fine books including his most recent best-seller, Carrying Albert Home (www.homerhickam.com).
Published on February 27, 2017 09:00
January 4, 2017
Why do miners mine coal?
Or why mine coal at all?
Coal is a natural resource. It is packed with energy from ages past. When it is burned, that energy is released. Before there was oil or gas or nuclear or solar or geothermal, coal was THE mass driver of energy. Coal created the modern society of today.
Besides its use for energy, coal can be chemically changed into many products including plastics, creosote, napha, a variety of phenols, medicinal components, fertilizer, ammonia, and a thousand others. It is also required to make steel. Every day, nearly everyone in the world is either warmed by coal, use the electricity produced from it, or, without realizing it, is touched in some way by one of its byproducts.
Coal can be found nearly everywhere in the world. It is most abundant in North America and Russia. The reason for that is complex but has to do with the manner in which ancient forests were covered by the debris of the ages.
As cities and manufacturing plants grew during the industrial revolution in the 19th century, energy was desperately needed. Coal was there and whatever it took to get it, that's what was done. A lot of miners died and got sick but a vastly greater number of people were raised up to benefit from the new industrial age. Miners, for the most part, were politically insignificant.
Most people outside the mining industry who think about coal mining and miners generally think about it and them in the way it and they were in the late 19th and early 20th centuries with picks and shovels and exploding methane and dead canaries and mules. In the 21st century, coal miners in the United States are much different. However, in the rest of the world, they are only a little better off. Russian and Chinese miners work in an environment similar to 1940's USA.
Most people think of coal as that nasty stuff burned for energy or electricity. In fact, there are different grades of coal. The coal used for making electricity is of a different grade than that which is used to make steel. Sometimes, coal that can be used for steel is burned for energy but not vice versa. Much of the coal in West Virginia is steel-making coal.
Modern coal miners in the United States (and here I'm talking about those who go underground which are the minority, most coal being stripped from the surface) essentially work in a computerized underground plant. Their environment is controlled and monitored by the MSHA, a federal agency with much authority and an ability to shut down a mine that doesn't toe its line. MSHA has supplanted unions and forced modernization and safety to a remarkable degree on the coal mining industry.
American underground coal mines are marvels in efficiency. To work in them, American coal miners are thoroughly trained. The equipment they use, the computers they operate, the geology they learn, all are astonishingly complex. They are paid accordingly. Pay for experienced miners is in the $75,000 - $125,000 range and upwards. It should be easy to understand why such trained and experienced people don't want to go into a different profession and start anew.
Coal mining is far from the most dangerous profession in the United States. Logging, fishing, garbage pick-up, truck driving, farming, and construction kill many more workers. Water sprays and face masks, all required by MSHA, will hopefully decrease the amount of black lung in the future.
So what about the hopeless, hapless people of West Virginia interviewed by various news agencies? What are we to do with them? After all, they take drugs (mostly prescription), are unable to speak a single sentence without a double negative, and wallow in squalor.
Well, here's the truth. They don't represent that many West Virginians. They are in the minority. They should be cared for as best we can but their children have to go somewhere else. The coal business is going to wax and wane. But no matter what happens, the demand for coal miners is going to diminish. Every day, underground mines become more automated. Ten men can do now what hundreds did when I lived in Coalwood, West Virginia, and watched those long lines of miners trudging along the road that led to the coal mine, greeted by their fellows from the shift before them trudging back home. My father began the automation that ultimately would destroy the town he loved.
There is somewhat of a solution, however, for those who want to stay in that beautiful region. West Virginia is the poster child for sending its treasure out of state. If even a small percentage of the riches from coal had been collected for its people over the decades, everyone in the state would be rich and be able to pass it along for future generations. It wasn't. The treasure of West Virginia ended up in New York and Washington and Los Angeles and all the big, rich places. We hope you've enjoyed it.
For now, coal must be mined. It is a valuable resource and the people who do it should be paid accordingly and allowed to work. But, better late than never for West Virginia and all coal mining states, its treasure should not just be shipped out without a tax. A percentage of every ton of coal mined should be stripped off and returned to the state and its people so that they might create for themselves a new future, free of welfare, drugs, and everything else of the dependent culture.
And that's all, for now, I have to say about that.
Coal is a natural resource. It is packed with energy from ages past. When it is burned, that energy is released. Before there was oil or gas or nuclear or solar or geothermal, coal was THE mass driver of energy. Coal created the modern society of today.
Besides its use for energy, coal can be chemically changed into many products including plastics, creosote, napha, a variety of phenols, medicinal components, fertilizer, ammonia, and a thousand others. It is also required to make steel. Every day, nearly everyone in the world is either warmed by coal, use the electricity produced from it, or, without realizing it, is touched in some way by one of its byproducts.
Coal can be found nearly everywhere in the world. It is most abundant in North America and Russia. The reason for that is complex but has to do with the manner in which ancient forests were covered by the debris of the ages.
As cities and manufacturing plants grew during the industrial revolution in the 19th century, energy was desperately needed. Coal was there and whatever it took to get it, that's what was done. A lot of miners died and got sick but a vastly greater number of people were raised up to benefit from the new industrial age. Miners, for the most part, were politically insignificant.
Most people outside the mining industry who think about coal mining and miners generally think about it and them in the way it and they were in the late 19th and early 20th centuries with picks and shovels and exploding methane and dead canaries and mules. In the 21st century, coal miners in the United States are much different. However, in the rest of the world, they are only a little better off. Russian and Chinese miners work in an environment similar to 1940's USA.
Most people think of coal as that nasty stuff burned for energy or electricity. In fact, there are different grades of coal. The coal used for making electricity is of a different grade than that which is used to make steel. Sometimes, coal that can be used for steel is burned for energy but not vice versa. Much of the coal in West Virginia is steel-making coal.
Modern coal miners in the United States (and here I'm talking about those who go underground which are the minority, most coal being stripped from the surface) essentially work in a computerized underground plant. Their environment is controlled and monitored by the MSHA, a federal agency with much authority and an ability to shut down a mine that doesn't toe its line. MSHA has supplanted unions and forced modernization and safety to a remarkable degree on the coal mining industry.
American underground coal mines are marvels in efficiency. To work in them, American coal miners are thoroughly trained. The equipment they use, the computers they operate, the geology they learn, all are astonishingly complex. They are paid accordingly. Pay for experienced miners is in the $75,000 - $125,000 range and upwards. It should be easy to understand why such trained and experienced people don't want to go into a different profession and start anew.
Coal mining is far from the most dangerous profession in the United States. Logging, fishing, garbage pick-up, truck driving, farming, and construction kill many more workers. Water sprays and face masks, all required by MSHA, will hopefully decrease the amount of black lung in the future.
So what about the hopeless, hapless people of West Virginia interviewed by various news agencies? What are we to do with them? After all, they take drugs (mostly prescription), are unable to speak a single sentence without a double negative, and wallow in squalor.
Well, here's the truth. They don't represent that many West Virginians. They are in the minority. They should be cared for as best we can but their children have to go somewhere else. The coal business is going to wax and wane. But no matter what happens, the demand for coal miners is going to diminish. Every day, underground mines become more automated. Ten men can do now what hundreds did when I lived in Coalwood, West Virginia, and watched those long lines of miners trudging along the road that led to the coal mine, greeted by their fellows from the shift before them trudging back home. My father began the automation that ultimately would destroy the town he loved.
There is somewhat of a solution, however, for those who want to stay in that beautiful region. West Virginia is the poster child for sending its treasure out of state. If even a small percentage of the riches from coal had been collected for its people over the decades, everyone in the state would be rich and be able to pass it along for future generations. It wasn't. The treasure of West Virginia ended up in New York and Washington and Los Angeles and all the big, rich places. We hope you've enjoyed it.
For now, coal must be mined. It is a valuable resource and the people who do it should be paid accordingly and allowed to work. But, better late than never for West Virginia and all coal mining states, its treasure should not just be shipped out without a tax. A percentage of every ton of coal mined should be stripped off and returned to the state and its people so that they might create for themselves a new future, free of welfare, drugs, and everything else of the dependent culture.
And that's all, for now, I have to say about that.
Published on January 04, 2017 16:10
November 23, 2016
2016 Homer Hickam Holiday Newsletter
Dear Friends and Readers:
Merry Christmas and Happy Holidays 2016 to all! Our lives have been busy and full and this short newsletter is meant to bring you up to date and also remind you that a Homer Hickam book makes a great gift for the readers in your family. For those who asked about our cats, they're assigned to the shipping department and are busy at this very moment shredding wrapping paper and boxes in preparation for the upcoming gift sales of books!
Knowink Shipping Department Meezers at WorkIt's been Spring since we last wrote to you so I'll just hit the high points. First, we visited our awesome home in St. John in April to decompress a bit from the wonderful book tour for my big International best-seller Carrying Albert Home . We've completely remodeled the pool so enjoying it was a major requirement!
New Skyridge PoolBy the way, Skyridge is available for weekly rental so, when the snows come and the days are short and cold, go here - www.skyridgevilla.com - to imagine what it would be like and maybe decide to come enjoy our tropical home!
The next adventure was my annual trip to Montana to hunt dinosaurs! Glad to say my buddy Frank Stewart found another T.rex! NASA Al English also joined us on this one and brought us luck.
Homer and NASA Al with Frank's T.rex findHave you read my novel The Dinosaur Hunter ? It's a mystery novel set in today's Montana. Not only is it, as the Washington Post called it, "a smart, sexy novel" (absolutely not a kid's book), I sneak in a little on how to find dinosaurs and what it all means - you know, life, death, and all that kind of thing. Linda has a Holiday special on it so from now until Christmas, buy The Dinosaur Hunter or Red Helmet (each are $25) and get as a gift, your choice of Paco the Cat Who Meowed in Space OR From Rocket Boys to October Sky ! A $10 value! As many as you wish!! Both signed as you please and autographed of course. Solve your shopping list quickly in a very meaningful and special way with my autographed books. www.homerhickam.com/bookshop
The Dinosaur HunterLinda and I also ventured to Iceland in September with our dear friends the Mountain Marauders and had a most prodigious time! I'll be writing a book about that most excellent journey tentatively titled Iceland Full Circle so keep an eye out for that one in 2017!
Linda, Homer, and Albert in IcelandWorking with Dr. Alan Stern, I also completed a screenplay based on the life of Clyde Tombaugh who discovered Pluto. Titled Clyde's Planet, it's making the Hollywood rounds now. Producers, please contact my agent Brian Lipson at IPGLM.
We also went up to West Virginia for the annual Rocket Boys Festival (www.rocketboysfestival.com). Besides original Rocket Boys Roy Lee, O'Dell, and Billy, we were joined by the marvelous Chad Lindberg who played O'Dell in the movie. He was great and we surely enjoyed getting to know him again!
Chad and HomerSpeaking of West Virginia, have you read Red Helmet yet? It's also a mystery (and very romantic) novel, this one set in modern-day West Virginia coal country. Publisher's Weekly said, "The latest from Rocket Boys author Hickam takes an inside look at coal mining, from shoveling gob to negotiating international trade deals, through the lens of modern romance." I think you'll like this one a lot! And it is part of Linda’s special to get a free gift book worth $10 when you buy it through Christmas.
Red HelmetAnd of course, how can I talk about books without again mentioning Carrying Albert Home: The Somewhat True Story of a Man, His Wife, and her Alligator? "Albert" is a national best-seller and, in translation, hit #1 in Britain, France, and Italy! Next to Rocket Boys (forever a best-seller), it is my most popular book. Hope you'll include it on your Christmas list, too! Buy an autographed copy here. (http://homerhickam.com/product/carrying-albert-home-2/)
Carrying Albert HomeHappy Holidays to all of you. May there be Peace on Earth.
From the Hickams in Huntsville, Alabama, Ho Ho, and all the cats who own them!!
Note from Linda:
BOOKS AUTOGRAPHED AND PERSONALIZED BY HOMER HICKAM AVAILABLE BY MAIL Homer's many books can be personalized, autographed and mailed to you! Great gifts for Christmas, birthdays, Valentine's Day, Mother's Day, special teacher, Father's Day, graduation and more!! If you want inscriptions on them, remember to add that in the appropriate area in my store order form.
If you do not have PayPal, you may send it THROUGH Paypal or send a check. Be sure to include any inscriptions desired and your mailing address to:
Linda Hickam
4906 Whitesburg Dr. S
PO Box 16053
Huntsville, AL 35802
Books mailed when payment received, so PayPal is quickest!
Thank you, have a great 2017!
Linda Hickam
Published on November 23, 2016 07:53
October 17, 2016
Homer (David) vs. COMCAST (Goliath) print
After discovering my battle with the giant COMCAST movie studio which can't be named, the world famous caricaturist Don Howard stepped up to create a wonderful caricature of the situation. He casts me as David and COMCAST as Goliath.
I can't thank Don enough. With his permission, we're offering this print autographed by Don and me, on our IndieGoGo campaign.
Here's Don's wonderful work of art:
Homer/David vs COMCAST
Go here to find our IndieGoGo campaign.
I can't thank Don enough. With his permission, we're offering this print autographed by Don and me, on our IndieGoGo campaign.
Here's Don's wonderful work of art:
Homer/David vs COMCASTGo here to find our IndieGoGo campaign.
Published on October 17, 2016 13:50
September 22, 2016
The Gate at Skyridge
The Gate at Skyridge When we became the owners of the house and property we came to call Skyridge in St. John, U.S. Virgin Islands, it had no gate at the entrance to its driveway which is approximately a mile long (OK, maybe fifty yards) and tilted essentially vertical (it honestly feels that way). Instead of a gate, we found a tangle of ugly orange plastic mesh stretched between two trees. This was, so we were informed, meant to keep the wild donkeys and goats from getting in which was an understandable precaution. The wild donkeys, lovable as they are and icons of the rich history of St. John, are not very good guests because they eat all the flowers within reach of their cute little muzzles and grinding teeth which leaves not only denuded gardens but enormous, stinky poop piles. As for the goats, they also eat the vegetation but have the further habit of falling into swimming pools and drowning. Goat corpses floating in one's pool are not what one wants to wake up to in the morning. The plastic mesh was the previous owner's idea of protecting the property against the armies of donkeys and goats that regularly make forays into the Upper Carolina neighborhood of Coral Bay. That meant every time we wanted to go anywhere, I had to hike down the driveway and pull the mesh back and then, after driving the car through, get out and stretch it across the driveway again. When we returned, the process had to be done in reverse, pulling the mesh back, driving up the driveway to park, then walking down to pull the mesh across the driveway again and tying it off. Not only did it require the stamina of your average Olympic long-distance runner but the mesh was ugly as sin and, anyway, didn't always work. The donkeys and goats often just hopped over it or mashed it down and came on up to see what they could see and eat what they could eat. That invariably meant many hours of work cleaning up donkey and goat poop, not to mention having to get new plants. Fortunately, no goats drowned after hopping the mesh but chasing them away was a pretty daunting exercise. Far faster and nimbler than any human, they were quite willing to be chased around the house as many times as I was able and still be ready to give it another go. Ultimately, it always took Linda and me in a coordinated effort similar to calling a Hail Mary play in a pro football game to get them headed down the driveway. One morning, even before we had time for a cup of coffee, we looked out from the deck and saw six goats in the driveway, contemplating life and our flowers. We rushed to defeat them. "You go left, I'll go right, yell, clap your hands, and herd them!" I cried as the goats looked placidly on, only reluctantly moving after we came after them. Even when we got them going more or less in the right direction down the driveway, they simply scattered into the trees, there to meander and giggle to themselves while probably also calculating how they might get into the pool to drown. Eventually, we got them down the driveway and I pulled the mesh tight. Hot and sweaty, I climbed back up the driveway to sit down on the steps and give the problem some thought, not the immediate goat problem but the problem problem. After a bit, I proudly announced to Linda my solution. "What we need is a gate!" "We have a gate." "That's a strip of mesh. I mean a real gate. You know, built out of maybe aluminum. With real hinges so it swings open and closed." "Sounds expensive," she said. "It will also be expensive when I die of a heart attack going up and down the driveway or we have to drain the pool to get out a dead goat." She pondered that. "It would have to be a pretty big gate and you'd still have to go up and down the driveway to open and close it." "No I wouldn't. I'll get an automatic gate opener." I cracked open my laptop and showed it to her, a tubular device bolted to a fine looking gate. A man and a woman were standing beside it. They were smiling and looking generally ecstatic about their gate and its opener. "Behold," I said grandly, "the Heaving Horse, the finest little gate opener in all the land." Linda peered over her reading glasses at the screen. "The Heaving Horse?" "That's its name." "Is that really its name?" "You betcha." Note to readers: It's not actually its name but I'm just trying to be nice here. "I know a fellow who will build the gate for us," I went on. "I don't know . . . " "Oh, come on. You worry too much. Trust me, it'll be great!" Linda arched an eyebrow but then nodded her assent and, before long, that fellow delivered up a fine big aluminum gate hung on a steel post. I was so proud. "I thought there was going to be an automatic gate opener," Linda said from the car as I trudged down the driveway to swing open our fine new gate. "The Heaving Horse has been ordered," I said over my shoulder. "I will install it the next time we come down." Indeed, just as I claimed, after we returned to Huntsville, the Heaving Horse arrived in a package. I peeked at it, saw it looked exactly as it did on the company's website plus also a black box filled with electronics and some power cordage. I didn't read the instructions in its thick manual. I was confident I would figure it all out when I got back to St. John. When we next arrived, I got busy installing the Heaving Horse. My buddy Wayne came over and inspected the assembly. "Where's the battery?" he asked. "We don't need a battery," I said. "We'll hook it up to the house power." "I think it has to operate off a battery. Look there in the control box. See that slot? That's for the battery." I shook my head and triumphantly held up the power cord coming out of the box. "This takes AC power. See? It says right here in the manual. Or at least, that picture shows it." Wayne took the instructions away from me and stared at the picture, then read the words beneath it. "Homer, what the electronics does is take the AC power to pump up the battery, and then the battery opens and closes the gate." I thought that was a strange design and said so. "Why use a piddly little battery when you have the entire grid to open and close the gate?" "Because if you lose power, the battery will still do the job." Unhappily, Wayne made sense. Also unhappily, the battery, naturally a very specialized one, was not included in the package. "I think I might be able to get one in St. Thomas," Wayne said. "But I won't know for sure until I get over there and start looking around." I approved Wayne's trip the next day to and fro St. Thomas to see if he could procure the battery. As I hiked down the driveway to open the gate, Linda called out, "Why isn't the Heaving Horse working?" "Technical difficulties," I said. At the bottom, I swung open the gate. It rotated easily on its brand new hinges. I loved how easily it swung. It was also good looking, too! I started to walk up the driveway but just as I turned to make the climb, the gate pushed up against my back. Astonished, I turned around and pushed it back. It swung easily and where I stopped it, it stayed. I pushed it another foot and it stayed. Then I pushed it another foot and it still stayed. Then I pushed it wide open and it didn't move. What, I wondered, had made it swing shut? Puzzled, I turned my back on it again and started up the driveway. I didn't take a step before I heard a creak and turned around just in time to keep the gate from hitting me in the back again. I hiked up the driveway, got a length of wire, and, with Linda watching me from the car with a lot of unvoiced questions, hiked back down and this time I wired the gate open. Back up I went and got in the car. Linda could stand it no longer. "Why did you go back down the driveway?" "To wire the gate open." "It won't stay open on its own?" "Yes. I mean, no. It's complicated. It will all be solved when Wayne brings the battery for the Heaving Horse. Then, we'll just use a clicker." I added my usual promise. "It'll be great!" "I'm sure," she said but it sounded like to me that she wasn't sure at all. Clearly, I would just have to show her. Wayne came back the next day with the proper battery and we inserted it into the control box and used some wire straps to hang the box to the gatepost and then Wayne hooked up the electricity. The circuit board happily lit up with some lights, some green and some red. I didn't know what they meant but I was confident I could figure it out. We bolted the Heaving Horse to its hinge on the post, then drilled out the bottom of the gate to receive the Heaving Horse piston, then ran the power and control wires into the Heaving Horse control box. After that, I got out the manual and looked at the pictures and fiddled with the little dials in the control box to set how long the opener would stay open and what kind of sensitivity it would have in case the gate ran into anything. All was in readiness. Confidently, I clicked the clicker remote. Nothing happened. I clicked it again. And again. Then again. The Heaving Horse sat immobile with apparently no plans to ever move. "It doesn't work," Wayne said. "I know that, Wayne, but why?" "Did you read all the instructions?" "Of course," I lied. Unfortunately, that was when Linda decided she needed to go somewhere in Dosie (our Suzuki Sidekick) so down she came, skidding to a stop before the closed gate. "Open, please," she said, keeping her foot stomped on the brake lest the steep incline cause the car to fall through the gate onto the road below. Honestly, it's that steep. Since the Heaving Horse was frozen, this required us to unbolt it from the gate while standing on the incline which meant if we dropped a screwdriver, it would roll for miles. Nonetheless, we persevered until finally, with some arduous effort, we swung the gate open, the Heaving Horse left dangling from its hinge like a freshly broken arm. Linda let off the brake and Dosie rolled down and then she sped off. We bolted the Heaving Horse back to the gate and I went back to puzzling over the instructions, this time trying out some of the words beside the pictures. "Well, I'll leave it to you," Wayne said after watching me read for a while. Absently, I waved him away and he headed off, no doubt grateful to get away from the Heaving Horse and me and the thick manual. Over the next two hours in the heat and the bugs and the tilted driveway where I could barely stand, I tried everything the manual said I should do and everything I could think of beyond. I fiddled with the dials, turned the box off and on at least a dozen times, unhooked the battery, rehooked it, and kept clicking the clicker. Nothing worked. In desperation, I turned to the troubleshooting pages where it had such wonderful advice as Does it have power? If not, turn on the switch. No, not that way, you moron, the other way. Actually, it didn't say that but kind of implied it. Finally, I had to admit defeat. When Linda arrived and beeped Dosie's horn, I once more went through the arduous process of unbolting the Heaving Horse so as to swing open the gate. "Doesn't it work?" she asked, either oblivious to the obvious answer or some sort of vile attempt at malicious humor. I was too tired to care. I had tools strewn everywhere, my tee shirt was soaked with sweat, my feet hurt from standing on the precipice that is the driveway, and I was done in.
Linda and Dosie wait for me to fix the gate"Doesn't it work?" Linda asked again. "Not yet," I said. "Why not?" "Technical difficulties." She smiled - this time I was certain it was a triumphant, nearly malicious smile - then drove up the driveway while I began to pick up my tools. I figured to give it a night and hit it fresh in the morning. As I bent over to pick up a pair of pliers, I heard a whirring sound and looked up just in time to be hit square in the forehead by the gate which was being pushed with all its might by the Heaving Horse suddenly come alive. As I fell backwards, my thought was, "It works!" This rather triumphant thought was, however, soon followed by another thought after I landed on the concrete. "Ouch! Ouch! Ouch!" The gate swung on, the base of it hitting one of my splayed feet, turning it painfully over, then heedlessly proceeding until it slammed into the post on the other side at which time it bounced back and started to close or, as I thought of it, came after me for a second try on my life. I scrambled out of the gate's way and watched as it swung until it slammed against its hinges, almost tearing them off. Unbelievably, even with an awful shriek accompanied by flying bolts and nuts, it started to open again. Crawling with bloody knees, I got out of its way, scrambled to the control box, and hit the rocker switch to turn off the power. The gate froze except for an odd trembling from what appeared to me excitement from its near-murderous rampage. For a long time, I sat bleeding on the driveway contemplating the gate while I gathered myself. When my gathering was completed, I collected my tools and limped up the driveway. "Tomorrow," I said to myself. "Tomorrow. I will fix the gate tomorrow." In the meantime, a wet washcloth and some antibiotic ointment sounded like just the ticket for my external wounds and perhaps some rum for my internal ones. Just as I got to the top, I heard a truck at the bottom of the driveway. It was Romney the gardener. I limped back down to disconnect the Heaving Horse opener arm and swing open the gate. Perhaps observing my bloody knees and other scratches and contusions, Romney asked, "Wha' hoppened to you, mon?" I told him about the gate. He looked at the gate, looked at the Heaving Horse, and took a step back. Then, he took another one. "Oh, mon," he said. "What?" "You know there be somthin' wrong down here." "There sure is. I can't get my gate to work . . . yet." Romney shook his head. "You don't know about it? You don't . . . feelit?" "Feel what?" "This place, right here at the road, it's cooler than anywhere else around here. You never noticed that?" I looked around. "Well, there's plenty of shade," I said indicating the overhanging trees. "That's not it, mon!" Romney scolded. He came nearer and whispered, "Maybe a jumbie here." "A jumbie?" Romney put his finger to his lips in a warning for me to be silent, then climbed in his truck and drove it up the driveway, leaving me to puzzle over the situation. It was a bit cooler at the bottom of my driveway, now that he'd mentioned it. I looked at the gate. The gate looked at me. Was there a jumbie in my gate? The gate smiled. No, it grinned. An evil grin. It really did. I narrowed my eyes and set my mouth.
The battle had begun.
Note: The Gate at Skyridge has its own Facebook page now, don't ask me why. To engage with it, please go here: https://www.facebook.com/TheGateatSkyridge/ Proceed at your own risk.
Donkey at Gate
Published on September 22, 2016 10:10


