Paul Gilster's Blog, page 43
September 7, 2021
The Unusual Prescience of Edgar Allen Poe

Writing about Karel Čapek, as Milan Ćirković did in our last entry, spurs me to note that the BBC has an interesting piece out on Čapek called The 100-year-old fiction that predicted today. It’s a fine essay delivered by Dorian Lynskey on both Čapek and the Russian writer Yevgeny Zamyatin, whose influential novel We shared a birth year of 1921 with Čapek’s R.U.R. If Čapek gave us robots, it could be said that Zamyatin gave us the modern dystopia. “If you have had any experience with science fiction,” writes Lynskey, “you will probably have imbibed some trace elements of RUR and We.”
I will defer on Zamyatin, for I suspect that Dr. Ćirković has thoughts about him that will appear in a future essay here. However, looking toward the origins of ideas has me thinking about another literary figure, the American writer and critic Edgar Allen Poe. Always known for his tales of the macabre, Poe (1809-1848) more or less invented the detective story, but he was also influential in the origins of what would become science fiction. Beyond that, however, his thinking about cosmology was oddly prescient, and offers a 19th Century take on what would come to be called the Big Bang.
Olber’s paradox seems to have been what jogged his thinking on the matter. A German astronomer, Heinrich Wilhelm Olbers (1758-1840) took note of an observation that had long preceded him, that an eternal infinite universe should have a bright night sky. Every line of sight should carry photons from a star if stars were randomly distributed. I learned in my research for this piece that the astronomer Thomas Digges (1546-1595), who believed in an infinite cosmos, was also puzzled by the appearance of a dark night sky, as was Johannes Kepler, who pondered how to resolve the problem in 1610.
Various explanations for the dark sky would emerge, including the idea that light could run out of energy over long enough distances (this was Digges’ thought), or that the supposed ‘ether’ in interstellar space might absorb light, but it was Poe who tackled the question is an utterly novel way in a work called Eureka: A Prose Poem (1848), originally conceived and delivered as a lecture at New York’s Society Library in February of 1848. In this earnest essay he would write that some light in the universe had simply not yet had time to reach us. He acknowledges that this wasn’t a thesis that could be proven with the science of the time, but he finds the case compelling:
Were the succession of stars endless, then the background of the sky would present us an uniform luminosity, like that displayed by the Galaxy—since there could be absolutely no point, in all that background, at which would not exist a star. The only mode, therefore, in which, under such a state of affairs, we could comprehend the voids which our telescopes find in innumerable directions, would be by supposing the distance of the invisible background so immense that no ray from it has yet been able to reach us at all. That this may be so, who shall venture to deny? I maintain, simply, that we have not even the shadow of a reason for believing that it is so.
A universe infinite in age and space would be one in which light, from no matter what distance, would have had time to reach the Earth, leading to the speculation that the universe was finite in time, an idea not highly regarded in that era. Indeed, we can take the idea of an infinite universe back to the ancient Greeks, and it’s worth remembering, given the veneration in which he was held in Poe’s lifetime, that Isaac Newton supported a universe of infinite space and, in the thinking of many, infinite time, one that Olbers’ paradox seemed to challenge. In this sense, Poe is strikingly modern.
Poe’s is a universe that was not always there, and moreover, one that is growing. For even more modern, given that we are decades before Hubble’s discovery of galactic red shift, Einstein’s flirtation with and final rejection of a ‘cosmological constant,’ and Georges Lemaître’s conception of an expanding universe, is Poe’s notion of what he called a ‘primordial particle.’ It’s a bit reminiscent of Lemaître’s ‘cosmic egg,’ though of course without any data to back it up. Here is another quote from Eureka:
We now proceed to the ultimate purpose for which we are to suppose the Particle created—that is to say, the ultimate purpose so far as our considerations yet enable us to see it—the constitution of the Universe from it, the Particle.
And a bit later:
The assumption of absolute Unity in the primordial Particle includes that of infinite divisibility. Let us conceive the Particle, then, to be only not totally exhausted by diffusion into Space. From the one Particle, as a centre, let us suppose to be irradiated spherically—in all directions—to immeasurable but still to definite distances in the previously vacant space—a certain inexpressibly great yet limited number of unimaginably yet not infinitely minute atoms.
Lemaître referred to his own “hypothesis of the primeval atom,” as does Poe. In the latter, we have origin in a particle that can, by infinite divisibility, diffuse itself into space. Poe, of course, had no notion of ‘spacetime,’ as it would later be known thanks to the work of the mathematician Hermann Minkowski, who united space and time in a four-dimensional space-time in a famous 1908 paper. It was this idea of a spherically growing universe, however, that gave Poe his intuition about Olbers’ paradox.
He takes it a good bit further. Poe’s unitary particle exploded to fill the universe with diffuse matter. Gathering into clouds, this matter condensed to become stars and planets. As Poe saw it, gravity would wrestle with a principle of vitality and thought that, confusingly enough, he called electricity, which created life. But the universe’s end was clear: Gravity would pull it back together into a new primordial particle.
For a good deal more on Poe’s role in 19th Century thinking, John Tresch’s book The Reason for the Darkness of the Night: Edgar Allan Poe and the Forging of American Science (Farrar, Straus and Giroux, 2021) is of obvious relevance to our theme. Tresch picks up on Poe’s cyclic cosmos, saying of Eureka:
Poe and Science FictionEureka was one of the most creative, audacious, and idiosyncratic syntheses of science and aesthetics in nineteenth-century America. Its capitalized phrase the “Universe of Stars” may suggest a parallel with the “United States.” The book’s effort to establish a balance between individuality and unity, between equality and difference — its declaration of interdependence — could be read as a restatement of his nation’s enduring tensions. But if this was an allegory of America, the road Poe saw ahead would oscillate between paradise and inferno while somehow keeping both in view — “an idea which the angels, or the devils, may entertain.”
I mentioned above that Poe had also played around the edges of what would become science fiction. Indeed, in the first issue of Amazing Stories in 1926, editor Hugo Gernsback would describe the kind of tale to be presented therein as “the Jules Verne, H G Wells, and Edgar Allan Poe type of story.” This was by way of introducing what Gernsback called ‘scientifiction’ to a wide audience after earlier tales in his science and radio-themed magazines, and was taken as a kind of declaration. Gernsback pointed to Amazing Stories as “A New Sort of Magazine.”
There are various ways to date science fiction’s emergence, and I tend to favor Brian Aldiss’ view that it was Mary Shelley who started the ball rolling with her 1818 novel Frankenstein (and we can add her 1826 offering The Last Man as well), though SF origins take us into territory where argument is rife. Some critics cite Poe’s 1835 tale “The Unparalleled Adventure of One Hans Pfaall” as science fictional. But it was Poe’s “Mellonta Tauta” (1849) that SF writer and scholar James Gunn once declared the first modern science fiction story, though it’s a lightweight piece of work.
The title is Greek for something like “things of the future” and the tale describes the world of 2848 as seen through the eyes of a narrator named Pundita, who travels aboard an exotic airship. The story is chaotic and hops about between what are meant to be diary entries, casting an eye back on the era in which Poe wrote, as well as other episodes in human history. Much 19th Century knowledge has been lost, so that the narrator puzzles over things that are obvious and wields a satirical blade in examining current follies.
Here too we have a bit of astronomy, no particular surprise. In “Hans Pfaall” he had drawn heavily on John Herschel’s 1833 Treatise on Astronomy. As a boy he already had a telescope and is said to have excelled in the subject at Richmond Academy. An entry in the journal that frames “Mellonta Tauta” describes stellar motion:
Last night had a fine view of Alpha Lyræ, whose disk, through our captain’s spy-glass, subtends an angle of half a degree, looking very much as our sun does to the naked eye on a misty day. Alpha Lyræ, although so very much larger than our sun, by the by, resembles him closely as regards its spots, its atmosphere, and in many other particulars. It is only within the last century, Pundit tells me, that the binary relation existing between these two orbs began even to be suspected. The evident motion of our system in the heavens was (strange to say!) referred to an orbit about a prodigious star in the centre of the galaxy. About this star, or at all events about a centre of gravity common to all the globes of the Milky Way and supposed to be near Alcyone in the Pleiades, every one of these globes was declared to be revolving, our own performing the circuit in a period of 117,000,000 of years!
And so on. There is satire within, and perhaps a swipe at the emerging ideas of Marx and Engels, for Pundita describes a society without individualism and laces her tale with skepticism about 19th Century science even as she describes future technologies. Poe’s interest in cosmology is obviously more clearly stated in Eureka, but “Mellonta Tauta” is an interesting curiosity. First published in Godey’s Lady’s Book in February 1849, it rather fascinatingly tells of the discovery of a stone monument to George Wsahington from the 1900s and amusingly interprets it through the eyes of the future in ways science fiction writers have exploited ever since.

Image: A bound volume containing six issues of Godey’s Lady’s Book, including the February 1849 issue that featured the first printing of Poe’s “Mellonta Tauta.” Credit: Worthpoint.
So Poe has to be added into the cabinet of historical curiosities regarding the emergence of both science fiction and modern conceptions of cosmology. There is a wonderful analysis of Poe’s science fictional elements in the online Science Fiction Encyclopedia that examines quite a few Poe stories in this light. In the 101st issue of the Australian science fiction fanzine SF Commentary, edited by Bruce Gillespie, Russell Blackford makes an interesting point about where the story’s true influence may lie in an essay called “Science Fiction as a Lens into the Future”:
The story… sheds doubt on historians’ confident interpretations of the practices of other peoples living in earlier times. It is full of jokes, many of which are puzzling for today’s readers, and even when they’re explained it is often difficult to be sure exactly what ideas Poe is putting forward and which he is satirising. (Other material that Poe wrote about the same time suffers from the same problems of interpretation.) Nonetheless, Poe laid a foundation for the development of satirical science fiction set in future, greatly altered societies.
Blackford’s essay is a gem, as are many things in the long-lived SF Commentary, whose editor is, thankfully, still active and apparently inexhaustible. Issue No. 1, after all, goes back to 1969, and is also available online, along with the complete corpus in between. I wouldn’t miss an issue.

September 3, 2021
Robot at 100

If biological life gives way to its own creations, should we adjust our SETI outlook to include entire civilizations composed of artificial intelligences? A postbiological culture was certainly on the mind of the Czech writer Karel Čapek (1890-1938), whose work is the subject of today’s essay by Milan Ćirković. It’s a good time to reassess this author as we careen toward what may or may not be a ‘singularity,’ when digital intelligence elcipses our own. As Ćirković explains, Čapek was an utterly indefatigable writer whose work is less well known in the west than it should be given its significance not only to science fiction but the study of the future. Dr. Ćirković is a research professor at the Astronomical Observatory of Belgrade, the author of numerous research and professional papers as well as three research monographs and four books, the most recent of which is The Great Silence: The Science and Philosophy of Fermi’s Paradox (Oxford University Press). Read on to learn about the life and work of a key figure in our conception of the human, and post-human, future.
by Milan Ćirković

This year marks a century since the world premiere of Karel Čapek’s drama R.U.R. in the town of Hradec Králové in the Czech Republic. By that very fact, it marks a century of the word “robot” which has spread into all world languages from the very title of Čapek’s drama, since the latter is an initialism standing for Rossumovi Univerzální Roboti in the Czech original (meaning Rossum’s Universal Robots). It is the name of the megacorporation responsible for introduction of robots as a cheap and versatile workforce, and – no big spoiler there, considering how famous and even canonical the drama has become – ultimately responsible for the extinction of the human species.
According to an interview given to a Czech newspaper more than a decade later, the true creator of the word was Karel’s brother, Josef, a talented painter and poet. While Karel could not decide what to call artificial people, Josef (who lived with him at the time) suggested the work “robot” coming from robota, meaning hard work, usually done involuntary in serfdom. A similar word, denoting labour or hard work, is present in all Slavic languages (e.g., “робота” in Ukrainian, “rabota” in Serbian and Croatian, etc.). Formally, of course, one could argue that the word was coined in 1920, when the drama was written, and Karel’s conversation with Josef took place, but the neologism began to spread only after the premiere in 1921.

R.U.R. is arguably still the most important and the best written science fiction play ever. It is far from being Čapek’s only claim to fame, however. On the contrary, he was extremely, unbelievably, fantastically prolific for a man of lifelong poor health who died at 48. He wrote a dozen novels, hundreds of short stories in all genres, a book on gardening, 5 books of letters describing various travels all over Europe, children books, literally thousands of newspaper articles, essays, vignettes, and Borges-like “apocrypha”. His novels, both realistic (Hordubal, Meteor, Ordinary Life, Life and Work of the Composer Foltýn) and SF (Krakatit, The Absolute at Large, and his most significant work, War with the Newts) are all very complex affairs, full of difficult philosophical and psychological ideas, but also mostly ironic and often spiced with Monty-Pythonesque black humor.
His work was extraordinary popular all across Europe between the world wars, especially among people of the Enlightenment tradition, frightened by the rise of mass-murdering totalitarianism in Italy, Germany, and the Soviet Union. He was repeatedly nominated for the Nobel Prize in literature, but according to the since uncovered documents, his fierce anti-totalitarian stance made him a politically undesirable laureate for the (always politically shy) Swedish academy. A self-identified radical centrist, Čapek viscerally hated nationalism and nationalism-inspired tyrranies, such as those of Mussolini and Hitler, and he openly mocked the latter’s pretensions in War with the Newts; he also deeply despised communism and called it the surest road to total economic and cultural impoverishment.
The Munich Agreement, signed on September 30, 1938, effectively enabled the destruction of Czechoslovakia by the Nazis, first by cessation of the so-called Sudetenland, and subsequently by occupation of the rest of the country by March 15, 1939. The occupation was followed by immediate imposition of all the measures of totalitarian terror, destruction of Czech institutions and culture, bloody purges, arrests, deportations, etc. Čapek was perhaps fortunate not to be able to see such a horrible denouement; he died on December 25, 1938, apparently a consequence of a sudden heart attack while working in his garden. By a dark irony worthy of Kafka, or indeed Čapek himself, the Nazi occupiers ordered his arrest and transfer to a concentration camp a few months later, while unaware (“an administrative error”) that he was already deceased. Josef Čapek was arrested and later murdered in the infamous Bergen-Belsen concentration camp.
To return to R.U.R., there is some debate on the proper conceptualization of Čapek’s robots. The author himself contributed to this, since he maintained a kind of delightful ambiguity between the “natural” and the “artificial”, which was a kind of philosophical point with him. In a subsequent letter, whose English translation was published in Science Fiction Studies, he insisted on biological substrate as the basis of his androids, imagined as “biological machines”, rather than the metallic creations we continue to associate with the concept of a machine.
In the final analysis, the nature of the substratum is irrelevant: even if we did not know it in the 1920s, we are confident now that life is just biochemical machinery of high complexity. Just a couple of years after Čapek’s drama had its world premiere, the first serious hypotheses about the origin of life in a completely naturalistic manner were put forward by Alexander I. Oparin and John B. S. Haldane. They were considered speculative (if not, ironically, more science fiction than science) until, a few decades later, when an ambitious graduate student named Stanley Miller and his mentor Harold Urey performed what was perhaps the most spectacular and most important experiment of the 20th century. In the analog simulation of Earth’s early, reducing atmosphere, Miller and Urey achieved synthesis of many organic compounds, including vital amino acids (and many more were discovered decades later in the original samples by Miller’s student Jeffrey Bada). This and many subsequent developments in the abiogenesis studies showed how easy abiogenesis probably is in the realistic situations where many millions of years and huge spatial volumes/surface areas are available. Therefore, even the “rare Earth” theorists have consistently argued that simple life is probably ubiquitous throughout the universe. And from the information view of life, the substrate is positively irrelevant.
Obviously, the heritage of R.U.R. is not all roses – after all, bots of internet infamy are just a shortening of robots. And while the robot rebellion is unlikely to take such a melodramatic form as in Čapek’s drama, the threat of making humans irrelevant in the work market or even entirely superfluous looms large. Ultimately, all worries about the AI risk, as elaborated in such a brilliant book as Nick Bostrom’s Superintelligence, follow from the apocalyptic vision of R.U.R. and its prototypical Robot Rebelion.

The drama is highly relevant today for some additional reasons, however, notably for study of the future as well as the astrobiology/SETI field. It offers a first glimpse of postbiological evolution, which is likely to be the dominant form of evolution in the universe in the fullness of time, as suggested, since about the turn of the century, by diverse authors such as Steven J. Dick, John Smart, Juan Chela-Flores, Anders Sandberg, Abraham Loeb, Joseph Voros, and others. Until we accept the (transhumanist?) premise that the design space of postbiological evolution is much larger still than the design space of the good ol’ biological one, our way of conceptualizing searches for bio- and especially technosignatures will be seriously limited.
Image: A first edition of the play, with cover designed by Josef Čapek. Aventinum, Prague, 1920. Credit: Wikimedia Commons.
Perhaps the most valuable legacy of R.U.R. is, in fact, its thought-provoking ethical ambiguity, which clearly follows from Čapek’s wedding of a deeply understood evolutionary perspective with his unquenchable humanism. Superficially, it’s an unsolvable dilemma: if one understands evolution, one has to admit that humans and all their creations are emergent, but ephemeral, accidents. Humans are mammals; all mammal species last a couple of million years before going extinct. On the opposite side, humanism tells us that our creations and values carry a spark of persistence, if not true immortality.
A solution, as Čapek powerfully intuited, is a kind of postbiological evolution. If present-day humans become obsolete, the process undoubtedly quickened by our many flaws, this need not mean that our creations cannot and indeed ought not succeed us. Technically speaking, Čapek’s robots commit the ultimate genocide – and yet, strangely enough, we do not feel offended or enraged by such a turn of events (neither does the last surviving human protagonist of the drama, who helps the robots with procreation). Something new and wonderful is happening in the universe.

September 2, 2021
Deep Space Network: A Laser Communications Future

Recent updates to the Deep Space Network have me thinking about the data capabilities of laser communications, and how they will change the way missions operate. In late October, a payload called the Laser Communications Relay Demonstration (LCRD) is scheduled for launch aboard an Atlas V from Cape Canaveral. LCRD will begin its work by receiving radio frequency test signals from the mission operations center and responding with optical signals. Ultimately, the mission should be able to receive data from other missions and relay to the ground.
What we have here is NASA’s first technology demonstration of a two-way laser relay system, one that will test laser capabilities to find out, for example, about the potentially disruptive effect of clouds. Because optical signals cannot penetrate them, plans are for LCRD to transmit data from missions to separate ground stations, one in Table Mountain, California and the other at Haleakalā in Hawaii, both chosen because of their low degree of annual cloud coverage.
Also slated for late 2021 is the Terabyte Infrared Delivery (TBIRD) mission, which will demonstrate laser downlinks of 200 gigabits per second, again enlarging the agency’s capabilities at designing laser systems for small satellites.

Image: The Laser Communications Relay Demonstration payload is attached to the LCRD Support Assembly Flight (LSAF), which can be seen in this image. The LSAF serves as the backbone for the LCRD components. Attached to the LSAF are the two optical modules, which generate the infrared lasers that transmit data to and from Earth. A star tracker is also attached here. These components are visible on the left side of this image. Other LCRD components, such as the modems that encode data into laser signals, are attached to the back of the LSAF. Credit: Goddard Space Flight Center.
All of this is by way of looking at how communications are evolving, and how capacity must grow with technology, for the 39 missions the Deep Space Network regularly supports are scheduled to be joined by another 30 NASA missions in development. The network’s tracking antennas are found at Goldstone (near Barstow, CA), in Robledo de Chavela, Spain; and in Canberra, Australia. Two new antennas have added capacity, taking the DSN from 12 to 14. You can track ongoing operations on the DSN on this mesmerizing page.
You’ll recall the issues with DSS-43, the 70-meter DSN antenna at Canberra (see Voyager 2: Back in Two-Way Communication). This is the only southern hemisphere dish with a transmitter in the needed S-band frequency range and powerful enough to send commands to Voyager 2, and it took 11 months of upgrades to resolve problems with its aging equipment. Voyager 1 is able to communicate through the two northern hemisphere DSN stations, but Voyager 2’s course following the Neptune encounter in 1989 was pushed well south of the ecliptic.
JPL’s Brad Arnold is manager of the Deep Space Network:
“The refresh of DSS-43 was a huge accomplishment, and we’re on our way to take care of the next two 70-meter antennas in Goldstone and Madrid. And we’ve continued to deliver new antennas to address growing demand – all during COVID-19.”

Image: DSS43 is a 70-meter-wide (230-feet-wide) radio antenna at the Deep Space Network’s Canberra facility in Australia. It is the only antenna that can send commands to the Voyager 2 spacecraft. Credit: NASA/Canberra Deep Space Communication Complex.
The upgrades are occurring at a time when data flowing through the network has grown by a factor of 10 since the 1960s, with the prospect of much higher data volumes to come. Hence the interest in optical strategies to enable higher-bandwidth communication. Improvements in automation allow operators to oversee multiple links to spacecraft simultaneously, so the sequencing and execution of tracking passes can be fully automated. While waiting for optical methods to mature, the network is also using new protocols for the reception of multiple signals from a single antenna, splitting them in a digital receiver as a way to boost network efficiency.
When it comes to the data overload problem, laser communication is the next step, and the groundwork has continued during the past decade. In 2013, the Lunar Laser Communications Demonstration (LLCD) used a laser signal to enable fast upload and download rates (600 megabits per second) on two simultaneous high-definition video channels. LLCD was followed in 2014 by the Optical Payload for Lasercomm Science (OPALS) experiment, a demonstration onboard the International Space Station. 2017 saw the Optical Communications and Sensor Demonstration mission (OCSD), in which high-speed laser communications were demonstrated via downlink from a CubeSat to ground stations.
Meanwhile, we can look forward to the Psyche mission, scheduled for launch in 2022, in which the onboard Deep Space Optical Communications (DSOC) payload will test laser communications in a mission to an asteroid 240 million kilometers away.
We get serious advantages not just in terms of bandwidth but also in transmission and reception of signals by going this route. The diffraction rate of a radio signal is determined by the wavelength of the signal divided by the diameter of the antenna. Push into higher frequency ranges and the signal becomes narrower, offering advantages in a crowded spectrum. The DSS-43 communications with Voyager 2 make the issues stark. Because of beam diffraction, the Voyager signal now swells to over a thousand times the diameter of the Earth.
Putting this into more futuristic terms: A 20-watt laser signal beamed back to Earth from Alpha Centauri via an installation about the size of the Hubble Space Telescope would reach us. Our current capabilities extend out into the Kuiper Belt, but star-to-star is out of the question. Back in 1989, the signal we received from Voyager 2’s 23 watts was twenty billion times weaker than the power it would take to operate a digital wristwatch, yet the DSN could pluck the signal out of deep space to deliver the data. If we had a Voyager 2 entering Alpha Centauri space, its signal would be 81 million times weaker than that. Going interstellar means going to lasers.
And beyond that? Claudio Maccone has demonstrated mathematically what might be done with a communications relay at the Sun’s gravitational focus beyond 550 AU. Going more futuristic still, a network of interstellar communications could one day grow from similarly placed relays around nearby stars. The efficiencies of a network like that — if we can find a way to put one in place — are breathtaking. See The FOCAL Radio Bridge for more.
On the laser signal at Alpha Centauri, see Lesh, C. J. Ruggier, and R. J. Cesarone, “Space Communications Technologies for Interstellar Missions,” Journal of the British Interplanetary Society 49 (1996): 7–14. For more on gravitational lensing and communications, see Maccone, “Interstellar Radio Links Enhanced by Exploiting the Sun as a Gravitational Lens,” Acta Astronautica Vol. 68, Issues 1-2 (January-February 2011), pp. 76-84 (abstract/full text).

September 1, 2021
Odd Find: An Ancient Brown Dwarf?

The brown dwarf WISEA J153429.75-104303.3 — happily nicknamed ‘The Accident’ — is peculiar enough that it may point to a rare population of extremely old brown dwarfs. Dan Caselden, a citizen scientist who built an online program to filter data from the NEOWISE spacecraft, is able to highlight brown dwarfs moving through the NEOWISE field with his software, and while looking at one, he caught a glimpse of another. Call that a lucky catch, because the object didn’t match his program’s profile of a conventional brown dwarf.
We’ve found about 2,000 brown dwarfs thus far, many using data from WISE — Wide Field Infrared Survey Explorer — which was launched in 2009, placed into hibernation in 2011 after its primary mission ended, and then reactivated in 2013 as NEOWISE, a repurposed spacecraft given the new goal of tracking near-Earth objects. WISE 1534−1043 — the shortened name of the object, used by the authors of a new paper on it — stands out from all previously known brown dwarfs because it seems to have very little methane, unlike the brown dwarfs we’re familiar with, among which methane is common at WISE 1534−1043’s temperatures.
What we may be looking at is the signature of an extremely old, and cold, brown dwarf that emerged at a time when the galaxy was low enough in carbon that little methane could form in its atmosphere. That’s the thesis of the paper in Astrophysical Journal Letters, whose lead author is Davy Kirkpatrick (Caltech). The authors believe WISE 1534−1043 may be between 10 and 13 billion years old, making it double the median age of known brown dwarfs.
Adding punch to the hypothesis is the fact that, at about 50 light years from Earth, WISE 1534−1043 is moving much faster — well over 200 kilometers per second — than any other brown dwarf at a comparable distance. This may imply gravitational acceleration from encounters sustained in a long, long lifetime. If one such ancient brown dwarf is out there, we should find others.
Co-author Federico Marocco (Caltech) led the new observations of WISE 1534−1043, which extend earlier studies of the object, using the Keck and Hubble instruments:
“It’s not a surprise to find a brown dwarf this old, but it is a surprise to find one in our backyard. We expected that brown dwarfs this old exist, but we also expected them to be incredibly rare. The chance of finding one so close to the solar system could be a lucky coincidence, or it tells us that they’re more common than we thought.”

Image: This video shows data from NASA’s Near-Earth Object Wide-Field Infrared Survey Explorer (NEOWISE), launched in 2009 under the moniker WISE. The moving object in the bottom left corner is a brown dwarf officially named WISEA J153429.75-104303.3 and nicknamed “The Accident.” Credit: NASA/JPL-Caltech/Dan Caselden.
This unusual object is too faint at all wavelengths, the paper notes, for spectroscopy to be used at any current facility. Thus the interpretations given in the Kirkpatrick paper rely on trends found among other better known objects extended “into a terra incognita guided by theoretical predictions.” In addition to the idea that it is an extremely old brown dwarf with the low metallicity of its origins in a young galaxy, the authors examine other possibilities.
Are we actually dealing with an extremely low mass young brown dwarf? Evidently not, as the methane deficiency is hard to reconcile with this option. Could WISE 1534−1043 be an ejected exoplanet? Here we need atmospheric data, which we don’t have, to examine the elements therein, knowing that giant planets in our Solar System are more metal rich than the Sun (carbon is enhanced in Jupiter by three times the amount found in the Sun, and more so in Saturn, Uranus and Neptune). Thus we would have a marker, if we could find it. From the paper:
Under this hypothesis, WISE 1534−1043 is photometrically unusual because such elemental differences would profoundly affect its atmospheric composition and emergent spectrum. Unfortunately, forward modeling that incorporates a wide array of elemental abundance differences does not yet exist, so our best method to test this hypothesis is atmospheric retrieval, once a suitable spectrum for WISE 1534−1043 is obtained.
A final possibility is an ultracold stellar remnant, meaning a white dwarf, but this explanation falls short due to models showing a white dwarf could not have cooled to these temperatures within the lifetime of the Milky Way. Thus only one conclusion seems likely:
We conclude that the unique object WISE 1534−1043 is most likely a cold, very metal-poor brown dwarf—perhaps even the first Y-type subdwarf…
But note this:
Verification, refutation, or further befuddlement should be possible via additional photometry and broad-wavelength spectroscopy from the James Webb Space Telescope.
‘Further befuddlement’ indeed! An honest comment about an extremely unusual object.
The paper is Kirkpatrick et al., “The Enigmatic Brown Dwarf WISEA J153429.75-104303.3 (a.k.a. “The Accident”),” Astrophysical Journal Letters Vol. 915, No. 1 (30 June 2021), L6 (abstract / full text).

August 31, 2021
Exoplanets Found to be Plentiful in the Galactic Bulge

I mentioned yesterday that we are just opening up the discovery space when it comes to exoplanets. It’s an obvious observation for those who follow these things, but I suspect most casual observers don’t realize that almost all the planetary systems we’ve found thus far are located relatively close to the Sun, almost always within no more than a few thousand light years. Most of the stars the Kepler mission observed in Cygnus, Lyra and Draco were about the same distance from galactic center as the Earth. The average distance to the target stars of this most productive of all exoplanet missions yet was 600 to 3,000 light years.
Kepler, like TESS, worked by studying the transits of planets across their host stars, and in Kepler’s case, the method was unable to detect transits at distances any larger than these. In fact, we have only one method that can detect exoplanets at a wide range of distances in the Milky Way, and that is gravitational microlensing, which can take us into the galactic bulge. Here the planet is detected during an occultation, with its host star moving in front of a far more distant star. The pattern of gravitational lensing this produces reveals the closer star’s planet.
But these are one-off observations, not something like a transit that can be seen with regularity. Moreover, while gravitational microlensing offers a priceless chance to find planets tens of thousands of parsecs from the Sun, its utility has been somewhat compromised by the difficulty in assessing stellar distances at ranges more than 10,000 light years out. A new study in Astrophysical Journal Letters is just out that examines the issue, homing in on the relative motion of the lens and the more distance source of light that is being occulted.
Running actual microlensing events against a model of galactic motion, a team led by Naoki Koshimoto infers the galactic distribution of planets. We learn that distance from galactic center does not produce a change in planetary distribution even in the galactic bulge. This is an intriguing result, for one might think that circumstellar disk materials would be more plentiful in areas where the density of stars is as high as in the bulge, affecting a star’s content of metals. Other factors might be the intensity of radiation in high-population areas or the likelihood of differences in the number of multiple star systems.But Koshimoto finds planets everywhere:
“Stars in the bulge region are older and are located much closer to each other than stars in the solar neighborhood. Our finding that planets reside in both these stellar environments could lead to an improved understanding of how planets form and the history of planet formation in the Milky Way.”

Image: An artist’s conception of cold planet distribution throughout the Milky Way. For comparison, the cyan cone is the Kepler transit survey field. The inset shows an artistic conception of a planetary system in the galactic bulge. Credit: Osaka University.
The researchers build their analysis around a number of observed microlensing events. One factor involved in the Osaka study is the Einstein radius crossing time, which measures the lensing event as host planet and star occult the more distant object. An Einstein ring is the lens effect as light is curved by mass during the occultation (in a perfectly aligned event, the light would appear as a ring). The researchers also measured the proper motion of the lens source, meaning the star (and planet) passing in front of the distant star and bending its light.
The authors estimate planet hosting probabilities by comparing data on the proper motion in some 28 observed microlensing events with what is predicted by their own galactic model, allowing them to estimate “for the first time the dependence of the planet-hosting probability on the Galactocentric distance.” Their model includes planet-hosting probability and considers stellar mass, velocity and density distribution for randomly selected stars. The model draws on Gaia data and a range of astronomical projects building data on stellar motion and velocity.
Needless to say, everything rides on this model, and the calculations that produced it are laid out in all their complexity in the paper. Dissecting the model is a clear path forward for subsequent research into the question of planets in the galactic bulge. But I want to cut to the chase, given the novelty of having this kind of assessment of exoplanet distribution on a galactic level. Noting that the galactic bulge has a stellar density on the order of 10 or more times greater than the neighborhood of the Sun, and that its star population is older, the paper notes the tentative result that location in the galaxy does not change the frequency of planets.
With a nod to earlier research that has suggested otherwise, they add this:
Observations of the solar neighborhood have shown that there is a correlation between stellar metallicity and the occurrence of giant planets…, and have also suggested that close encounters with other stars may affect the evolution of planetary systems… Therefore, due to the abovementioned environmental differences, the planet frequency in the bulge may differ significantly from that in the solar neighborhood. Although our results are still inconclusive, they might imply that cold planets orbiting beyond the H2O snow line also commonly exist in the bulge region regardless of such differences.
Or, to state the matter more directly:
One of the largest uncertainties when comparing the exoplanet population discovered via other exoplanet detection methods with microlensing planets is a possible large dependence of the planet frequency on Galactic location. Our results show that such a dependence is not very large, and one might be able to compare them without considering the difference in Galactic location.
Bear in mind the context here. A 2016 paper from Matthew Penny (Louisiana State University) and colleagues has suggested, based on published microlensing data and a different galactic model, that the galactic bulge could be devoid of planets. Hashimoto and team reject this work on the basis of “an inhomogeneous sample and incorrect microlens parallax measurements,” but it’s a measure of how little we know about planets in the inner regions of the galaxy that early papers like these should reach such profoundly different conclusions.
The paper is Koshimoto et al., “No Large Dependence of Planet Frequency on Galactocentric Distance,” Astrophysical Journal Letters Vol. 918, No. 1 (26 August 2021), L8 (abstract / preprint). The Penny paper is “Is the Galactic Bulge Devoid of Planets?” Astrophysical Journal Vol. 830, No. 2 (19 October 2016), 150 (abstract).

August 30, 2021
Into the Brown Dwarf Desert

It’s a measure of how common exoplanet detection has become that I can’t even remember the identity of the object I’m about to describe. Back in the early days (which means not long after the first main sequence detection, the planet at 51 Pegasi), I was at a small dinner gathering talking informally about how you find these objects. A gas giant was in the news, another new world, or was it really a brown dwarf? And just what was a brown dwarf in the first place? Back then, with just a handful of known exoplanets, introducing the idea of a brown dwarf raised a lot of questions.
Now, of course, we have planets in the thousands and are just opening up the discovery space. Brown dwarfs are plentiful, with some estimates at one brown dwarf for every six main sequence stars. A 2017 analysis of a cluster called RCW 38 by Koraljka Muzic and team concluded that the galaxy contains between 25 and 100 billion brown dwarfs. So we have plenty to work with as we home in on the still controversial borderline between planet and brown dwarf, as well as between brown dwarf and star.
We know that brown dwarfs are not massive enough to support hydrogen fusion but do fuse small amounts of deuterium, an isotope of hydrogen whose nucleus holds one proton and one neutron. The contrast could not be more stark: Low-mass M-class stars can burn hydrogen for tens of billions of years, with longevity far beyond that of our Sun. Brown dwarfs keep getting cooler after going through a short period of deuterium burning. The problem is that only about 30 brown dwarfs have been accurately characterized, as University of Geneva researcher Nolan Grieves points out.
“…we still do not know exactly where the mass limits of brown dwarfs lie, limits that allow them to be distinguished from low-mass stars that can burn hydrogen for many billions of years, whereas a brown dwarf will have a short burning stage and then a colder life. These limits vary depending on the chemical composition of the brown dwarf, for example, or the way it formed, as well as its initial radius.”
The scholarship on brown dwarf mass generally sets a limit of 13 Jupiter masses (MJup) as the dividing line between a gas giant and a brown dwarf. This is the approximate mass that an object must reach to ignite deuterium fusion in its core. The upper limit, dividing brown dwarf from star, has been commonly set at 80 Jupiter masses, which is where the object is massive enough to begin hydrogen burning, fusing hydrogen nuclei into helium nuclei. Exactly where these boundaries occur, though, depends on the chemical composition of the particular object in question.
Thus the value of the work Grieves and team have produced, a study of five brown dwarfs that were found in TESS data through their transit signature and later analyzed using radial velocity methods. They are ‘companion’ objects, as opposed to unbound brown dwarfs. All are near the hydrogen-burning mass limit. Their main sequence host stars were originally identified as TESS Objects of Interest (TOI), and the companions orbit with periods ranging between 5 and 27 days. Because they transit, we can also detect their radii, between 0.81 and 1.66 times Jupiter’s radius. They range in mass between 77 and 98 Jupiter masses, which nudges them into M-dwarf territory.

Image: This artist’s illustration represents the five brown dwarfs discovered with the satellite TESS. These objects are all in close orbits of 5-27 days (at least 3 times closer than Mercury is to the Sun) around their much larger host stars. Credit: CC BY-NC-SA 4.0 – Thibaut Roger – UNIGE.
Are we sure these detections are not of very low mass stars? One way of approaching the matter is to look at the relationship between their size and age. A brown dwarf will lose deuterium as it burns up its reserves, thus cooling down and shrinking over time. The fact that the two oldest TESS Objects of Interest — TOI 148 and TOI 746 — have smaller radii while the younger objects are larger points to the likelihood that the former are brown dwarfs.
These age estimates are based, in the case of the comparatively young TOI-587, on what is known as ‘isochrone stellar modelling,’ which essentially fits data onto the Hertzsprung-Russell diagram to draw conclusions about the ages of stars in clusters. The young age of TOI-681 is likewise drawn from inferences due to its membership in a cluster. But even these rough estimates are compromised by the fact that TOI-681b makes only a grazing transit, as does another of the TESS finds, TOI-1213b.
I mention the age issue as just one factor in working out the nature of these objects, and one that is itself not well constrained. Given the uncertainties, the authors’ conclusion points to the need to compile a larger dataset for brown dwarfs:
The sample of transiting brown dwarfs and low-mass stars we analyzed is still too small to make significant statistical claims; however, their eccentricity and metallicity distributions are still consistent with previous suggestions of two separate populations for lower and higher mass brown dwarfs. These companions are all near the hydrogen-burning mass limit and add to the statistical sample needed to distinguish the population differences between brown dwarfs and low-mass stars.
Note that comment on two separate populations of brown dwarfs depending upon mass. We’re just getting a handle on these issues. The questions that hovered over my post-dinner conversation on brown dwarfs back in the 1990s continue to vex astronomers as we probe this class. Defining separate populations for these objects seems to be where we’re headed as we craft formation models.
Bear this in mind: Brown dwarfs rarely occur in close orbits around main sequence stars, the word ‘close’ in this case meaning orbits at 5 AU or closer to the primary. Thus the phrase ‘brown dwarf desert’ to characterize orbits that brown dwarfs rarely occupy as a companion object. The authors think this lack of brown dwarf companions relates to formation mechanisms, though the jury is out:
The relative lack of brown dwarf companions may be related to a transition of the formation mechanisms required to form giant planets and low-mass stars. In this case, lower mass brown dwarfs may form similar to giant planets via core accretion (Pollack et al. 1996) or disk instability (Cameron 1978; Boss 1997) and higher mass brown dwarfs may form similar to stars from gravitational collapse and turbulent fragmentation of molecular clouds (Padoan & Nordlund 2004; Hennebelle & Chabrier 2008). The boundary of these formation mechanisms is unclear and certainly depends on an object’s initial environment.
Brown dwarfs that can be well characterized are the key to resolving these issues, especially those whose radius can be precisely determined, as in the new TESS discoveries. Here we have the kind of robust photometric and spectroscopic measurements that will help astronomers test current formation models.
The paper is Grieves et al., “Populating the brown dwarf and stellar boundary: Five stars with transiting companions near the hydrogen-burning mass limit, Astronomy & Astrophysics Vol. 652, A127 (August, 2021). Abstract / Preprint.

August 27, 2021
‘Hycean’ Worlds: A New Candidate for Biosignatures?

We’ve just seen the coinage of a new word that denotes an entirely novel category of planets. Out of research at the University of Cambridge comes a paper on a subset of habitable worlds the scientists have dubbed ‘Hycean’ planets. These are hot, ocean-covered planets with habitable surface conditions under atmospheres rich in hydrogen. The authors believe they are more common than Earth-class worlds (although much depends upon their composition), and should offer considerable advantages when it comes to the detection of biosignatures.
Hycean worlds give us another habitable zone, this one taking in a larger region than the liquid water habitable zone we’ve always considered as the home to Earth. In every respect they challenge our categories. Not so long ago a Cambridge team led by Nikku Madhusudhan found that K2-18b, 2.6 times Earth’s radius and 8.6 times its mass, could maintain liquid water at habitable temperatures beneath its hydrogen atmosphere. The team has now generalized this work with a full investigation of the planetary and stellar properties making life possible on such planets.
Planets between the size of Earth and Neptune are thus far the most common type of planet we’ve found, generally being labeled as ‘super-Earths’ or ‘mini-Neptunes.’ There are no analogues to planets like this in the Solar System; they are classed as super-Earths or mini-Neptunes largely on the basis of their density as inferred by their mass and radius. Some may be predominantly rocky, while others are closer to the ice giants in our system. Some may be water worlds. Some of them are in the habitable zones of nearby M-dwarf stars, making them good candidates for atmospheric studies and possible biosignature detections.
For planets with a hydrogen atmosphere surrounding a layer of high-pressure water covering an inner core of rock and iron may become astrobiologically interesting. It’s true that too dense a hydrogen envelope would create temperature and pressure at the surface that would preclude life. But if the atmosphere is not too thick, life-sustaining temperatures can exist.
The Hycean planets thus represent a new category of potentially habitable worlds, and can be up to 2.6 times the size of Earth, with atmospheric temperatures up to 200 degrees Celsius, while still remaining habitable. They are defined not only by size but also by mass, temperature and atmospheric pressure. Conditions in their oceans may allow at least microbial life.
We are looking at a wide habitable zone as well. Its range takes in planets with orbital separations so large that the only energy source would be internal heat. It also extends to planets orbiting so close to the host star that they are tidally locked, but can support life on their dark sides. The span of possible temperatures allowing life to exist is thus substantial. About the tidally locked worlds the authors refer to as ‘Dark Hycean,’ for example, we learn this:
…we nominally consider the planet-wide average surface and atmospheric temperature to be 500 K. The choice of this temperature is motivated by the atmospheric models for nightsides of Dark Hycean planets…. In particular, we find that planets with equilibrium temperatures of ∼510 K with inefficient day-night energy redistribution can lead to dayside temperatures of ∼500-600 K but nightside surface temperatures ≲400 K. Therefore, while a 510 K temperature is not considered to be habitable, it represents a planet wide average and still allows a nonnegligible fraction of the nightside ocean surface to be at habitable surface temperatures, i.e., below 400 K.

Image: Artist’s conception of the surface of a Hycean planet. Credit: Amanda Smith, Nikku Madhusudhan.
The researchers believe these interesting worlds are common. In their paper, they present a sample of potential Hycean targets that could be useful fodder for next-generation telescopes. All of these orbit red dwarf stars close enough to be suitable targets for the James Webb Space Telescope; none are more than 150 light years away. JWST observations of K2-18b are already being considered and could conceivably provide a biosignature detection. For having looked at five potential biomakers in Hycean atmospheres, the authors note:
Hycean atmospheres may offer even better opportunities for detecting these biomarkers than those of rocky super-earths… For a 10 M⊕ planet, the Hycean radius range is ∼2-2.6 R⊕ compared to the super-Earth radius of 1.75 R⊕ considered in Seager et al. (2013b). The increased radii and lower gravities lead to larger, more easily detectable spectral signatures for Hycean planets. Second, considering that prominent sources of the above biomarkers are thought to be aquatic microorganisms, we expect them to be even more abundant on Hycean worlds compared to predominantly rocky worlds.
The fact that Hycean planets open up the discovery space for worlds that could support life makes them noteworthy. We begin to consider planets of higher mass and radius than before, provided they have a rocky core that, according to the paper, is at least 10% of planetary mass and is of Earth-like composition. Their wide habitable zone expands the area for detection, while presenting a range of challenges that is likewise wide. Mass and radius help us spot a Hycean candidate, but they alone are not sufficient. We also need to learn more about temperatures and pressures in the ocean, and basic properties of the atmosphere:
,,,even if a candidate Hycean planet is in the Hycean HZ it may not necessarily have the right conditions for habitability, e.g., the internal structure and atmospheric properties may be such that the ocean surface pressure and/or temperature is too high… [T]he detection of H2O in the atmosphere does not guarantee the presence of an ocean on the planet, as H2O can be naturally occurring in H2-rich atmospheres as the prominent oxygen bearing species. Conversely, the nondetection of H2O does not preclude the presence of an ocean, since at low atmospheric temperatures H2O can rain out and not be detectable in the atmosphere. Nevertheless, in all these aspects Hycean candidates offer better prospects for establishing their habitability compared to habitable rocky exoplanets, which are inherently harder to characterize.
Given the wide range of transiting worlds we’ve discovered between 1 and 2.6 Earth radii, Hycean worlds offer no shortage of targets and if nothing else provide opportunities for atmospheric characterization that, according to the authors, should be less challenging than similar work on rocky exoplanets. Their large radius and thick atmospheres seem made to order for JWST and future instruments like the Extremely Large Telescope. Although not similar to Earth, Hycean planets can be valuable venues for detecting trace biosignatures. That alone contributes to the larger quest of finding life on planets more similar to our own.
The paper is Madhusudhan et al., “Habitability and Biosignatures of Hycean Worlds,” in process at The Astrophysical Journal (2021). Preprint. The paper on K2-18b is “The Interior and Atmosphere of the Habitable-zone Exoplanet K2-18b,” Astrophysical Journal Letters Vol. 891, No. 1 (27 February 2020), L7 (abstract). And I’ve just become aware of (but haven’t yet read) Benncke et al., “Water Vapor and Clouds on the Habitable-zone Sub-Neptune Exoplanet K2-18b,” Astrophysical Journal Letters 887:L14 (10 December 2019). Abstract.

August 25, 2021
A Huge Population of Interstellar Comets in the Oort Cloud

TAOS II is the Transneptunian Automated Occultation Survey, designed to spot comets deep in our Solar System. It may also be able to detect comets of the interstellar variety, of which we thus far have only one incontrovertible example, 2I/Borisov. And TAOS II, as well as the Vera C. Rubin Observatory (both are slated for first light within a year or so) could have a lot to work with, if a new study from Amir Siraj and Avi Loeb (Center for Astrophysics | Harvard & Smithsonian) is correct in its findings.
I cite Borisov as thus far unique in being an interstellar comet because the cometary status of ‘Oumuamua is still in play. On my way to looking at his paper on Borisov, I had an email exchange with Avi Loeb, from which this:
Observations with the Spitzer Space Telescope of `Oumuamua placed very tight limits on carbon-based molecules in its vicinity, implying that it was not made of carbon or oxygen. This led to suggestions that perhaps it is made of pure hydrogen or pure nitrogen, but these would be types of objects we had never seen before. Borisov appeared to be just like a regular comet that we had seen many times before. Clearly, `Oumuamua and Borisov are of very different composition and origin (irrespective of whether `Oumuamua is natural or artificial in origin).

Image: Comet 2I/Borisov. Credit: NASA, ESA and D. Jewitt (UCLA).
The paper refers to Borisov as “the first confirmed interstellar comet with a known composition,” but if this comet is alone in our catalog, it’s unlikely to remain that way long. Shiraj and Loeb argue that there exist more interstellar objects in the Oort Cloud than objects born in the Solar System. Indeed, Loeb in his email cited “a hundred trillion Borisov-like interstellar comets” in this vast space, which extends from roughly 2,000 AU perhaps as far out as 50,000 AU, with some sources citing an outer edge as far as 200,000 AU. That should ring a few bells — Alpha Centauri is 268,000 AU from the Sun, meaning our Oort Cloud could mingle with any similar cloud in that system.
The prospect of studying interstellar objects without leaving our own system is enhanced by these results, even if the calculations contain significant uncertainties. There should be many Borisovs, a small number of which should enter the inner system. This is a reversal of earlier thinking that interstellar visitors should be rare, all part of a reevaluation of the subject forced by the detection of ‘Oumuamua and 2I/Borisov in recent years, and the coming upgrades in equipment and surveys mentioned above.
We are only now getting into position to be able to see these objects and identify their true nature. The detection of Borisov in 2019 allowed scientists to calculate a number density for such objects per star based on a statistical analysis of the likelihood of a single object like this being within 3 AU of the Sun. Other researchers had applied this kind of calibration to ‘Oumuamua, with the number density implied by both being approximately the same. Similarly, the population of bound Oort Cloud comets can be inferred through observations of long-period comets. Figure 1 in the paper shows the comparison.

Image: This is Figure 1 from the paper. Caption: Comparison of the relative abundance per star of bound Oort cloud objects, as implied by the observed rate of long-period comets (Brasser & Morbidelli 2013), and interstellar objects, as implied by the detection of Borisov (Jewitt et al. 2020), with a differential size distribution for power-law index, q, values of 2.5, 3, and 3.5, displayed for reference. The error bar indicates the 3σ Poisson error bars for the implication of a singular interstellar object detection on the abundance. The shaded band correspond[s] to the plausible range of nucleus radii for Borisov, given the central value for Borisov’s abundance. The error bounds on the abundance of bound Oort cloud objects are not resolvable on this plot. Credit: Siraj and Loeb.
These are calibrations with, as the paper notes, uncertainties of several orders of magnitude, but even adjusting for these, interstellar objects still prevail in the Oort. They also come with limits that can be tested by observation. Interstellar objects experience negligible gravitational focusing because of their speed (on the order of 30 kilometers per second) and the nature of their orbits as related to their distance from the Sun. Bound Oort Cloud objects should have characteristic orbits that can be differentiated from the orbits of objects that have entered the Oort from elsewhere.
Note: ‘Gravitational focusing’ refers not to gravitational lensing but to the likelihood that two particles will collide based on their mutual gravitational attraction. The authors are saying that bound Oort objects are significantly affected by gravitational focusing. We wind up with a wide dispersion in these two populations:
Given that the number density of interstellar objects may be ∼103 larger than that of bound Oort cloud objects far from the Sun, the Oort cloud objects may be still a factor of ∼10 more abundant than interstellar objects in the inner Solar system, due to the unequal influence of gravitational focusing on the two populations. The fact that interstellar objects outnumber Oort cloud objects per star is consistent with the Oort cloud having lost most of its initial mass. However, the degree to which interstellar objects outnumber Oort cloud objects is still very uncertain. Stellar occultation surveys of the Oort cloud will be capable of confirming the results presented here, by differentiating between the two populations through speed relative to the Sun…
Thus we can look to planned surveys of the sort mentioned above to test the abundances of the two classes of objects, and can expect more visitors of the Borisov kind, even if such comets are far more common in the Oort Cloud than in the inner system. Siraj points out that such an abundance of interstellar objects indicates that planetary formation leaves a great deal more debris than previously thought:
“Our findings show that interstellar objects can place interesting constraints on planetary system formation processes, since their implied abundance requires a significant mass of material to be ejected in the form of planetesimals. Together with observational studies of protoplanetary disks and computational approaches to planet formation, the study of interstellar objects could help us unlock the secrets of how our planetary system — and others — formed.”
The paper is Siraj & Loeb, “Interstellar objects outnumber Solar system objects in the Oort cloud,” Monthly Notices of the Royal Astronomical Society Vol. 507, Issue 1 (October, 2021) L-16-L18 (abstract).

August 24, 2021
Enter the ‘Belatedly Habitable’ Zone

The most common objection I hear about what we call the ‘habitable zone’ is that it specifies conditions only for life as we know it. It leaves out, for example, conceivable biospheres under the ice of gas giant moons, examples of which we possibly have here in the Solar System. But there is another issue with defining habitability in terms of atmospheric pressures that can support liquid water on the surface. As Jason Wright and Noah Tuchow (both at Penn State) point out in a recent paper, the classic habitable zone concept does not take the evolution of both planet and star into account.
It’s a solid point. A planet now residing in the habitable zone could have remained habitable since the earliest era of its formation. Or it could have become habitable at a later time. Thus Tuchow and Wright make a distinction between what they refer to as the Continuous Habitable Zone (CHZ) and a class of planets they refer to as ‘belatedly habitable.’ These worlds may benefit from changes in the location of the habitable zone as stellar properties change, or they may enter the habitable zone through planetary migration. They may represent a substantial fraction of planets in the habitable zone. But are they truly habitable?
As the authors see it, there is not a single belatedly habitable zone (let’s refer to this as the BHZ), but rather two. The outer consists of the planets whose stars become more luminous over time, thus moving the habitable zone outward. The question here would be whether planets like this can successfully thaw and become habitable. I like James Kasting’s term for these worlds, coined as long ago as 1993. He calls them ‘cold start’ planets, and they represent a lively area of current research.
The inner belatedly habitable zone holds stars around which the habitable zone moves inward as the star dims. These inner BHZ planets are an intriguing lot because they orbit a wide range of lower-mass objects. Both brown and white dwarfs dim with time as they cool, making previously uninhabitable worlds more clement, though the authors note that these may lose many of their volatiles before achieving temperate conditions.
And because of their ubiquity in the Milky Way, we should pay special attention to M-dwarf planets. These worlds may spend millions of years in a greenhouse phase, with the possible loss of water, before their host star has finished the contraction that will eventually place it on the main sequence, dimming enough for habitability.
Given these distinctions, the liquid water habitable zone is actually a combination that includes the Continuous Habitable Zone as well as the inner and outer belatedly habitable zones, and as the authors point out, at any specific time in a star’s history, these regions will have different sizes and as the star evolves, may disappear entirely.

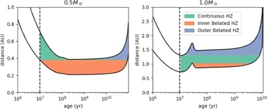
Image: This is Figure 1 from the paper. Caption: Habitable zone evolution for a 0.5 M⊙ M dwarf (left) and a 1.0 M⊙ solar analog (right). Continuous habitability is considered to start at the dashed vertical line, roughly representing the planet formation timescale. The green regions on the plots represent the continuously habitable zone, while the orange and blue regions represent the inner and outer belated habitable zones respectively. Credit: Tuchow & Wright.
To consider what the authors call ‘belated habitability,’ the star’s evolutionary history must be considered along with the presence of volatiles and their origins, the rates of cooling and outgassing as a young planet evolves, its related geophysical processes and more. Thus the complexity of the habitable zone deepens, taking the edge off quick claims for habitability in any given system. The fact that a planet is in the habitable zone today does not necessarily mean that liquid water exists on its surface:
A large portion of exoplanets that we find in the habitable zones of other stars will lie in the belatedly habitable zones, and future missions will greatly benefit by considering belated habitability and not assuming these planets are habitable. For example, in a search for biosignatures, the target stars and the search strategy will be affected by whether or not one considers the habitability of these planets. While the special circumstances of their habitability have been overlooked in the past, belatedly habitable planets could have major implications for future mission design and warrant future study.
I think these are useful distinctions that should come into play as our new generation telescopes come online. It’s certainly true that the press often exaggerates new discoveries of ‘habitable zone planets’ (and our friend Andrew Le Page is a shrewd judge of such claims), but from the standpoint of creating a catalog of best targets for further investigation, we need to be able to winnow the list efficiently and accurately. The study of ‘belated habitability’ should prove a productive research path.
The paper is Tuchow & Wright, “Belatedly Habitable Planets,” Research Notes of the AAS,” Volume 5, No. 8 (August, 2021). Full text.
August 20, 2021
How to Explain Unusual Stellar Acceleration?

Anomalies in our models are productive. Often they can be explained by errors in analysis or sometimes systematic issues with equipment. In any case, they force us to examine assumptions and suggest hypotheses to explain them, as in the case of the unusual acceleration of stars that has turned up in two areas. Greg Matloff has written about one of them in these pages, the so-called Parenago’s Discontinuity that flags an unusual fact about stellar motion: Cool stars, including the Sun, revolve around galactic center faster than hotter ones.
This shift in star velocities occurs around (B-V) = 0.62, which corresponds to late F- or early G-class stars and extends down to M-dwarfs. In other words, stars with (B-V) greater than 0.61 revolve faster. The (B-V) statement refers to a color index that is used to quantify the colors of stars using two filters. One, the blue (B) filter, lets only a narrow range of wavelengths centered on blue colors through, while the (V) visual filter only passes wavelengths close to the green-yellow band. Hot stars have (B-V) indices closer to 0 (or negative); cool M-dwarf stars come out closer to 2.0. Proxima Centauri’s (B-V) number, for example, is 1.90. The (B–V) index for the Sun is about 0.65.

What the Soviet space scientist Pavel Parenago (1906-1960) had observed is that cooler stars, at least in the Sun’s neighborhood, revolve about 20 kilometers per second faster around the galactic center than hotter, more massive stars. Work in the 1990s using Hipparcos data on over 5,000 nearby main sequence stars clearly showed the discontinuity. An early question was whether or not this was an effect local to the Sun, or one that would prove common throughout the galaxy.
Image: Soviet space scientist Pavel Parenago. Credit: Visuotinė Lietuvių.
The answer came in the form of a paper by Veniamin Vityazev (St. Petersburg State University) and colleagues in 2018. The scientists hugely expanded the stars in their sample by using the Gaia Data Release 1 dataset,. The Gaia release included some 1,260,000 stars on the main sequence and a further 500,000 red giants. As we saw yesterday, the Gaia mission, which launched in 2013, is continuing to gather data at the Earth-Sun L2 Lagrange point, using astrometric methods to determine the positions and motions of a billion stars in the galaxy.
You may remember that the Vityazev paper (citation below) and its consequences was the subject of a 2019 dialogue in these pages between Greg Matloff and Alex Tolley (see Probing Parenago: A Dialogue on Stellar Discontinuity). And for good reason: The Gaia dataset allowed the Russian scientist and colleagues to demonstrate that Parenago’s Discontinuity was not a local phenomenon, but was indeed galactic in nature. All of this naturally leads to questions about the mechanisms at work here — Matloff’s interest in panpsychism as one explanation is well known and discussed in his book Starlight, Starbright (Curtis, 2019).
But in a new paper with Matloff, Roman Ya. Kezerashvili (New York City College of Technology) and Kelvin Long (Interstellar Research Centre, UK) point to another noteworthy datapoint. The extensive Gaia dataset showed a feature that turned up in the Hipparcos data as well. There was what the authors call a ‘strange bump in the curve of galactic revolution velocity versus (B-V) color index between (B-V) ≈ 0.55 and (B-V) ≈ 0.9…’ This would take in stars of the spectral classes G1 through K2, and the authors add that the bump is apparent only in the direction of stellar galactic revolution, like Parenago’s Discontinuity itself. Is this to be construed as a subset of the discontinuity or a separate effect? We don’t yet know.
What we do have is apparent acceleration in the direction that stars rotate around the galaxy, an unusual effect that adds up: In a billion years, the positional shift between a star without this acceleration vs. with the acceleration is about 1,500 light years.
This second apparent acceleration has yet to be confirmed by other researchers, as the authors acknowledge. But as we await that result, the new paper investigates the physical processes that could account for it. If we consider a star expelling material in a specific direction, we can model the system by analogy to a rocket and its expelled fuel, and thus examine velocity change with the Tsiolkovsky rocket equation. From the paper:
There are a number of physical mechanisms responsible for expelling mass during the stars’ life. These include but may not be limited to: unidirectional or focused electromagnetic (EM) flux, solar wind, accelerated solar wind, coronal mass ejections (CMEs), unidirectional neutrino flux, and solar wind thermonuclear fusion. Each mechanism can be treated as an exhaust velocity Vex with a mass flow rate so that the acceleration of the star is analogous to a rocket thrust F = VexMs.
What stands out here is how big the force F = 1016 N — the force needed to accelerate stars like the Sun to this level — is from our terrestrial perspective. It is the equivalent of the force exerted by two billion 106 kg rockets, each accelerating at 3g. Backing out to cosmic scale, though, the force appears less daunting, being 5 orders of magnitude less than the mutual gravitational force between the Earth and the Sun.
The mechanisms of mass loss are many and varied, as noted above, and the paper goes to work on eight of them:
Unidirectional or focused stellar electromagnetic fluxGalactic cannibalismStellar mass loss by thermonuclear fusionNon-isotropic stellar windAccelerated unidirectional stellar windCoronal mass ejectionsUnidirectional neutrino fluxSolar wind thermonuclear fusionNote how many of these demand an existing advanced technology to implement them. In fact, of the eight, only two have solutions that are what Matloff calls ‘mechanistic;’ i.e. operational within nature without technological intervention. These are galactic cannibalism and stellar sass loss by thermonuclear fusion. Neither show promise as a cause for stellar acceleration of this order.
Galactic cannibalism refers to interactions between dwarf galaxies and large galaxies like the Milky Way, with the satellite galaxies being absorbed. This adds to the mass of the primary galaxy and may increase star orbiting velocities, but the authors discount the process because stellar nurseries are also accelerated by galaxy mergers, just as pre-existing stars. Stellar mass loss by thermonuclear fusion due not only to fusion within the core but via the stellar wind — which is in any case omnidirectional — likewise fails to produce the observed acceleration effect across classes of stars.
The other six options all involve the application of advanced technologies to create stellar motion in a specific direction, and some of these don’t work either. Unidirectional coronal mass ejections, for example, even if they could be shaped as thrust, fail to provide the needed energies. What emerge as viable candidates are the combined effects of a unidirectional neutrino jet and an accelerated unidirectional stellar wind “in conjunction with the unidirectional photon jet ejected from the star and non-isotropic stellar wind.” Thus on the accelerated unidirectional stellar wind:
Consider the case of a dual-purpose Dyson/Stapledon megastructure constructed around a star. Confirmation of the existence of such a megastructure would constitute evidence for the existence of a Kardashev Level 2 or higher civilization. A fraction of the star’s radiant output is used to accelerate a fraction of the star’s stellar wind as a unidirectional jet.
Obviously these options take us into science fiction territory, such as the recent Greg Benford/Larry Niven collaboration beginning with Bowl of Heaven (Tor, 2012), where a star in directed motion carries with it a vast environmental shell. So as an example of just one way to do all this, let me quote from an article Benford wrote for Centauri Dreams in 2014 (see Building the Bowl of Heaven):
Our Bowl is a shell more than a hundred million miles across, held to a star by gravity and some electrodynamic forces. The star produces a long jet of hot gas, which is magnetically confined so well it spears through a hole at the crown of the cup-shaped shell. This jet propels the entire system forward – literally, a star turned into the engine of a “ship” that is the shell, the Bowl. On the shell’s inner face, a sprawling civilization dwells…
The jet passes through a Knothole at the “bottom” of the Bowl, out into space, as exhaust. Magnetic fields, entrained on the star surface, wrap around the outgoing jet plasma and confine it, so it does not flare out and paint the interior face of the Bowl — where a whole living ecology thrives, immensely larger than Earth’s area.

Image: Moving a star as depicted in Bowl of Heaven. Credit: Don Davis.
But the idea of moving stars via technology has a long pedigree. As just one example, let me quote Fritz Zwicky, that fiercely independent and prescient thinker, from an article he published in June, 1961 in Engineering and Science:
In order to exert the necessary thrust on the sun, nuclear fusion reactions could be ignited locally in the sun’s material, causing the ejection of enormously high-speed jets. The necessary nuclear fusion can probably best be ignited through the use of ultrafast particles being shot at the sun. To date there are at least two promising prospects for producing particles of colloidal size with velocities of a thousand kilometers per second or more. Such particles, when impinging on solids, liquids, or dense gases, will generate temperatures of one hundred million degrees Kelvin or higher-quite sufficient to ignite nuclear fusion. The two possibilities for nuclear fusion ignition which I have in mind do not make use of any ideas related to plasmas, and to their constriction and acceleration in electric and magnetic fields…
So could an advanced culture pull this off? The authors are quick to point out that the eight mechanisms they evaluate do not exhaust the range of possibilities, but thus far the physical mechanisms under investigation fail the test unless assisted by a technology. The first order of business, of course, will be to verify the apparent stellar acceleration and then to ponder stellar kinematics in their combined light.
But while we can envision advanced cultures developing the tools to move individual stars, as breathtaking as the concept seems, it appears unlikely in the extreme that entire stellar classes are being moved about simultaneously by megastructures or other technologies.
I think the existence of an explanation within the realm of nature has to be assumed. The question, of course, is just where it is to be found. This spirited paper, cheerfully speculative, contains an open call to the community to investigate anomalous stellar accelerations and produce other hypotheses explaining this curious behavior.
The paper is Kezerashvili, Matloff & Long, “Anomalous Stellar Acceleration: Causes and Consequences,” JBIS Vol. 74 (2021), pp. 269-275. The Vityazev paper is V. V. Vityazev et al., “New Features of Parenago’s Discontinuity from Gaia DR1 Data,” Astronomy Letters 44, 629-644 (2018). Abstract.

Paul Gilster's Blog
- Paul Gilster's profile
- 7 followers
