Paul Gilster's Blog, page 86
May 14, 2019
Breakthrough Starshot: Early Testing of ‘Wafer-craft’ Design
Recent tests of a ‘wafer-craft’, an early prototype for what may one day be the ‘starchip’ envisioned by scientists involved with the Breakthrough Starshot project, have been successful. The work grows out of a NASA-funded effort led by Philip Lubin (UC Santa Barbara), whose investigations into large scale directed energy systems began in 2009. Lubin went on to perform multiple studies for NASA’s Innovative Advanced Concepts program developing the idea that would become known as DEEP-IN (Directed Energy Propulsion for Interstellar Exploration). His NIAC Phase 1 report studied as one option beamed propulsion driving a wafer-scale spacecraft.
Renamed Starlight, the proposal went on to Phase II funding as well as support from the private sector. A subsequent review by Breakthrough Initiatives led to endorsement of the concept within its Breakthrough Starshot effort. Breakthrough is devoting $100 million to studying the viability of sending a ‘starchip’ to a nearby star such as Proxima Centauri, a mission that, moving at 20 percent of lightspeed through laser-beamed propulsion, would arrive at its target within 20 years as opposed to the tens of thousands of years required for chemical propulsion.
But back to that prototype wafer-scale spacecraft, whose launch was conducted in collaboration with the United States Naval Academy. The craft rose into the stratosphere above Pennsylvania via balloon on April 12, 2019 — the 50th anniversary of the Gagarin flight — reaching an altitude of 32 kilometers. The test is part of what Lubin calls “a long-term program to develop miniature spacecraft for interplanetary and eventually for interstellar flight.”
Nic Rupert, a development engineer at UC Santa Barbara, describes the wafer-craft in its current incarnation:
“It was designed to have many of the functions of much larger spacecraft, such as imaging, data transmission, including laser communications, attitude determination and magnetic field sensing. Due to the rapid advancements in microelectronics we can shrink a spacecraft into a much smaller format than has been done before for specialized applications such as ours.”
Image: An artist’s concept of the wafer-craft. Credit: UC Santa Barbara.
The good news is that the chip performed exceptionally well, returning over 4,000 images of Earth by way of testing what may eventually emerge as a space technology that could turn interstellar. The process is iterative, working with off-the-shelf components that can be pushed to increasingly difficult conditions that will test the wafer-craft’s viability under extreme conditions of temperature and radiation, as well as its potential to survive impact with dust particles.
In other words, to get to ‘starchips,’ we must first get to ‘spacechips,’ and that begins with balloon flights well within the atmosphere to shake out early data on performance. The goal: A one-gram chip that contains within itself a functional spacecraft. At UC-Santa Barbara, an undergraduate group drawing on students from physics, engineering, chemistry and biology is conducting the balloon flights that may result in future, mass-produced interstellar probes.
This news release from UC-Santa Barbara notes that the ramping up of testing points to a suborbital flight next year. Early applications of the technology should involve missions closer to home; indeed, a laser beaming infrastructure would have applications for fast interplanetary travel as well as planetary defense against asteroids and other space debris. Thus testing funded by NASA and private foundations examines the viability of miniaturized spacecraft that, given the beaming resources, could one day give us a close-up look at Proxima Centauri b.
For more on the Starlight effort, visit its website.
Tomorrow I’ll keep the focus on fast interstellar missions in the form of some interesting ideas from a paper by Bing Zhang, an astrophysicist from the University of Nevada, on what he is calling ‘relativistic astronomy’ and its possibilities on the way to distant destinations.





May 10, 2019
Europa’s Oxygen and Aerobic Life
Few destinations in the Solar System have excited the imagination as much as Europa. Could a deep ocean beneath the ice support a biosphere utterly unlike our own? If so, we could be looking at a second emergence of life unrelated to anything on Earth, with implications for the likelihood of life throughout the cosmos. But so much depends on what happens as Europa’s surface and ocean interact. Alex Tolley, a fixture here on Centauri Dreams, today looks at new work suggesting the deeply problematic nature of Europa’s ocean from the standpoint of astrobiology. He also offers an entertaining glimpse at what Europa might become.
by Alex Tolley
Image: Plume on Europa’s Surface. Credit: NASA
With the abundance of newly discovered exoplanets, a fraction of them being both rocky and in their habitable zones (HZ), the excitement at finding life on such worlds is increasing. Given the ambiguous results of the attempt to detect life on Mars with the Viking experiments in 1976 and the subsequent NASA missions to look for proxies rather than direct detection, it is only to be expected that astrobiologists turned their attention to these exoplanets.
We tend to think of life primarily in terms of metazoa rather than unicellular organisms, so the search for life generally focuses on finding evidence of free oxygen (O2), even though aerobic metazoa only appeared on Earth within the last billion years. But detecting proxies for life is not the same as studying it directly. Therefore a search for metazoa in our own solar system would offer the opportunity to sample extraterrestrial life well before we get such an opportunity from an exoplanet.
The discovery of ecosystems in the near lightless abyssal depths of Earth’s oceans around “hot smokers” has stimulated new hypotheses concerning abiogenesis and extended the known environments for extremophile life. Anaerobic bacteria feeding on the chemical brew from the vents become the primary food of aerobic metazoans living around these smokers. On Earth, all but a few metazoa are aerobic [5], as the higher energy from this mode of respiration allows faster growth and reproduction, as well as active behaviors. With the discovery that some icy moons around Jupiter and Saturn have subsurface oceans and active geologies, it seemed possible that these moons might harbor life too, and therefore offer a local, solar system destination to discover life and return samples. Because terrestrial metazoans are aerobes, the presence of oxygen in the icy moons would be a positive indication that there may be metazoan life forms as well as microbes.
Of the icy moons that might have oxidizing oceans Europa is the clear favorite.
Fictional Interlude 1
The Europa Oxygen and Life Surveyor (EOLiS) probe swung by Europa. Earthside Mission Control had done all it could to ensure the craft had successfully reached its target for orbital insertion. At 13:31:07 UTC the lander released itself from the orbiter, deployed its own magnetic radiation shield, and fired its braking rockets. Now the lander’s onboard AI became fully autonomous as it guided the craft towards the preselected surface destination, fusing its sensor data, radar and vision, to locate its surface landing point. The mother craft would remain in orbit and release 4 more communication relay satellites to maintain uninterrupted communications with Earth. The lander quickly reached the surface, mere meters from its preferred landing spot, and in the smoothest terrain within its target radius.
One of the mission objectives was to determine the depth profile of oxidants in the surface ice, a key variable for the oxygen levels in the subsurface ocean, and a factor for the evolution of metazoa. A nuclear fission-heated probe slowly melted its way down through the ice. Measurements of free O2, H2O2, and other oxidizing molecules were continually taken. Initial readouts indicated that the very high oxygen levels on the surface were not maintained below a few meters of the surface.
After 60 orbits around Jupiter, the lander had transmitted its findings back to mission control. Oxygen was mostly in the top meter of ice and snow, but in much lower concentrations down to at least the 3 kilometers its probe had penetrated. Despite this, the oxygen levels were still of the order of grams per cubic meter of ice. The planetologists inferred that the Europan ocean was likely still anoxic. The astrobiologists had to content themselves that maybe anaerobic microbes were still possible. The lander had performed well in its primary mission, so the extended mission included boring down to the base of the surface ice and into the ocean below.
Fact
Europa’s surface ice is subjected to about 0.125 W/m2 of ion radiation, radiolytically producing oxygen on the surface and a very thin atmosphere (the mechanism shown in figure 1).
Figure 1. A simplified sequence for radiolytic production and destruction of water, H2O2, and molecular oxygen. Some H2O2 and O2 become sequestered below the heavily processed surface. UV, ultraviolet. [Hand et al – [3]]
Hand estimated up to 7.6% oxidant contaminants in the surface ice, and up to 53% of the surface in the form of clathrate cages containing oxygen and other oxidants [3]. Most important for life is this trapping of oxygen that might find its way to the subsurface ocean. The relatively young surface of Europa is criss-crossed by ridges due to liquid or slush being pushed up from below, freezing and overlaying the surface. These clathrates would descend and oxygenate the subsurface oceans due to the resurfacing. The base of the ice crust melts into the ocean, a cycle that takes between 20 and 500 million years.
Hand’s estimates placed the rate of production of O2 at 2E-7 to 8E-7 kg/m2/yr.
Greenberg was very much more positive about ocean oxygenation, suggesting that the oceans could reach Earth levels of O2 saturation (around 10 mg/L) well within the rapid resurfacing rate times for the clathrates to reach the oceans, in about 10 million years [6].
In 2016, Vance and Hand continued to use Hand’s earlier O2 production rates of 3E-7 to 3E-4 kg/ m2/ yr.
These estimates were based on assumptions about how the tenuous atmosphere was maintained. If it was primarily due to radiolysis, then subsurface radiolysis to produce O2 would result in trapping of the O2 for transport to the ocean. This would support the calculations by Vance of a rapidly oxidizing ocean that could support aerobic life, if not a rich as Earth’s, then at least within striking distance of abyssal life density.
These estimates may have been optimistic.
In recent papers [1,2], R E Johnson and A Oza call into question this model. They simulate the atmosphere and find that the best explanation for the atmosphere is thermal release of the O2 from the surface ice by desorption. This implies that far less O2 is trapped in the ice grains that can be subducted to the oceans.
Johnson:
This assumes that Europa’s ice regolith is permeated with trapped O2, which could also affect our understanding of the suggestion that the radiolytic products in Europa’s regolith might be a source of oxidants for its underground ocean.
While the O2 is produced within the top meter of ice, gas diffusion prevents loss of O2, and regolith subduction and mixing draw down the O2 into the lower depths. Gardening only allows mixing to about 10 meters, but resurfacing due to upwelling at the ridges results in the O2 to be drawn down to the base of the ice sheet and enter the oceans below on timescales of tens to hundreds of billions of years.
Johnson et al:
Although direct diffusion to the depth of the ocean is likely problematic, geologic mixing and subduction of oxygen rich ice has been suggested as a possible source of oxidants for putative ocean biology.
Oza and Johnson’s previous paper [2] estimated production of O2 on Europa was just 0.1-100 kg/s, or about 3E6 to 3E9 kg O2 /yr (Earth year) or 1E-7 to 1E-4 kg/m2/yr. Their mechanism is explained in figure 3 below. They argue that thermally desorbed O2 from the ice best explains the atmospheric dynamics over a Europan day, and therefore the O2 at depth is less than previous estimates and models suggest.
Figure 2. Schematic diagram of O2 trapping and thermal desorption: 1) Primary origin of O2 (and H2) is magnetospheric ion radiolysis. 2) Due to preferential loss of H2, the regolith becomes oxygen rich enhancing the production of O2. Formed and returning O2 can become trapped at incomplete (dangling) H bonds (shown) as well as in voids (as shown and observed by Spencer & Calvin 2002). 3) The accumulated O2 can then be thermally desorbed from the weak dangling bonds due to solar heating, maintaining a quasi vapor pressure equilibrium (Oza et al. 2018a), with a smaller gas-phase contribution from direct sputtering of O2. A fraction of the trapped O2. is likely subducted. [Johnson et al – [1]]
Fictional Interlude 2
The probe ran the samples from the bore hole through a battery of molecule and life detectors. While the usual mix of carbon compounds that could be found on any icy body, including comets and asteroids were present, none registered anything definitive for life. Asymmetry in organic molecules’ chirality was absent, as were odd lipid chain lengths. None of the growth experiments registered any change. Like the previous disappointment with Mars, the hopes of the early 21st century astrobiologists to find life in the icy moons were frustrated. Europa had so far proven sterile. Neither was there any unambiguous evidence of prebiotic chemistry.
The top kilometer of ocean below the ice crust proved still rather anoxic compared to the ice above it. The sheer volume of the ocean, plus the reducing nature of the vent emissions kept the oxygen levels well below that of the terrestrial oceans. Coupled with the absence of any signatures of microbial life, it was clear that there could not be multicellular life in that ocean.
While disappointing to the biologists, this finding indicated that there would be no violation of a putative “Prime Directive” should colonization be attempted.
Fact
Whatever the amount of O2 trapped in the ice, it is the production rate of O2 that determines the steady state in a biosphere, even if accumulation can create highly oxic conditions in the oceans suitable for aerobic life to exist.
Therefore the key question is just how much O2 is produced by radiolysis? Let me put that in perspective, given the earlier conclusions, especially the optimistic ones of Greenberg.
On Earth, photolytic O2 production is insignificant compared to that from photosynthesis. Earth’s environment was largely anoxic for billions of years, with aerobic, multicellular life only appearing in the fossil record less than a billion years ago and flowering in the Cambrian as O2 levels increased. This was a result of the evolution of photosynthesis, which is the dominant source of Earth’s O2.
On Earth, net primary production (carbon fixation by photosynthesis minus plant respiration) creates about 3E14 kg O2/yr, or about 0.65 kg /M2/yr averaged over the total Earth’s surface. It is about a tenth as much if all respiration from heterotrophs and saprophytes is included.[7].
Therefore the rate of O2 production on Europa is 3-6 orders of magnitude lower than Earth’s net primary production of released O2. The difference between Earth’s and Europa’s O2 production is somewhat larger than Vance’s suggestion that Europa’s O2 production is about 1% of Earth’s. Therefore, even without any other sinks, Europa’s O2 production is 1/1000th that of Earth, at best, on an area based comparison, and possibly just a millionth at worst. Johnson’s analysis of likely lower O2 concentrations in the surface would further reduce the subduction rate of O2.
The implication for life in Europa is that the production of oxygen via radiolysis is clearly insufficient to replace photosynthetic organisms that produce the oxygen in quantities to support aerobic life on Earth, even those most adapted to low concentrations, such as sessile invertebrates.
While Greenberg has suggested that photosynthetic life might reach just below the surface to add primary production to the oceanic organisms below the surface, it is more likely that if life exists at all, it is going to be anaerobic bacteria, like those of the Archaean in Earth’s history. If that is correct, any ocean vents may have bacteria, but aerobic metazoa will not be present around them as they are on Earth now.
How does this impact the search for life in Europa? If life is either absent or anaerobic, the fanciful suggestion by Freeman Dyson that we might look for fish remains ejected from the ocean is likely futile. As all but a few terrestrial metazoa are aerobic, the lack of significant O2 production seems to diminish any likelihood that Europa hosts large animals as suggested by Clarke [9]:
Suddenly, a vast bulk broke through the surface of the ocean and arched into the sky. For a moment, the whole monstrous shape was suspended between air and water.
The familiar can be as shocking as the strange – when it is in the wrong place. Both captain and doctor exclaimed simultaneously: ‘It’s a shark!’
Image: Europa deep ocean vent visited by a robotic submersible. Credit: NASA/JPL
However, there is the possibility that without a sink via consumption, free O2 could just accumulate over the eons and possibly jumpstart the greening of Europa’s oceans.
The O2 level in Earth’s oceans is saturated around 10 mg/L at 0 degrees C and declines with rising temperatures. Active vertebrates like fish need around 4 mg/L, much more than the 1% saturation required by sessile invertebrates like sponges.
Using Oza and Johnson’s estimated range of 0.1 – 100 kg/s O2 production on Europa by radiolysis, and ignoring issues of reduced surface concentration levels, and other sinks for O2, Europa’s ocean would reach saturation at 10 mg/L in 3 million to 3 billion years. The time required is due to the immense volume of the estimated 100 km deep ocean, 2-3x as great as Earth’s oceans.
However, the rich O2 levels in the ice might range from 0.01 to 10 kg/m3. Melted, this ice would provide for a more than adequate level of oxygen saturation for terrestrial fish. Adding terrestrial life to such lakes would quickly deplete the O2 levels. New oxygen would have to be added by either maintaining a rate of ice melting or adding photosynthetic organisms.
If this analysis is correct, while it seems to rule out a rich aerobic ecology today, it does not preclude one tomorrow, if the production rates of O2 could be enhanced.
Fictional Interlude 3
“Sub One operating nominally,” intoned a somewhat bored Thomas Roberts. He was lead eco-engineer at Nagata base on Callisto, well clear of the intense, deadly radiation from Jupiter that was the key to the greening of Europa. Roberts team was monitoring the newly created subsurface lake christened Dodon Lake, known more colloquially as “dee-el” by his co-workers. It was situated in the Conamara Chaos and radar imaging had indicated it was now about 1 kilometer long and half a kilometer wide, with a maximum depth of 10 meters, laying just 20 meters below Europa’s surface near what appeared to be an old plume vent. The shallow depth of the lake beneath Europa’s surface ensured both sufficient radiation shielding as well as relatively easy access via the fractured ice in the vent.
The lake had started out as a natural fracture below the surface. Nuclear generators had melted the ice at the base of the fracture, creating a freshwater lake that was saturated with oxygen, and with more than enough extra oxygen to fill the void above it with breathable air. Preliminary tests indicated the water column was now mostly freshwater, not unlike that of L. Vostok in Antarctica, although with more dissolved CO2 and SO4. The dissolved O2 was at saturation. All that was missing was enough nitrogen and phosphorus, as well as trace minerals, to make this a living lake like those in Northern Canada, albeit without the summer mosquitoes. It was as dark as any subterranean cave on Earth, although that would soon change. 10 submersibles with high intensity LED lamps had been lowered down from the surface and had swarmed out across the surface of the lake, guided by the swarm intelligence of their onboard AI. The juice needed to power the motors and lights came from small nuclear reactors which fed waste heat to the lake bottom to increase the O2 release.
When the first sub powered up its lights, for the first time since its formation, the lake became a wonderland, illuminated with purple light, whose red and blue wavelengths were suited to maximize the photosynthesis that was to come. A cocktail of single cell algae originally sourced from subsurface Antarctic and Greenland lakes and cryogenically stored during transit, was released from the subs and soon began to photosynthesize and reproduce near the lights.
After a week, the crystal clear water started to become faintly cloudy as the density of algae increased to become the needed food for the large variety of invertebrates that followed. After a month, Thomas was certain that there would be no need to tweak the nutrients that had been added to the lake. The relatively simple starter ecosystem was on the predicted growth path that would reach its stable state cycle in 2 years. Within a decade, it was expected that a stable ecology would be established with sufficient oxygen production to maintain the first seeding of fish. But that was a job for the next crew of engineers to baby. The first steps to the greening of Europa had begun.
References
1. Johnson, R.E. et al (2019) “The Origin and Fate of O2 in Europa’s Ice: An Atmospheric Perspective,” Space Sci Rev (2019) 215:20 DOI 10.1007/s11214-019-0582-1
2. Oza A P et al (2019) “Dusk Over Dawn O2 Asymmetry in Europa’s Near-Surface Atmosphere,” Planetary and Space Science 167 23-32
3. Hand, K. P., Chyba, C. F., Carlson, R. W., & Cooper, J. F. (2006). “Clathrate Hydrates of Oxidants in the Ice Shell of Europa,” Astrobiology, 6(3), 463–482. doi:10.1089/ast.2006.6.463; Davis, J C, (1975) “Minimal Dissolved Oxygen Requirements of Aquatic Life with Emphasis on Canadian Species: a Review,” J. Fish Res. Bd. Can. Vol. 32(12)
4. Danovaro, R., Dell’Anno, A., Pusceddu, A., Gambi, C., Heiner, I., & Kristensen, R. M. (2010). “The first metazoa living in permanently anoxic conditions,” BMC Biology, 8(1), 30. doi:10.1186/1741-7007-8-30
5. Greenberg, R., (2010) “Transport rates of radiolytic substances into Europa’s ocean – Implications for the potential origin and maintenance of life,” Astrogiology Vol. 10, Number 3, 2010. DOI: 10.1089/ast.2009.0386
6. Huang J, et all (2018) “The global oxygen budget and its future projection,” Science Bull.. v63:18 pp1180-1186 https://doi.org/10.1016/j.scib.2018.0...
7. Vance, S. D., K. P. Hand, and R. T. Pappalardo (2016), “Geophysical controls of chemical disequilibria in Europa,” Geophys. Res. Lett., 43, 4871–4879, doi:10.1002/2016GL068547.
8. Clarke, A C. 2061: Odyssey 3. Ballantine Books, 1987.





May 9, 2019
Haumea: Probing an Outer System Ring
I rarely get the chance to talk about the exotic dwarf planet Haumea, but it’s a personal favorite when it comes to the outer Solar System. That’s because of its odd shape (a bit like an American football), evidently the result of a catastrophic collision, which makes it an interesting object for close study if we can get a probe to it to examine its composition. Back in 2009, Joel Poncy and colleagues at Thales Alenia Space in France went to work on a fast orbiter mission, an extraordinarily tough challenge that would push our propulsion technologies hard.
But Haumea would surely repay close study. A rapid rotator (3.9 hours, itself a likely indicator of a turbulent past), it’s a dwarf world with a ring as well as two moons, the larger of which, Hi’iaka, is some 300 kilometers in diameter. Add to this the fact that Haumea is quite reflective, indicating a surface covered with crystalline water ice. We know we can get a probe to Haumea, but orbiting it is an order of magnitude tougher. But imagine what we might learn about planetesimal differentiation! For more, see Fast Orbiter to Haumea and Haumea: Technique and Rationale. I provide the citation below for the appearance of Poncy’s later paper in Acta Astronautica.
Meanwhile, we study Haumea from afar. Othon Cabo Winter (São Paulo State University) and colleagues home in on Haumea’s ring in a new paper in Monthly Notices of the Royal Astronomical Society. The ring may be evidence of Haumea’s violent past, but we’re learning that rings are anything but uncommon in the Solar System. Beyond Saturn we have identified many ringed objects, including Uranus, Neptune and Jupiter, as well as the asteroids Chariklo and Chiron, which orbit between Jupiter and Neptune. Doubtless we’ll find more.
Image: Haumea and its satellites, imaged on June 30, 2015 by the Hubble Space Telescope. The moon Hiʻiaka is above Haumea, with the other moon Namaka below. The ring is too narrow and tenuous to be visible. Credit: NASA / STScI.
The ring around Haumea has yet to be directly observed, but astronomers reported its existence in 2017 after studying the result of an occultation as Haumea passed in front of a distant star. You’ll recall how useful occultations turned out to be for the New Horizons mission, accurately determining the shape of Ultima Thule long before the spacecraft made its successful flyby. The thought after the Haumea occultation was that the ring was in a 1:3 resonance region, with the ring particles making one revolution every three times the dwarf planet rotates.
But how significant is this resonance? Winter and team examine the question by simulating the trajectories of particles in the ring region, showing that for the resonance to define the ring particle orbits, a degree of eccentricity would be demanded that is not found — the ring is both narrow and practically circular. Thus the resonance does not define the ring’s orbit; rather, the ring is in a stable orbit the authors identify near the resonance region. Says Winter:
“Our study isn’t observational. We did not directly observe the ring. No one ever has. Our study is entirely computational. Based on simulations using the available data on Haumea and the ring, subject to Newton’s law of gravitation, which describes the motions of the planets, we concluded that the ring isn’t in that region of space owing to the 1:3 resonance but owing to a family of stable periodic orbits.”
A bit more on the terminology here. The authors describe Haumea’s ring as being in a family of “first-kind periodic orbits.” The paper relies upon techniques developed by Poincaré to analyze the dynamics of the region in which the Haumea ring is located. Using Poincaré’s methodology, they explain that orbits of the first kind are those “originated from particles initially in stable circular orbits.” This distinguishes them from periodic orbits of the second kind, which are those in which “…the particles are in eccentric orbits in a mean motion resonance, the so-called resonant periodic orbits.” Stability arises either from a highly eccentric orbit forced by resonance or a low eccentricity orbit, likewise stable, but not forced by the resonance.
We wind up with an orbit for ring particles that is of the first kind in what the authors call an ‘island of stability.’ Other factors could influence the orbit, but the paper notes that a ring of only 70 kilometers in width would have to be extremely massive to itself reduce the eccentricity produced by the 1:3 resonance.
And the authors continue:
Collisions between the ring particles were also not considered in this work. They could allow large orbital eccentricities of particles at the 1:3 resonance to be damped and fit within the radial range of the ring. Nevertheless, particles at the ring borders would not remain confined, still needing a confining mechanism. However, independently of collisions, particles associated with first-kind periodic orbits define regions of stability that fit very well in size and location with Haumea’s ring. Therefore, this analysis suggests that Haumea’s ring is in a stable region associated with a first-kind periodic orbit instead of the 1:3 resonance.
Haumea’s ring was the first discovered around a Trans-Neptunian Object, and we should bear in mind how challenging these calculations have to be to account for the non-spherical nature of the parent body. We know that the ring plane lines up with Haumea’s equatorial plane as well as the orbital plane of the outer moon Hi’iaka. What Winter and colleagues have shown is that the ring particles are on circular orbits that are near but not actually inside the 1:3 resonance.
The paper is Winter et al., “On the location of the ring around the dwarf planet Haumea,” Monthly Notices of the Royal Astronomical Society Volume 484, Issue 3 (April 2019), pp. 3765–3771 (abstract). Also of interest: Araujo et al., “Rings under close encounters with the giant planets: Chariklo vs Chiron,” accepted for publication at MNRAS (preprint). Joel Poncy’s paper on a Haumea mission is “A preliminary assessment of an orbiter in the Haumean system: How quickly can a planetary orbiter reach such a distant target? Acta Astronautica Vol. 68, Issues 5-6 (March-April 2011), pp. 622-628 (abstract).





May 8, 2019
Planetary Interiors a Key to Habitability
Interdisciplinary approaches to new data offer a robust way to see past the conventions of a specialized field, noting connections that provide perspective and deepen understanding. That idea is sound across many disciplines, but it is getting new emphasis with an essay in Science asking whether we have not been too blinkered in our approach to astrobiology. After all, reams have been written about studying exoplanet atmospheres for biomarkers, but shouldn’t we be studying how atmospheres couple to planetary interiors?
“We need a better understanding of how a planet’s composition and interior influence its habitability, starting with Earth,” says Anat Shahar (Carnegie Institution for Science), one of the paper’s four authors. “This can be used to guide the search for exoplanets and star systems where life could thrive, signatures of which could be detected by telescopes.”
Thus the paper’s call for merging data from astronomical observations, mathematical modeling and simulations, and laboratory experiments on planetary interiors. We can assume key building blocks of rocky planets like those similar to Earth, knowing to expect silicon, magnesium, hydrogen, iron, oxygen and carbon. But each planet will have its own specific abundances, its own history shaped by its position in its stellar system and its interior chemistry, all of which will help to determine whether or not it has oceans, their size, and the nature of its atmosphere.
Shahar, along with Carnegie’s Peter Driscoll, Alycia Weinberger, and George Cody, proceed to explain the significance of understanding these factors if we want to make the call on habitability, citing the range of outcomes possible from different compositions:
Composition determines the internal material properties associated with heat and mass transport, like melting temperature, thermal and electrical conductivity, viscosity, and the abundance and partitioning of radiogenic isotopes. These properties control the heat budget and thermal evolution of a planet. The amount of water accreted during formation will affect the ocean volume at the surface, which in turn is influenced by water cycling between the surface and the deep Earth. The composition and subsequent partitioning of elements in the interior will determine the oxidation state of the mantle and therefore whether the species that are outgassed to the atmosphere are enriched or reduced (11). The physical parameters of high-pressure phases of rock that might exist in deep exoplanetary mantles control their water capacity, rate of heat transfer, likelihood of global convection, and rate of core cooling.
This figure from the paper illustrates the significance of plate tectonics:
Image Credit: N. Desai/Science.
The contingent nature of planetary evolution is clear as we study what can happen to a world over billions of years in the evolution from protoplanet through differentiation of the interior, impact history and the emergence of plate tectonics and development of a magnetic field. What the authors are arguing is that coherent research on these matters is not the work of a single discipline. Indeed:
Observations of stellar, disk, and planetesimal compositions must be combined with experimental studies of mineral physics and melting behavior to serve as inputs to planet formation and geodynamic models. In turn, the results of those modeling efforts will provide feedbacks into the observations and experiments by making predictions and identifying the compositions and material properties that are most important for habitability.
So as we learn about exoplanetary atmospheres, and we are on the edge of great strides in this area with the next generation of large ground- and space-based telescopes, we’ll need to put what we learn in the context of planetary interiors and their role in evolving a life-sustaining atmosphere. The idea that habitability is hugely influenced by planetary interiors is sensible, even obvious — think of the Earth without plate tectonics — but our approach to these habitability questions will surely be enriched by crossover studies of the kind the authors describe.
After all, as opposed to straight characterization of an atmosphere, learning about the interior planetary processes needed for life will be difficult. We can make the first call based on our evaluation of planet densities, available through combined transit and radial velocity studies. But density gives us only a crude insight into planetary composition. Our best recourse, then, is the combination of modeling, experimentation, and observations that will help us learn whether planets unlike our own may still have internal processes that can support and sustain life.
The paper is Shahar et al., “What makes a planet habitable?” Science Vol. 364, Issue 6439 (03 May 2019), pp. 434-435 (full text).





May 7, 2019
Evidence for an Early Neutron Star Merger Near the Solar System
Massive elements can build up in celestial catastrophes like supernovae, with the rapid-, or r-process, producing neutrons at a high rate as elements much heavier than lead or even uranium emerge. But we’re learning that such events happen not just in supernovae but also in neutron star mergers, which are thought to occur only a few times per million years in the Milky Way. A new paper looks at meteorites from the early Solar System to study what the decay of their radioactive isotopes can tell us about the period in which they were created.
Such isotopes have half-lives shorter than 100 million years, but we can determine their abundances in the early Solar System through meteorite studies like these. What Szabolcs Márka (Columbia University) and Imre Bartos (University of Florida) have done is to study how two of the short-lived r-process isotopes were produced, using simulations of neutron star mergers in the Milky Way to calculate the abundances of specific radioactive elements. The simulations show that about 100 million years before the Earth formed, a neutron star merger occurred some 1,000 light years from the gas cloud that would become the Solar System.
This would have been a spectacular event, says Márka:
“If a comparable event happened today at a similar distance from the solar system, the ensuing radiation could outshine the entire night sky.”
Image: This is Figure 1 from the paper, which appeared in Nature. Caption: The path of r-process elements. When neutron stars merge, they create an accreting black hole (the accretion disk is shown red). Tidal (dynamical) forces and winds from the accretion disk eject neutron-rich matter. This ejected matter (ejecta, shown grey) undergoes rapid neutron capture, producing heavy r-process elements, including actinides. The ejecta reach the pre-solar nebula and inject the heavy elements that will remain in the Solar System. Credit: Szabolcs Márka / Imre Bartos.
Because a supernova can likewise produce actinides (elements from actinium to lawrencium — atomic numbers 89-103 — all of them radioactive), the authors use the same methods to analyze these. The evidence points to a neutron star event rather than supernovae explosions near the early Solar System, for the abundance ratio found via meteorite studies “…is well below the uniform production model’s prediction…” What the authors mean by ‘uniform production model’ is the fact that supernovae are orders of magnitude more frequent in the Milky Way than neutron star mergers, and their production rate can be approximated as being uniform in time:
By comparing numerical simulations with the early Solar System abundance ratios of actinides produced exclusively through the r-process, we constrain the rate of occurrence of their Galactic production sites to within about 1−100 per million years. This is consistent with observational estimates of neutron-star merger rates, but rules out supernovae and stellar sources. We further find that there was probably a single nearby merger that produced much of the curium and a substantial fraction of the plutonium present in the early Solar System. Such an event may have occurred about 300 parsecs away from the pre-solar nebula, approximately 80 million years before the formation of the Solar System.
The authors point out that working backward to reconstruct the abundance of another of the short-lived elements would help to produce a more complete picture of the neutron star merger.
Because I was having trouble with the distinction between actinides produced by supernovae and those from neutron star mergers, I asked Dr. Bartos for a clarification. He was kind enough to provide the following, explaining how supernovae can be ruled out (and many thanks to Dr. Bartos for his quick response!):
The difference between supernovae and neutron star collisions that we take advantage of is their relative rates. Supernovae occur a thousand times more frequently than neutron star collisions in the Milky Way. This means that the shortest lived isotopes would be regularly replenished if produced by supernovae, making them certain to be present at the time of the Solar System’s formation. For the less common neutron star collisions, the shortest lived isotopes are depleted soon after a merger, and stay depleted until the next. This means that it is probable that at the time of the Solar System’s formation, this isotope will be depleted. The observed abundances of the short lived Curium-247 and Iodine-129 isotopes in the early Solar System show this depletion, ruling out supernovae.
Dr. Bartos went on to explain the steps he and co-author Márka took to clarify the result:
An extra step is that we normalize the Curium and Iodine amounts found in the early Solar System with the amount of longer-lived r-process elements (Thorium-232 and Iodine-129, respectively). This is important because this way our results don’t depend on how much r-process a single event produces. The ratios stay the same.
We’re in the early era of using gravitational wave astronomy through observations from LIGO and the Virgo collaboration to make the call on the rate of spectacular events like the merger of two neutron stars, a rate that will be tightened further with continuing observation. Thus the Abadie et al. paper I reference below, tapped by the authors, which points to the rich observational fields gravitational waves help us explore. It was a scant five years after that paper that the first gravitational wave detection was made, and in the short time since, we are now producing catalogs of black hole and neutron star mergers.
The paper is Bartos & Márka, “A nearby neutron-star merger explains the actinide abundances in the early Solar System,” Nature Vol. 569 (2 May 2019). pp. 85-87 (abstract). The Abadie paper referenced above is Abadie et al., “Topical review: predictions for the rates of compact binary coalescences observable by ground-based gravitational-wave detectors,” Classical and Quantum Gravity 27, 173001 (2010). Abstract.





May 2, 2019
99942 Apophis: The Value of a Close Approach
The approach of the asteroid 99942 Apophis in April of 2029 offers an opportunity to study a sizeable asteroid through both radar and optical telescopes. Marina Brozović, a radar scientist at the Jet Propulsion Laboratory, points out that radar studies of the object might resolve surface details that are no more than a few meters in size. No surprise, then, that Apophis is the subject of much discussion at the 2019 Planetary Defense Conference in College Park, Maryland.
This is the same conference at which NASA Administrator Jim Bridenstine warned about the critical nature of planetary defense, noting the Chelyabinsk event in 2013 that delivered some 30 times the energy of the Hiroshima bomb. NASA has contracted with SpaceX to provide launch services for its Double Asteroid Redirection Test (DART), which is expected to launch in 2021 via a SpaceX Falcon 9 and test asteroid deflection through high-speed collision.
DART’s target will be the tiny moon of an asteroid called Didymos, which it will reach by solar electric propulsion in October of 2022, when the asteroid closes to within 11 million kilometers of Earth. Bridenstine pointed out that the NASA plan to detect and characterize 90 percent of near-Earth objects measuring 140 meters in diameter and above is “only about a third of the way there,” adding that events like Chelyabinsk are expected roughly every 60 years.
So it’s heartening to see missions like the Japanese Hayabusa2 and NASA’s OSIRIS-REx probing the nature of these objects, even as we look toward the Apophis opportunity in 2029. Numerous small objects on the order of 5-10 meters have been found passing as close to the Earth as Apophis, but the latter is substantial, a 340-meter asteroid that will be widely studied as it approaches to within 31,000 kilometers of the surface. The asteroid will become a naked eye object in the night sky over the southern hemisphere on April 13, 2029.
Image: This animation shows the distance between the Apophis asteroid and Earth at the time of the asteroid’s closest approach. The blue dots are the many man-made satellites that orbit our planet, and the pink represents the International Space Station. Credit: NASA/JPL-Caltech.
You may recall that following its discovery in 2004, early calculations showed a 2.7% chance that Apophis might impact the Earth in 2029, but follow-up observations have ruled that out. Now we can take advantage of the close passage to study Apophis’ size, shape and composition. A key question: Can we use the flyby to learn more about the asteroid’s interior?
“We already know that the close encounter with Earth will change Apophis’ orbit, but our models also show the close approach could change the way this asteroid spins, and it is possible that there will be some surface changes, like small avalanches,” said Davide Farnocchia, an astronomer at JPL’s Center for Near Earth Objects Studies (CNEOS), who co-chaired the April 30 session on Apophis with Marina Brozović.
Apophis’ passage in 2029 will take it within the distance some spacecraft orbit the Earth, and there remains the possibility of a mission to the object. As to future collision risks, the trajectory of Apophis is well established, but gravitational interactions between asteroid and Earth make it necessary to continue to recalculate the orbit. As we assemble the catalog of potentially hazardous objects, the need for missions like DART — and others testing a range of mitigation strategies — is clear. Because if we ever do find an asteroid of this size that presents a danger to our planet, we need to know what we’re going to do.
You can watch video from the 2019 Planetary Defense Conference here.





May 1, 2019
Corridor of Ice Identified on Titan
What an interesting thing Titan’s atmosphere turns out to be. A fine haze produced by sunlight breaking apart methane molecules settles continuously to the surface, leaving organic liquid and solid sediments. Titan also has large lakes, but these contain about a third of the necessary methane, available through evaporation, to replenish that atmosphere, which should be depleted over geological time scales. What produces Titan’s supply of methane?
It was to answer that question that Caitlin Griffith (University of Arizona Lunar and Planetary Laboratory) and colleagues embarked on a study of cryovolcano activity on Titan. Cryovolcanoes erupt not with molten rock but volatiles like water or methane, and thus could provide an answer if they are venting methane found in subsurface reservoirs. A feature on Titan’s surface called Sotra shows cryovolcanic features that imply past icy flows.
Image: A giant of a moon appears before a giant of a planet. Titan, Saturn’s largest moon, measures 5,150 km across and is larger than the planet Mercury. Credit: NASA/JPL-Caltech/Space Science Institute.
Thus the need for a study of Titan’s surface focusing on potential cryovolcano candidates. But this is tricky work, with weaker spectral features difficult to tease out because of the moon’s dense atmosphere. The work draws on tens of thousands of spectral images produced by Cassini’s Visible and Infrared Mapping Spectrometer. The team developed a principal components analysis (PCA) which allowed a more fine-grained breakdown of surface ice and sediments at the four wavelength bands that most clearly view Titan’s surface from orbit.
Out of this came the detection of an icy linear feature, a ‘corridor’ in Griffith’s words, and one that raises questions:
“This icy corridor is puzzling, because it doesn’t correlate with any surface features nor measurements of the subsurface. Given that our study and past work indicate that Titan is currently not volcanically active, the trace of the corridor is likely a vestige of the past. We detect this feature on steep slopes, but not on all slopes. This suggests that the icy corridor is currently eroding, potentially unveiling [the] presence of ice and organic strata.”
Based on the settling of sediments from the atmosphere, scientists expect the surface of Titan to be an ice bedrock coated with organic materials. What the team has found is that water ice is unevenly exposed in Titan’s tropical latitudes. The exposed icy materials do indeed appear as a long, linear corridor that stretches 6,300 kilometers, with the aforementioned Sotra region especially rich in water ice, and positioned roughly in the middle of the icy corridor.
Image: Three orientations of Titan’s globe: the icy corridor is mapped in blue. Credit: NASA/JPL-Caltech/Space Science Institute.
All of this relates to the methane question, because the distribution of organic sediments on the surface is, the researchers believe, related to the history of Titan’s interior. We seem to be seeing evidence of a past, geologically active period. As Griffith notes, the icy feature does not correlate with topography as measured by Cassini’s radar measurements, nor does it seem to correlate with gravitational field anomalies likewise noted by Cassini, which offer a limited measure of subsurface composition. Just when did it appear, and how? From the paper:
The linearity of the icy corridor over a global scale presents the question of whether tectonic processes shaped this feature, thereby manifesting the processes that mould Titan’s surface and subsurface on a global scale. However, we find no evidence that Titan is geologically active, consistent with Titan’s long-wave topography and gravity field, which indicate a thick ice shell that is conductive rather than convective.
The answer may lie in the past, with methane surging up from below:
Measurements of the 13C/12C ratio in Titan’s atmosphere indicate that methane was injected into the atmosphere not more than 0.5–1 billion years ago. This age is consistent with the volume of dunes that would have accumulated since then, and suggest, consistent with evolution models of Titan’s interior, that a major cryovolcanic event occurred several million years ago. Potentially the topography that established the steep slopes of the icy corridor is a remnant of the time when Titan was geologically active. One example is the Sotra region, which displays cryovolcanic features, the steep terrain of which exhibits the strongest water-ice features.
Thus a past cryovolcanic event could explain Titan’s methane, with the ice corridor a telling reminder of these processes. Icy features in other parts of Titan are found only in local regions exposed by erosion or cratering, which suggests that if cryovolcanism remains an active process on Titan, it is not widespread. The team plans to use the same techniques to examine Titan’s poles, where the moon’s methane seas are prominent, to explore these ideas further.
The paper is Griffith et al., “A corridor of exposed ice-rich bedrock across Titan’s tropical region,” Nature Astronomy 29 April 2019. Abstract.





April 30, 2019
Refined Parameters for an Expanding Universe
When it comes to matching what we know of the early universe, as seen in the Cosmic Microwave Background (CMB), with what we see today, astronomers have their work cut out for them. Edwin Hubble could demonstrate that the universe was expanding by studying the redshift of galaxies as they receded, but the rate of that expansion has been controversial. Now we have new work based on data from the Hubble Space Telescope as well as the Araucaria Project (about which more in a moment) that is helping us refine the Hubble constant (H0) to tighten the parameters on how the universe’s expansion is accelerating.
The result: The universe is expanding some 9 percent faster than we would expect based on observations by the European Space Agency’s Planck satellite, which mined data from the CMB from 380,000 years after the Big Bang. Exactly what drives this accelerated expansion — an enhanced interaction between matter and something we have yet to detect, ‘dark’ matter, or the as yet unknown form of energy likewise called ‘dark’ — no one knows.
Nonetheless, our cosmos is doing something that we need to explain. Nobel laureate Adam Riess (Johns Hopkins University and Space Telescope Science Institute) is lead researcher on this work. Riess’ Nobel came in 2011, shared with Saul Perlmutter and Brian Schmidt for demonstrating that the expansion of the universe was accelerating. We now firm up that discovery yet further. Riess says the chances of this observation being in error have dwindled from 1 in 3,000 to 1 in 100,000, adding “This disparity could not plausibly occur by chance.”
“This is not just two experiments disagreeing,” Riess added. “We are measuring something fundamentally different. One is a measurement of how fast the universe is expanding today, as we see it. The other is a prediction based on the physics of the early universe and on measurements of how fast it ought to be expanding. If these values don’t agree, there becomes a very strong likelihood that we’re missing something in the cosmological model that connects the two eras.”
Image: This illustration shows the three basic steps astronomers use to calculate how fast the universe expands over time, a value called the Hubble constant. All the steps involve building a strong “cosmic distance ladder,” by starting with measuring accurate distances to nearby galaxies and then moving to galaxies farther and farther away. This “ladder” is a series of measurements of different kinds of astronomical objects with an intrinsic brightness that researchers can use to calculate distances. Credit: NASA, ESA, and A. Feild (STScI).
Riess is working with a team called SHOES, for Supernovae, H0, for the Equation of State, which analyzed the light of 70 Cepheid variable stars in the Large Magellanic Cloud. Cepheid variables are ‘standard candles’ that brighten and dim at predictable rates, making it possible to measure the distance between galaxies. On the immediate level of data acquisition, the team was able to sharply reduce the time normally required for studying a Cepheid with Hubble (one star for every 90 minute orbit). Using a technique called Drift And Shift (DASH), Hubble can take quick ‘point and shoot’ images, considerably speeding the process.
With the Hubble data in hand, Riess combined them with observations from the Araucaria Project, which is an international collaboration studying the calibration of extragalactic distance, with considerable attention to Cepheid variables, RR Lyrae stars and other potential distance markers. The group has used eclipsing binaries to tighten our distance estimates to the Large Magellanic Cloud. The combined data helped refine the true brightness of the Cepheids.
Image: This is a ground-based telescope’s view of the Large Magellanic Cloud, a satellite galaxy of our Milky Way. The inset image, taken by the Hubble Space Telescope, reveals one of many star clusters scattered throughout the dwarf galaxy. Credit: NASA, ESA, Adam Riess, and Palomar Digitized Sky Survey.
We get a new estimate of 74.03 kilometres per second per megaparsec for Hubble’s constant, which means that for every 3.3 million light years further away a galaxy is from us, it appears to be moving 74 kilometers per second faster. This is a result of the expansion of the universe, and as mentioned above, is a figure 9 percent higher than the Planck observations of the early universe. The latter pegged the Hubble constant at 67.4 kilometres per second per megaparsec.
Consider the values we’ve determined for the Hubble constant in recent decades. A factor of two separated estimates of the constant in the days before the Hubble Space Telescope was available. By the late 1990s, the Hubble Space Telescope Key Project on the Extragalactic Distance Scale refined the value to within 10 percent. By 2016, with the discovery that the universe was expanding faster than previously calculated, the uncertainty dropped to 2.4 percent. What Riess and team have done is to reduce that figure down to 1.9 percent.
“The Hubble tension between the early and late Universe may be the most exciting development in cosmology in decades,” says Riess. “This mismatch has been growing and has now reached a point that is really impossible to dismiss as a fluke.”
And where do we go from here? From the paper (note the reference to gravitational waves, as well as to the supernovae used to extend distance measurements deeper into the cosmos):
A new feature in the dark sector of the Universe appears increasingly necessary to explain the present difference in views of expansion from the beginning to the present… Continued pursuit in precision in the determination of H0 is also needed to transition from the discovery of a difference to a diagnosis of its source. Additional observations of giants and pulsating stars in more hosts of SNe Ia [supernovae] are underway and should further refine H0. Less predictable but highly sought are contributions from gravitational wave sources as standard sirens (Schutz 1986; Abbott et al. 2017; Chen et al. 2018). Improvements in parallaxes from future Gaia data releases are also expected to continue to increase the precision of the distance ladder in the near term.
The paper is Riess et al., “Large Magellanic Cloud Cepheid Standards Provide a 1% Foundation for the Determination of the Hubble Constant and Stronger Evidence for Physics Beyond LambdaCDM,” accepted at the Astrophysical Journal (preprint).





April 26, 2019
Probing Parenago: A Dialogue on Stellar Discontinuity
The publication of a paper called “New Features of Parenago’s Discontinuity from Gaia DR1 Data” by V. V. Vityazev and colleagues brought us a new look at an unusual observation. Parenago’s Discontinuity refers to the fact that red, cooler stars move faster in the direction of galactic rotation than blue, hotter stars, based on Hipparcos data. But is the phenomenon just a chance, local observation? Fortunately, a much larger dataset from the Gaia mission has now become available, and it is this that the Vityazev paper addresses in terms of Parenago’s finding. The following dialogue between Greg Matloff and Alex Tolley goes to work on the Vityazev document. Dr. Matloff has pointed to the Discontinuity as a possible marker of consciousness among low temperature stars, where molecular bonds can form.
Could motion be a matter of agency in such stars? Alex digs into the Vityazev paper and questions whether Greg is right that his controversial theory can be falsified given our data. Various mechanisms for stellar motion are explored, ranging from coronal mass ejections to possibilities that are downright Stapledonian. How exactly would a civilization go about moving stars? I am preserving the dialogue format of the original correspondence as a case in point of serious differences being discussed in a way that both disputants have found valuable.
By Greg Matloff and Alex Tolley
Alex: Greg, in your 2012 Centauri Dreams post Star Consciousness: An Alternative to Dark Matter, you made the claim that there was an alternative explanation to dark matter for the velocity of stars around the galactic center. Your hypothesis was some sort of psychokinesis effect generated by consciousness, even if a primitive one. You used the Parenago Discontinuity (PD), which showed that velocity was related to star type, to suggest that fast stars were cool and that these cool stars could have chemistry, allowing some sort of consciousness. The 2015 Centauri Dreams post Greg Matloff: Conscious Stars Revisited further elaborated on this hypothesis.
The first problem I have with the data you used is that there was no plateau of velocity, but rather a peak, unlike the classic Parenago Discontinuity, which showed a plateau. This would imply that star types reach a peak velocity, then decline. Why would there be such an effect if consciousness was the driver of some psychokinetic effect? A possible explanation could be the amount of material that could be expelled to propel the stars.
The issue was left on whether the Parenago Discontinuity was purely a local, rather than galactic effect. We awaited the Gaia data.
The Vityazev paper using Gaia data confirmed that the Parenago Discontinuity was indeed non-local and that the peak effect around B-V of 0.7 seen with the earlier data you presented was indeed correct. As you had hung the hypothesis on the Parenago Discontinuity, this confirmation with the larger data did not falsify the interpretation that stars might be conscious.
The Hipparcos satellite measured the distances to hundreds of thousands of stars. It also measured the magnitude of each star through two filters:
A blue filter, yielding a B (for “blue”) magnitude
A greenish filter, yielding a V (for “visual”) magnitude (the human eye has highest sensitivity in the green)
Now, astronomers call the difference between the B and V magnitude of a star its (B-V) color, or sometimes just “color” for short. Remember how magnitudes work: large numbers mean “faint”, and small numbers mean “bright”. What is the “(B-V) color” of a hot star?
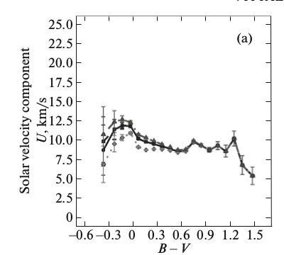
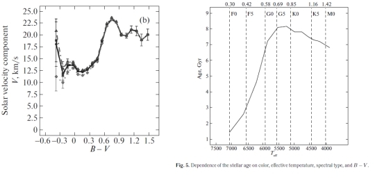
Figure 5 in the Vityazev paper seems to offer the basis for the more likely explanation of the PD results.
The figure 1b graph (left) shows the PD with the Gaia data. The figure 5 chart (right) shows that the PD effect is correlated with stellar age, rather than stellar temperature. The cooler stars in the sample are actually younger than G stars at the age peak. The shape of the B-V vs age graph matches the B-V vs azimuthal velocity (V) graph. This seems to me to suggest that velocity is therefore related to age, and more likely due to some physical factor related to time.
This seems to me to be the most parsimonious relationship and should be chosen by Occam’s razor. The stellar conscious hypothesis has to account for this age relationship and explain why the coolest stars that should have good consciousness and can, for unknown reasons and unknown mechanisms, chase around the galaxy faster than large, hotter stars, nevertheless go more slowly than G-type stars.
Why stars increase velocity with age still needs elucidation and modeling. However, the Vityazev paper has broken down the many components of stellar kinematics. This should provide a nice set of constraints for validating computational models.
Greg: The fact that Parengo’s Discontinuity is apparently non-local supports my hypothesis and does not support density waves. I have gone through the Messier, Herschel, and NGC Catalogues and reported my results in several publications. No known diffuse nebula in our galaxy or the Clouds of Magellan is large enough to drag along stars over a ~1,000 light-year radius sphere. The fact that stars seem to move faster along the direction of galactic motion as they age is very interesting, but it does not bear upon my original hypothesis that the discontinuity occurs at the point where molecules come in to stellar spectra. It is in my data as well as the data in the paper, so I presume that it is correct. I had originally ignored it because it does not bear on the original hypothesis. I presented in my original letter to Paul and others the causes I could think of to explain this phenomenon. But please, don’t hesitate to present others.
I am pretty happy right now because I predicted a non-local Parenago Discontinuity and this has apparently been verified. No one else, to my knowledge, had made this prediction. The local alternative explanations are now extinct. But science works by constructing alternative explanations for a phenomenon and testing them. Please do so. Try your hand at galaxy-wide possible alternative explanations. I can think of a few that won’t work. I am very interested in what you and others come up with and look forward to a dialogue of competing ideas.
Alex: The chart below is a rough conversion of the B-V values to age (from Figure 5) and the velocity from figure 1b. This seems to show that the Parenago Discontinuity might be a phenomenon based on using a variable (stellar type) that isn’t really related to the star’s velocity. Using age provides an approximately linear trendline with an R-squared of 0.93.
I accept that this velocity might be hard to explain (I am certainly not able to comment on this) but the relationship of age to velocity does seem to point to a simpler explanation for V based on natural forces, rather than requiring agency.
This older reference looked at A and B stars and examined the velocity differences based on age. There were clear differences based on age, rather than stellar type. While this doesn’t invalidate your hypothesis, they do have a physical explanation on why age impacts star velocity. To my mind, such approaches should be examined further before resorting to more exotic explanations. With the Gaia data, astronomers involved in kinematics studies now have a trove of high-quality data to test their models. I would be looking amongst that cadre for cutting-edge modeling.
Greg: Nice analysis! What I tried to do is put all the cards, as I see them, on the table. I am not and never have been an advocate for psychokinesis. But science seems willing to accept the Multiverse, which can perhaps not be verified. It accepts dark matter and invokes many properties for this stuff even though it remains hidden. I have discussed PK and the Geller/Randi controversy with people on both sides and find nothing wrong with their arguments. So I believe, with David Kaiser of MIT and others, that the case should be reopened. If a weak PK force can be demonstrated to the satisfaction of the scientific community, it should be considered an option.
I also believe that the stellar age variation has little to do with Parenago’s Discontinuity. Why does the discontinuity appear at the same place where molecules come in to stellar spectra?? And why indeed is it a discontinuity instead of a smooth curve? Invoking strange (and unknown) stellar variability to explain it is certainly an exotic explanation!
One of the problems with what we are discussing comes from the fact that I was checking the metaphysics of Olaf Stapledon, a sci-fi author and philosopher, and attempting to see if there is something scientific behind his discussion in Star Maker. If I were starting afresh, I would title my work (as I have done in subsequent papers) “A Test of Self-Organization on the Galactic Scale?”, since astrophysicist Erich Jantsch uses “self-organization” as a possible explanation of consciousness. Alternatively, I might go with the terminology of philosophers such as David Chalmer and title my papers “Is Panpsychism a Science?”
I think that the work that you have done on (B-V) vs. star age from the Gaia Release 1 sample is invaluable and should be included in our published dialogue. I hope very much that our debate leads to further work with future Gaia data releases.
Alex: Let me give you a perspective from a biologist’s point of view. The Parenago Discontinuity might have an analogy to living vs non-living, where living things can be observed to grow, move (or have tropisms), reproduce, etc. Let us assume that cooler stars have some sort of motility which is driven by a “need”, perhaps acting something like a bacterium. Bacteria can be observed to move faster in their medium if they have flagella. A biologist would ask “what is the evolutionary advantage of movement given the cost” and might hypothesize that this leads to faster food discovery, or a phototropism, or evasion of larger predators. In the case of cool stars, I would be asking similar questions. Why is V (azimuthal velocity) the key variable, rather than a different direction (U, W)?
Given that V is affected by star type, what is the advantage of moving faster in one direction? One might hypothesize that this facilitates sweeping up of neutral gas clouds more effectively, but this would be even better if the stars moved in the opposite direction. Are the stars perhaps self-organizing into “flocks” and what we are seeing is the movement of the flock which is currently going in the V direction? With bacteria, we know that it is flagella that allow movement through the medium. With stars, one mechanism is with a Shkadov drive to asymmetrically create thrust. Another might be directed coronal mass ejections (CMEs). In the former case, it is not the star that is sentient, but more likely a separate intelligence, a more Stapledonian idea.
Therefore another hypothesis is that stars are being driven by a galactic wide intelligence[s] to reach a certain unified velocity for some reason. The age relation to velocity then makes sense if the Shkadov drives need billions of years to reach the needed velocity. For what purpose?
One idea might be to facilitate more frequent stellar encounters allowing biological civilizations to disperse more easily among the stars. On the other hand, if the galaxy is an organism or superorganism, perhaps the Parenago Discontinuity is some process to organize older stars for some equivalent of a cellular process.
An obvious question suggests itself. If cooler stars are somehow able to direct their velocity, shouldn’t very cool stars, i.e. red dwarfs and brown dwarfs, also have that behavior? We don’t have enough examples of BDs to determine this, but it would provide another datum. One might extend this to gas giant planets too. While the ones we know about are bound to their stars, is it possible that planetary migration is a related phenomenon? Are “hot Jupiters” exhibiting similar behaviors?
Clearly one can speculate endlessly. If the relevant variable is time rather than stellar type, then this constrains mechanisms to those that require both time and a reason for the more uniform direction. With such a constraint, looking for a natural process that requires billions of years would seem to be the most fruitful direction. That velocity W (fig 1c) is fairly constant, but U (fig 1a) declines with stellar type suggests to me that physical forces are somehow directing the movement into the W direction, whether those forces are natural or artificial. The direction is apparently translating from U, towards the galactic center, to V, a transverse direction, rather like the Coriolis forces operating on weather patterns that “shape” the velocity profile.
If time is the relevant variable, then looking for young, cool stars should be the best way to test the hypothesis. If they are fast, then stellar type is the key variable, but if slow, then time. The Vityazev paper also has limited data for red giant stars. If anything, the G, K and M red giant stars have more uniform V than main sequence stars, i.e. they seem to conform more closely to the classic PD plateau. Whatever the mechanism, size is clearly not a variable as they have velocities comparable to the oldest G stars. Creating an age chart for these stars might also be instructive.
Unfortunately, even if age is the relevant variable, it doesn’t falsify your hypothesis. The mechanism of acquiring a high V might simply require time, whether a natural, external force or an inner, self-directed one. Just as with determining which animals are conscious (e.g. using the mirror test), we need a better test to be able to falsify your hypothesis. We may be in the position of trying to determine sentience of a herd of buffalo from a still photograph when what we need is video or many photographs over time.
PS: A back-of-the-envelope calculation shows that a star could attain the necessary velocity by directing its radiant energy (e.g. Shkadov drive), but not by directed coronal mass ejections. (calculation for our sun).
Greg: Wonderful! My feeling has always been that stars need not have a high level of consciousness–they could be like slime-mold amoeba or developing cells in embryos.
I suspect that Vityazev et al could not use the red giant Gaia data for the same reasons the Burnham’s validation of Parenago for giants looks so fluffy. Since most of these stars are very distant, astrometric parallax is impossible with Hipparchus and the early Gaia data.
Spectroscopic distance estimates using the HR diagram are accurate to 10% or less. Also, what is the local reference standard when the subject stars occupy a sphere thousands of parsecs in radius? Hopefully, future Gaia data releases will offer the possibility of greater accuracy.
Also, I have been thinking about your suggestion regarding unknown forms of stellar variability. My suggestions in the earlier emails–EM radiation anisotropy and unidirectional jets in mature stars–are two of these. Perhaps there are others!
Greg: The Shkadov thruster could of course be a form of anisotropic EM emission from the star. But could such a thruster develop in a purely materialistic setting not requiring a Kardashev Type 2 civilization in that star’s system or volition on the part of the star?
It is so strange that we are encountering so many fascinating intellectual insights at the same time that national governments are failing. Last Sunday we attended a talk by Tyler Volk, a biologist at NYU. He has constructed a geometric/architectural model of self-organization from the quark to universal levels. Tyler suspects that we are moving towards the planetary phase of our civilization and this is the use of apparent political dysfunction. I hope he is correct.
Alex: Greg, you write: “The Shkadov thruster could of course be a form of anisotropic EM emission from the star. But could such a thruster develop in a purely materialistic setting not requiring a Kardashev Type 2 civilization in that star’s system or volition on the part of the star?”
I would be skeptical about EM emission asymmetry as I would have thought this would be detectable. A Shkadov drive with mirrors would definitely have some observable effects. Even just some “magical” control over EM emissions should be detectable.
While CMEs are not energetic enough, a small star with large CMEs that are accelerated to c might just work. But again, I would think such a beam would be detectable. I agree with you that such EM or particle control would need K2 civilizations to manage. With so many stars that would be exhibiting such high V’s, just by chance we would detect some anomalies, and solve the SETI question too.
It also occurs to me that since our galaxy has experienced a collision with another galaxy or satellite in the remote past, with a corkscrew effect on velocities, is there any chance this might in some way be responsible for the Parenago Discontinuity?
Let me refer to a post here on Centauri Dreams titled Gaia Data Hint at Galactic Encounter. I could imagine that an old collision with another galaxy or similar massive object accelerated stars which retained their higher velocities while younger stars maintain the velocities of birth in a more stable galaxy post-collision. To get the age-related relationship, it suggests that the collision must have had its impact on velocity over billions of years. Perhaps the values of U, W and V can be used to determine the likely form of the collision?
Greg: Regarding the Shkadov thruster discussion, have you read the Benford/Niven novels Bowl of Heaven and Shipstar? These discuss an advanced version of this concept. I have given some thought to a galactic collision producing Parenago’s Discontinuity. According to the computer simulations done at Cornell (and likely other places), when the Milky Way collides with Andromeda to form Milkimedia (what a horrible name!), there will be widespread disruption of diffuse nebulae. This might result in a Spiral Arms Density Wave effect drawing lower-mass stars along faster than their more massive colleagues.
But the same simulations indicate that the combined galaxies lose their spiral shapes after merger. The ultimate result is a giant elliptical with few nebulae and a very low rate of star formation. Since this has clearly not occurred for the Milky Way galaxy (which is a nice barred spiral), it is reasonable to conclude that such a galactic merger did not happen. From what I understand, galactic cannibalism (where a big galaxy gobbles a smaller one) has less disruptive effects–the big guy retains its shape (which might be an argument for self-organization on the galactic scale.
Alex: From an engineering point of view, I think controlling the solar wind might be a lot easier than deflecting the EM with a solid mirror. I would envisage surrounding the star in a charged, superconducting “mesh” to trap the protons. These would be funneled to electromagnetic accelerators to emit the protons in a unified direction at near c velocity. That might be enough to accelerate the star over the needed timescales. The advantage is lower mass requirements and no impact on the star’s light emissions or spectrum. However, I would expect that the proton beam emitted would be detectable. Think of this drive as a giant ion engine coupled with a ramscoop that captures the protons from the star, rather than from the interstellar medium as in a Bussard ramjet.
The Centauri Dreams link I provided was for a proposed “impact” with a dwarf galaxy (the Sagittarius dwarf galaxy). Much smaller than M-31, and if there was an impact, it certainly hasn’t disrupted the shape of our galaxy. What is interesting is the analysis technique that teased out the spiral shape of the velocity-position phase space that was too subtle to visualize with pre-Gaia data. This sort of analysis might offer a better way to understand the stellar type/age vs velocity relationship. Figure 2 in the paper referenced in the article shows the structure in the azimuthal (V) direction vs the radius (I cannot interpret if this has any possible bearing at all on the Parenago Discontinuity, but the same analysis teasing out stellar type might well do. It might be worth contacting the principal author regarding this approach. Paper attached)
[The paper Alex is referring to is Antoja et al., “A Dynamically Young and Perturbed Milky Way Disk,” Nature 561 (2018), 360-362 (abstract / preprint).]
Greg: Nice paper! Thanks for it. But can this effect bear on an apparent near-linear relationship between galactic revolution velocity and star age? I think that such dwarf galaxy absorptions by the Milky Way are rare events. Regarding the Shakdov thruster, you are (I think) correct. But could we detect a proton flow necessary to increase V by ~1 km/s over a 10 billion year time interval? Certainly fuel for thought.
Alex: Given the large numbers of stars in the sample, I was thinking that the stellar type vs velocity relationships could be plotted for locations on the galactic disc. If they are all the same, that would tell a different story than if they differed in shape. There is a hint of this in the Vityazev paper where they plot thin vs thick disk stars that show differences. In other words, given the large sample size, it should be possible to show more granularity based on location than with the averaging that Vityazev computes.
Incidentally, I came to the same conclusion with regards to CMEs. However, even for our sun, the CMEs are within a single order of magnitude if they are accelerated to c. As the solar wind produces more protons overall than CME, the same approach might work. However, this approach has to work for all stars, so the mass loss of protons/star mass has to increase for cooler stars for this mechanism to describe the PD observation.
I am not aware of the idea of moving stars by trapping and accelerating the solar wind and flares, so possibly it is novel. I also wonder if it is possible to direct solar flares by manipulating the surface magnetic fields of the star so that they break and cause a flare in desired positions. As the star rotates, the magnetic field is broken when the alignment is correct, releasing the flare. The flare material still needs to be accelerated to have the desired thrust, so electric fields could do that, or something more like a linear particle accelerator. Definitely K2 or even K3 level engineering…or just maybe some phenomenon than a “living” star could manage.
Greg: The differences between disc star velocities and others in the Antoja et al paper is fascinating. I don’t think it bears on Parenago unless somehow large diffuse nebula were created in the galactic merger. These could have perhaps caused differential velocities between massive and less massive stars. But such nebula would have to be perhaps an order of magnitude larger in radius than those in today’s galaxy to encompass a stellar sphere with a radius in excess of 1,000 light years. A further problem is that these structures would have to dissipate in less than 1 billion years, leaving no trace.
But your suggestion of using future Gaia data releases to dig deeper in stellar kinematics is excellent. I hope that someone will check if Parenago’s Discontinuity works for a star sample at a distance, say, of 10,000 light years.
I have done some rough calculations to see if a directional stellar wind or directional coronal mass ejections (CMEs) could accelerate a Sun-mass star by about 1,000 m/s in 1 billion years. Both seem to fail by a few orders of magnitude. But it is most intriguing that stellar flares (and presumably CMEs) are more common in less massive red dwarfs than in Sunlike stars.
Alex: BoE calculation for thrust of solar wind:
For our sun, redirecting the solar wind to a single direction would only result in the sun traveling ~3 m/s after 1 billion years. However, if the particles were accelerated by 3 orders of magnitude to c, that increases the velocity to 3 km/s. Over 5 billion years, that gets you to 15 km/s, which is in the range of the V needed for the Parenago Discontinuity graph. So physically possible. My first thought is that this would be an engineering solution, rather than a natural one – that is K2 – K3 civilizations. The bias in my thinking is that only human engineering can create craft that can travel at supersonic and hypersonic speeds. Birds cannot even manage 0.1 km/s, while our engineering can propel craft in air 1-2 orders of magnitude faster.
I do have a question about the relative emissions of EM and particles from different stellar types. Isn’t the mass loss vs initial star mass going to be the basically the same for all stellar types? If so, wouldn’t all stellar types reach the same velocity by the time they reach the end of their main sequence period? The Parenago Discontinuity relationship suggests mass or age is important, which implies that the acceleration must be approximately constant for all stars. This would imply, naively perhaps, a force more like gravity, that is exerted over the age of the star. It cannot be a point source outside the galaxy; otherwise the rotation of the galaxy would keep changing the direction of the force. Could it possibly be invoked by the [dark] matter in or surrounding the galaxy? Can this force be computed to suggest a possible cause?
Greg: Very interesting speculation. It’s so funny–we needed Gaia to get beyond a few hundred light years. And this early paper of Gaia results (and I am sure many others) will inspire people to generate designs for even more capable space observatories. It seems that every question we investigate and answer results in hundreds of new questions.
I would hesitate to invoke dark matter. It seems to be a catch-all for everything not understood in the universe. I will check out mass loss rates for distant star types. But I don’t know if we have reliable data.
Alex: What is relevant is whether the acceleration is related to stellar type or not. A large, hot star may lose a lot of mass, but it has to accelerate a more massive object. If a star loses X% of its mass over its lifetime, and if the wind speed is fairly uniform across such stars then the final velocity should be much the same for all star types over their lifetimes. The PD requires that this is not the case.
Greg: I just did a Google for “Mass Loss from Main Sequence Stars”. Apparently, this quantity directly depends upon star surface temperature.
I think our dialog has been very fruitful. When I submitted my first paper on the subject to the Journal of the British Interplanetary Society, I had to contend with 4 reviewers. Some of these favored the concept of stellar volition but argued about the inclusion of psychokinetics as a possible explanation. I am neutral regarding this topic, as I have discussed but I am still impressed by the vehemence of the arguments pro and con decades after the Geller/Randi affair. So the fact that accelerated CMEs can provide acceleration of G-type stars (as I agree after a few calculations) indicates that there is an alternative option. I will at some point write up my work on accelerated CMEs and send you the results.
Late this afternoon, weather permitting, we will journey to the Hayden Planetarium, which is hosting a Dutch astronomer who will talk about the latest Gaia results on galactic stellar kinematics. I suspect that Parenago’s Discontinuity is not on the agenda, but I will let you know.
Alex: I note that the Gaia data include all the information needed to create samples of stars within a radius of a position. This could be used to explore the type/mass vs V graphs at the higher granularity that I suggested, particularly radius from the galactic center. This would help confirm that the Parenago Discontinuity is truly global within the dataset and not some averaging, or whether there is spatial structure to the distributions. It may take some computational effort, but it might shed light on possible natural explanations of the PD observation. Sample sets would be easy to crunch on a PC, and the results compiled as a map. For example, the slope of V vs type or mass as a color-coded map.
I was also thinking about the gravity solution. It may work if a point object makes continual passes in the galactic plane. Older stars would experience more passes and if V is due to gravity dragging the stars along during a pass, then this would account for their higher V. A prediction would be that the slope of V would depend on how far from the source the stars are. Dare I say a denser clump of dark matter in a highly elliptical orbit about the galactic center? Data and some modeling would be needed to test this idea.
Out of this discussion, Greg Matloff incorporated many of Alex Tolley’s contributions and produced the short essay below looking at how stars could be accelerated to account for the Parenago Discontinuity.
Physical Methods of Effecting Main Sequence Star Acceleration
Greg Matloff, Nov. 16 2018
Using the Gaia DR1 dataset, Vityazev et al. have investigated Parenago’s Discontinuity for a sample of 1,260,071 main sequence stars [1]. The minimum mean distance for O-k stars in this data release is estimated as 0.15 kiloparsecs, which indicates that the diameter of the sphere containing the subject stars equals or exceeds 1,000 light years. Local explanations for Parenago’s Discontinuity clearly fail.
The analysis reveals that Parenago’s Discontinuity is real. Stars redder than (B-V) about equal to 0.6, which corresponds to spectral class F9 or G0 move faster in their orbits around the center of the Milky Way galaxy than hotter, more massive, bluer stars. Their results are in substantial agreement with the results from Allen’s Astrophysical Quantities and Hipparcos data for a much smaller stellar sample (with a diameter of about 500 light years) presented by Matloff [2].
But Vityazev et al. discuss for the first time a feature present in both data sets. Main Sequence stars apparently speed up in their galactic trajectory as they age. This velocity increment amounts to an increase of about 2 km/s in 8 billion years. The acceleration is approximately equal to 8 X 10-15 m/s2. For a solar-mass star (2 X 1030 kg), the average force exerted on or by the star during the 8 billion year time interval is 1.6 X 1016 N.
Reference 2 presents a number of possible causes for the discontinuity in galactic stellar orbital velocity around (B-V) = 0.6. The analysis presented here considers possible mechanisms that a star might employ to maintain a constant acceleration over a multi-billion year time interval.
1. Acceleration by Nonisotropic Stellar Electromagnetic Emissions
Consider here the possibility that a minded star can control the direction of its electromagnetic emissions. The solar luminosity (Lsun) is 3.9 X 1026 W [3]. Modifying Eq. ((7.2) of Ref. 4, the maximum stellar-radiation pressure acceleration for a Sun-mass star (Msun) is Lsun/ (Msun c) for a unidirectional stellar wind, where c is the speed of light in vacuum (3 X 108 m/s). Substituting in this equation, the maximum solar acceleration from this process is about 7 X 10-13 m/s2.
This acceleration is about 100 times the required stellar acceleration to effect the 1 km/s during a 1-billion year time interval. But if the Sun accelerates using this process, the Solar Constant might vary on an annual basis by up to 1%. Solar Luminosity has been measured to vary by a much smaller amount during the Sun’s 11-year activity cycle.
But the Sun and other main sequence stars generate neutrinos as well as photons as they convert hydrogen into helium deep in the solar (stellar) interiors [3]. Neutrinos have linear momentum as well as very small mass. The solar momentum flux is hard to study because of the very low cross-section of neutrino interactions with detectors. Perhaps stellar neutrino fluxes are not isotropic.
2. Acceleration by Nonisotropic Solar Wind
From Ref. 3, p. 427, the average solar wind velocity is 500 km/s (5 X 105 m/s) and the solar wind carries about 2 million tons of solar matter per second (2 X 109 kg). If all of this material were concentrated in a unidirectional jet, the force exerted on the Sun or Sunlike star is 1015 Newtons. This force is 1/16 the force required for stellar acceleration. This proposed method of stellar acceleration therefore fails.
3. Acceleration by Coronal Mass Ejections
Coronal mass ejections (CMEs) are generally associated with solar flares. Their frequency varies with the solar activity cycle. On average, the mass ejected by CMEs in a Sunlike star amounts to a few percent of the mass ejected in the solar wind and the velocity of a typical CME varies from a few hundred km/s to a few thousand km/s [5]. Unidirectional flares therefore fail as a stellar accelerating mechanism.
4. Acceleration by an Accelerated Solar Wind
Consider next the possibility that a minded Sunlike star can apply its magnetic field to accelerate a unidirectional solar wind to 0.1c (3 X 107 m/s). For the solar wind mass listed above, the kinetic energy of the jet is approximately 1024 W, which is less than 1% of the solar constant. If all of the solar wind is in the jet, the approximate force on the star is 6 X 1016 N. This is about 4X greater than the average force required to accelerate the star.
5. Might the Gravitational Constant of Galactic Mass Vary With time?
Elementary physics students learn that the velocity of an object orbiting a central body varies directly with the square root of the product of the central body’s mass and the Universal Gravitational Constant G. It might be argued that increases in galactic mass or G over billion-year time scales might account for the higher galactic-orbital velocities of older stars.
Surprisingly, as reviewed in an on-line essay by Rupert Sheldrake, experimental measurements of G show some variation [6]. But according to Lorenzo Iorio, such variations are likely caused by experimental errors because the orbits of solar system planets seem relatively constant [7].
A recently published study based upon the Gaia data set demonstrates that within the last 900 million years, at least one dwarf galaxy has passed through and possibly merged with the Milky Way [8]. So it is safe to conclude that the mass of our galaxy may not be constant over multi-billion-year time scales.
But it seems unlikely that either of these two variations can account for the reported increase in stellar galaxy-orbiting velocity with star age. After all, stellar birth nebulae orbit the Milky Way galaxy’s center as do the stars. Infant stars will therefore be accelerated in the same fashion as mature stars by such variations.
6. Conclusions
We see that several of the above suggestions succeed as possible methods of main sequence star acceleration. Perhaps the most intriguing, and the one that might inspire future research, is the possibility that stellar neutrino emissions need not be isotropic.
Psychokinetic (PK) effects have not been considered in the above treatment. Although it is unwise to eliminate PK from consideration for this application and others, it is wise to keep a distance until/unless it can be demonstrated in the laboratory in experiments that can be replicated by other researchers, including skeptics.
Acknowledgement
I greatly appreciate communications and interactions with Alex Tolley. His spirited comments and criticisms were instrumental in preparation of the above discussion.
References
1. V. V. Vityazev, A. V. Popov, A. S. Tsvetkov, S. D. Petrov, D. A. Trofimov and V. I. Kiyaev, “New Features of Parenago’s Discontinuity from Gaia DR1 Data”, Astronomy Letters, 44, 629-644 (2018).
2. G. L. Matloff, “Olaf Stapledon and Conscious Stars: Philosophy or Science?”, JBIS, 65, 5-6 (2012).
3. E. Chaisson and S. McMillan, Astronomy Today, 6th ed., Pearson/Addison-Wesley, San Francisco, CA (2008).
4. G. L. Matloff, Deep Space Probes, 2bd. ed., Springer-Praxis, Chichester, UK (2005).
5. P. Odert, M. Leitzinger, A. Hanslmeier, and H. Lammer, “Stellar Coronal Mass Ejections I. Estimating Occurrence Frequencies and Mass-Loss Rates”, arXiv:1707.02165v2 [astro-ph.SR] 31 Jul 2017.
6. R. Sheldrake, “How the Universal Gravitational Constant Varies.”, www.sheldrake.org. Also in R. Sheldrake, Science Set Free, Deepak Chopra Books, NY (2012).
7. L. Iorio, “Does the Newton’s Gravitational Constant Vary Sinusoidally with Time? Orbital Motions Say No”, arXiv:1504.07233v2 [gr-qc] 16 Dec 2015.
8. T. Antoja, A. Helm, M. Romero-Gomez, D. Katz, C. Babuslaux, R. Drimmel, D. W. Evans, F. Figueras, E. Poggio, C. Reyle, A. C. Robin, G. Seabroke, and C. Soubiran, “A Dynamically Young and Perturbed Milky Way Disk”, arXiv:1804.10196v2 [astro-ph.GA] 24 Sep 2018.
———
The Vityazev et al. paper is “New Features of Parenago’s Discontinuity from Gaia DR1 Data,” Astronomy Letters, Volume 44, Issue 10 (October 2018), pp 629–644 (abstract).





April 25, 2019
An Earth-sized Planet for TESS
If Kepler’s task was to give us a first statistical cut at the distribution of exoplanets in the galaxy, TESS (Transiting Exoplanet Survey Satellite) has a significantly different brief, to use its four cameras to study stars that are near and bright. Among these we may hope to find the first small, rocky planets close enough that their atmospheres may be examined by space telescopes and the coming generation of extremely large telescopes (ELTs) on Earth.
Thus the news that TESS has found its first planet of Earth size is heartening, even if the newly found world orbiting HD 21749 is in a tight 7.8 day orbit, making it anything but clement for life. What counts, of course, is the demonstrated ability of this mission to locate the small worlds we had hoped to find. Diana Dragomir is a postdoc at MIT’s Kavli Institute for Astrophysics and Space Research, as well as lead author on the paper describing the latest TESS planet:
“Because TESS monitors stars that are much closer and brighter, we can measure the mass of this planet in the very near future, whereas for Kepler’s Earth-sized planets, that was out of the question. So this new TESS discovery could lead to the first mass measurement of an Earth-sized planet. And we’re excited about what that mass could be. Will it be Earth’s mass? Or heavier? We don’t really know.”
Image: NASA’s Transiting Exoplanet Survey Satellite (TESS), shown here in a conceptual illustration, will identify exoplanets orbiting the brightest stars just outside our Solar System. Credit: NASA’s Goddard Space Flight Center.
Dragomir considers the new planet around HD 21749, some 52 light years from Earth, a milestone in being the mission’s first planet of Earth size, though the expectation is for at least a few dozen more among the nearest and brightest stars as TESS continues sweeping the sky in overlapping sectors. This is a two-year mission that has already discovered 10 planets smaller than Neptune, four of which now have estimated masses. We’re in the early days of this mission, and that’s a good sign. As noted in the paper, “All of these discoveries are based on only the first two sectors of TESS data, suggesting many more are to be found.”
The star is a K-class dwarf in the southern constellation Reticulum that is known to host a second planet, recently confirmed, that is about three times the size of Earth. The paper reports on the discovery and confirmation of HD 21749b and the discovery of HD 21749c, but it is the latter, given its small size, that is receiving the lion’s share of coverage.
The paper notes that spectroscopic and photometric data have made the confirmation of the larger planet possible, while the Earth-sized HD 21749c would be a challenging observation for radial velocity confirmation, if possibly feasible with a dedicated campaign using the combination of the Very Large Telescope (VLT) and the ESPRESSO spectrograph. But density measurements of both planets should be useful. From the paper:
…the density of HD 21749b indicates that it is likely surrounded by a substantial atmosphere. By measuring the density of these two planets (and other similar planets that TESS may find) more precisely, we can begin to observationally constrain the maximum core mass a planet can reach during its formation before accreting a volatile envelope.
The paper is Dragomir et al., “TESS Delivers Its First Earth-sized Planet and a Warm Sub-Neptune,” Astrophysical Journal Letters Vol. 875, No. 2 (15 April 2019. Abstract.





Paul Gilster's Blog
- Paul Gilster's profile
- 7 followers
