Paul Gilster's Blog, page 140
December 5, 2016
Thought Experiment: The Asteroid Belt Astronomical Telescope
Could laser light be used to shape and polish an asteroid to high optical standards? That’s the question raised in an imaginative essay in Physics Today that posits the creation, a century from now, of the Asteroid Belt Astronomical Telescope (ABAT). It’s science fiction today, part of the series of speculations that the magazine has been running to explore possible futures, but what a concept for an SF novel, and perhaps someday real astronomy (thanks to Centauri Dreams reader Klaus Seidensticker for sending me the link).
Author Robert Austin (Florida Polytechnic University) creates a backstory involving a “self-described over-the-hill assistant professor at Purdue University” who uses a research grant to polish a 1-centimeter sphere of pyrolytic carbon magnetically levitated in a vacuum. He achieves the needed flat optical surface along with a reflective hemispherical ‘bump’ on the object’s backside that can be used to reorient the mirror by photon pressure.
Soon the idea of using lasers to form and manipulate mirror components takes off, and by the end of the 21st Century an actual 2-meter asteroid is shaped and steered, using equipment originally developed for asteroid mining. The Asteroid Belt Astronomical Telescope that grows out of all this will eventually reach billions of mirror facets in imaging arrays in space, a 5 AU diameter astronomical mirror. Austin’s essay is written as a scientific report from the future, at a time 100 years from now when ABAT is 1% finished but already achieving stunning imagery.
Image: The Asteroid Belt Astronomical Telescope (ABAT) focuses light from laser-polished asteroids onto dual imaging arrays above and below the solar system; other intense laser pulses maneuver the arrays to different locations, thus allowing ABAT to point at multiple celestial targets. Asteroid ablation residue corralled into a pair of Devil’s Footprints shields the focal regions from solar illumination. Credit: Robert Austin/Physics Today.
The ‘Devil’s Footprint’ reference in the caption above is to Munich’s Frauenkirche, which has a part of the floor in which no windows are visible — how it got its name is an entertaining part of the essay, which I’ll send you to for more. The point is that asteroid residue is a helpful way to block sunlight, and by the era depicted in this piece, asteroid mining is assumed to have become so widespread an activity that industrial operations at 5 AU are all but routine.
Bob Forward would, I’m sure, have loved the mega-engineering involved in creating something like this which, if built, would be the most ambitious scientific project ever undertaken. Austin’s ABAT would see its imaging arrays maneuvered through coordinated pulses of laser light, creating minuscule torques to turn each facet in the desired direction. As for enabling this vast cloud of technology to produce the needed data, here’s Austin’s take, based as is the whole article on the assumption of yet to be developed technologies:
Developing a conventional monolithic sensor array to span ABAT’s focal plane would be impractical, so Kim’s team hit upon a new approach based on diatoms, the microscopic organisms with silica skeletons that hold such a special place in the hearts of nanotechnologists. Group biologists genetically engineered diatoms to produce several specialized organs. Some of the organs convert light to electrical signals. Some store the microwave input power necessary for operating the array. Still others use CPS (celestial positioning system) signals to determine three-dimensional location, measure time, and digitally encode the data for transmission.
The result: Trillions of self-reproducing sensors are grown in a vat and deployed in space, manipulated as clouds of microscopic optical sensors.
Image readout begins when maser beams wake the sensors and provide transmission instructions. Guided by the electromagnetic field of the masers, the sensors align themselves toward a receiving antenna to which they beam their data. The vast data set is then relayed to ABAT’s brain, which puts the information together to form an image.
So there you have it, an array of 10 billion asteroids polished into mirror facets, all coordinated through artificial intelligence in a century-long project that might get underway, perhaps, by 2100. It’s a fascinating speculation, and I like the way Physics Today presents these explorations, in the form of articles you might read in the future issue that explains the project at hand. It makes for convincing reading, like good science fiction, and at times, I confess, it does make the hair stand up a bit on the back of the neck. Because imagine what we could see with something this vast, and imagine how much bigger still it could grow.
Image: Imaginary view. The exoplanet Gliese 832c as the future ABAT might see it early in the process of construction. Credit: Robert Austin/Physics Today.
If we ever do begin to see exoplanets at the level of detail promised in the artist’s rendering above, it’s worth speculating on what that might mean for interstellar exploration. Breakthrough Starshot puts the first interstellar crossing somewhere in the latter half of this century, assuming major breakthroughs in laser array technologies and engineering. Would a new ability to see exoplanets like this put a damper on future mission ideas, or would the view of prospective targets actually act as an incentive to get a payload into their systems?





December 2, 2016
Shifting Perspectives on Pluto’s ‘Heart’
One of the great pleasures of doing this site is watching researchers matching ideas in peer-reviewed papers. A paper can meet the highest standards for publication but still present an argument that subsequent researchers question, igniting a new round of debate. Trying to get at the heart of a scientific question requires patience, but it’s also as absorbing as a chess game, as witness the continuing debate over the history and significance of Pluto’s Sputnik Planitia. And in this case, we have a researcher working both sides of the controversy.
Resembling a polar ice cap, Sputnik Planitia is about 1000 kilometers across, and is centered on a latitude of 25 degrees north and a longitude of 175 degrees. Moreover, it is directly opposite the side of Pluto that always faces Charon, the result of tidal lock. Two weeks ago we looked at the possibility that this western lobe of Pluto’s ‘heart,’ a deep basin filled with frozen gases like nitrogen, carbon dioxide and methane, was the result of a relatively late impact, perhaps one as large as the impact that created Charon. The implications here were striking, particularly the possibility that Sputnik Planitia was a clue pointing to a subsurface ocean (see Pluto: Sputnik Planitia Gives Credence to Possible Ocean for references).
Today we look at a different possibility in a paper from Douglas Hamilton (University of Maryland), who worked with Francis Nimmo et al. on the subsurface ocean paper. The point is, there are dueling explanations here, and we need to examine them both along with any other potential candidates to explain Sputnik Planitia. After all, it’s a huge feature, and we find ice caps on only three worlds in our Solar System, making its formation a matter of interest whether or not its presence actually indicates an ocean beneath the ice.
Image: Pluto, shown here in the front of this false-color image, has a bright ice-covered ‘heart.’ The left, roughly oval lobe is the basin provisionally named Sputnik Planitia. Sputnik Planitia appears directly opposite Pluto’s moon Charon (back). Credit: NASA/JHUAPL/SWRI.
The model Hamilton studies in this paper is one in which there is no impact, and the ice cap actually formed early in Pluto’s development, providing the surface asymmetry that eventually causes the ice cap to become locked on the side of the world opposite Charon. Remember that Pluto’s spin axis is tilted to 120 degrees. Ice would form in the coldest places on the planet, which in Pluto’s case are latitudes 30 degrees north and south. Temperatures here are far colder than either pole, a zone that includes latitude 25-degree north Sputnik Planitia.
Hamilton and colleagues see a runaway albedo effect as a possibility here, a positive feedback mechanism that begins with a small ice deposit and accumulates more and more ices until a dominant ice cap emerges. It is the gradual shift in the dwarf planet’s mass, then, that came into play to ensure that Sputnik Planitia would, as Pluto slowed due to Charon’s gravity, either face Charon or emerge on the opposite side of the world from its moon. The chances are 50-50, as Hamilton notes: “It is like a Vegas slot machine with just two states, and Sputnik Planitia ended up in the latter position, centered at 175 degrees longitude.”
So there we have it, a new possibility in which Sputnik Planitia formed not through an impact, but through the weight of accumulating surface ices. The formation of a basin like this one is not so different from what we see on Earth in the Greenland Ice Sheet, where a basin forms and pushes down on the crust beneath it, although Hamilton adds that Pluto’s basin is larger than the volume of ice it currently contains, evidence that Sputnik Planitia is losing mass over time. Either formation model fits the New Horizons data, leaving us with an inconclusive result about that putative ocean. Under the right conditions, says Hamilton, either model is viable.
The paper is Hamilton et al., “The rapid formation of Sputnik Planitia early in Pluto’s history,” Nature 540 (01 December 2016), 97-99 (abstract).





December 1, 2016
Visualizing the Alien: A Hollywood Conundrum
Aliens used to look more or less like humans in the films of the 1950s. Think Michael Rennie in The Day the Earth Stood Still (1951), a polished alien presence if there ever was one. We got humanoid aliens with strange powers or technologies, like Jeff Morrow playing Exeter in This Island Earth (1955) — a prominent forehead and strange hair is all it takes. Even James Arness’ vegetable man (The Thing from Another World, 1951), although seen but briefly and on a rampage, is recognizably humanoid.
Image: James Arness makes his appearance in Howard Hawks’ The Thing from Another World.
I watched all those films and many other SF movies besides when I was growing up, almost all on TV re-runs. Later, special effects would vastly improve, and non-humanoid aliens thrived, my favorite being the repulsive title character in Ridley Scott’s Alien (1979), so dramatically visualized by Swiss surrealist Hans Rudolf Giger. Now we see aliens in all shapes and sizes, from the many-toothed predator that causes problems for the local (all too humanoid) beings in James Cameron’s Avatar (2009) to the shape-changing monstrosity of John Carpenter’s 1982 version of The Thing.
Science writer Leslie Mullen has a nice piece on Hollywood depictions of aliens whose title carries the punch: We’re Still Waiting for Hollywood to Depict a Plausible Alien Ecosystem. Interestingly, one of the big problems that the scientists she interviewed see in Hollywood is that its aliens seem to have no constraints on their growth. I hadn’t even noticed this, but of course it’s true: The creature in the original Alien pops out of John Hurt’s chest (a memorable scene indeed) and almost immediately begins to grow.
But how? Mullen quotes biochemist Jim Cleaves (Institute for Advanced Study) on the matter:
“The alien always bothered me. Somehow it manages to turn a few pounds of biomass into several hundred pounds of really hyperactive alien really quickly, without actually eating anything.”
Nutritional issues are a common theme in critiques voiced in this piece by Cleaves and Caleb Scharf (Columbia University), who has his own bone to pick with Avatar:
“There’s a creature with lots of teeth. It’s cool. But whenever you invoke such a monstrous thing, you have to ask, Could this ecosystem really support that? We had dinosaurs at one point, but there were a lot of them, and an enormous food pyramid to support that. So you wouldn’t have a quiet forest except for one enormous monster. What are they eating?”
And how about the enemy ‘bugs’ in Paul Verhoeven’s Starship Troopers (1997)? What exactly did they do to stay alive?
Plugging in a monster moves a plot right along, of course, but if that’s all it’s doing, the plot is neglecting to examine how a real biosphere would work. That would be a sensationally complex task, but given the amount of research now going on in astrobiology and exoplanetary science, the suspicion here is that experts could be summoned who could produce such a film. Even so, there is something to be said for not seeing aliens.
Think 2001: A Space Odyssey, where we see artifacts rather than beings, a fact which lets the viewer’s imagination speculate on what the builders of the monoliths might have been like. Or think about Arkady and Boris Strugatsky’s 1971 novel Roadside Picnic. Andrei Tarkovsky’s film Stalker (1979) grew out of this, with screenplay by the authors. Here we see the aftermath of an extraterrestrial visitation that took place simultaneously at locations around the world. No aliens are seen, but the six Visitation Zones are scattered with odd, incomprehensible artifacts. An illegal smuggling trade in these artifacts emerges. But just who were these aliens, what was their purpose, and did they even notice the fact that they were, briefly, in the midst of an active technological civilization?
Image: No aliens here, which actually gives Stalker its force. What to make of an incomprehensible technology’s detritus?
Mullen’s essay quotes Penny Boston (NASA Astrobiology Institute) on a form of life that may challenge Hollywood’s best special effects crews. Robert Forward’s novel Dragon’s Egg (1980) depicts life on a neutron star with a surface gravity 67 billion times that of the Earth. Here we find the Cheela, which are tiny creatures whose civilization advances a million times faster than our own, as observed by humans in an orbiting craft.
How screenwriters would handle scenes on a neutron star is an open question, but each new movie gives us the opportunity to watch another treatment of an issue that has gone from Hollywood trope to serious speculation in a few short decades. Think about this as you evaluate the aliens in Denis Villeneuve’s new film Arrival, and ponder the directions evolution might take given billions of possible worlds on which to work its magic.
Even back in the days of the original Star Trek, as Caleb Scharf notes in Mullen’s essay, writers dreamed up the Horta (the episode was “The Devil in the Dark”), who look like nothing more than rocks. It takes the crew a while to realize they are intelligent. I’m reminded of something Jacob Bronowski said in his TV series The Ascent of Man (1973):
Within the last few years there have been found in the interstellar spaces the spectral traces of molecules which we never thought could be formed out in those frigid regions: hydrogen cyanide, cyanoacetylene, formaldehyde. These are molecules which we had not supposed to exist elsewhere than on Earth. It may turn out that life had more varied beginnings and has more varied forms. And it does not at all follow that the evolutionary path which life (if we discover it) took elsewhere must resemble ours. It does not even follow that we shall recognise it as life — or that it will recognise us.”





November 30, 2016
Tight Constraints on Orbit of a Transiting ‘Super-Earth’
The super-Earth K2-3d orbits a red dwarf star in the constellation Leo, some 150 light years from Earth. The outermost of three planets discovered in the system, K2-3d was found in the K2 phase of the Kepler mission (K2 Second Light), following the issues with the spacecraft’s reaction wheels that led to the end of the primary mission. Interestingly, while the planet is large (with a radius 1.5 times that of Earth), its density is high and indicative of a solid surface (we can measure the radius of K2-3d by studying the transit light curve, while radial velocity methods yield the planet’s mass, allowing astronomers to calculate its density).
Given the right atmospheric parameters, liquid water could exist here, although most models show a tidally locked world receiving too much solar flux (1.4 times that of the Earth) to make habitable conditions likely. With an orbital period of 45 days, K2-3d’s transits are interesting because the planet is close enough to be a useful candidate for follow-up study with next generation telescopes. Transmission spectroscopy will allow us to study its atmosphere as starlight filters through it during a transit, opening up the possibility of searching for potential biosignatures.
But transits have to be observed to make such studies, and that means we must refine the transit ephemeris, which gives us needed parameters about when the planet will cross the face of its star as seen from Earth. The problem here is that we originally had only two transits to work with because the K2 mission surveys each area of the sky for a limited period of time. But an additional two transits were added soon after the planet’s discovery using data from the Spitzer Space Telescope, yielding a total of four measurements.
Now a team from the National Astronomical Observatory of Japan (NAOJ) and the University of Tokyo has used the MuSCAT (Multi-color Simultaneous Camera for studying Atmospheres of Transiting planets) instrument on the Okayama Astrophysical Observatory’s 188-cm telescope to produce the first transit data on K2-3d from a ground-based telescope. This fifth transit has refined the orbital period of K2-3d to within about 18 seconds, setting up future transit observations of a world on the inner edge of its star’s habitable zone.
Image: Predicted transit time deviation from the improved K2-3d transit ephemeris based on this research. The solid red line indicates the predicted times based on this research, the shaded area shows the uncertainty range. Squares, triangles, and circles are respectively the transit time data from the Kepler Telescope, Spitzer Space Telescope, and the latest observing instrument MuSCAT on the Okayama 188-cm Reflector Telescope. Gray marks show the values calculated in previous research and black marks represent the values re-calculated in this research. Purple and orange dotted lines are the transit ephemerides calculated in previous research using the K2 and the K2+Spitzer data, respectively. This research succeeded in correcting the predictions for the 2018 transit times by more than an hour. (credit: NAOJ).
The decrease in brightness of the host star as K2-3d transits is small, but the next generation of large telescopes should have plenty to work with. From the paper:
The transit depth of K2-3d is the second shallowest among those observed by ground-based telescopes, following 55 Cnc e (0.4 mmag transit observed by the 2.5m Nordic Optical Telescope, de Mooij et al. 2014). Our observation demonstrates that ground-based photometric observations can play an important role in improving the transit ephemeris of small-sized, long-period planets, including potentially habitable ones, discovered by ongoing and future space-based transit surveys such as K2 and the Transiting Exoplanet Survey Satellite (Ricker et al. 2015), whose survey durations are limited.
K2-3d will not be the last transiting planet discovered by K2, which continues its mission until at least February of 2018, and as the paper notes, we can look forward to the Transiting Exoplanet Survey Satellite (TESS), scheduled for launch in December of 2017. While K2-3d is a useful addition to the catalog, we will likely find numerous small planets even closer for follow-up studies of their atmosphere. Ground-based observations to measure the ephemerides of transiting planets will be crucial as we bulk up our catalog of nearby worlds.
The paper is Fukui et al., “Ground-based Transit Observation of the Habitable-zone Super-Earth K2-3d,” Astronomical Journal 21 November 2016 (abstract / preprint).





November 29, 2016
Saturn: ‘Grazing’ the Rings
What the Jet Propulsion Laboratory refers to as ‘the first phase of the mission’s dramatic endgame’ begins tomorrow for the Cassini Saturn orbiter. Having given us an ocean within Enceladus and numerous images of Titan’s lakes and seas (not to mention ring imagery of spectacular beauty), Cassini now enters a phase in which it encounters the rings in a new way, diving past their outer edge every seven days in a series of 20 passes. The spacecraft will be in an elliptical orbit inclined some 60 degrees from the planet’s ring plane.
“We’re calling this phase of the mission Cassini’s Ring-Grazing Orbits, because we’ll be skimming past the outer edge of the rings,” said Linda Spilker, Cassini project scientist (JPL). “In addition, we have two instruments that can sample particles and gases as we cross the ring plane, so in a sense Cassini is also ‘grazing’ on the rings.”
Image: Cassini crosses Saturn’s F ring once on each of its 20 Ring-Grazing Orbits, shown here in tan and lasting from late November 2016 to April 2017. Blue represents the extended solstice mission orbits, which precede the ring-grazing phase. Credit: JPL.
That grazing will include two passes directly through a tenuous ring created by meteor strikes on the small moons Janus and Epimetheus. Each orbit will cross the ring plane just outside the F ring, considered to be the boundary of the main ring system, with Cassini actually moving through the outer edges of the F ring in April. Here the science should be particularly interesting — the 800-kilometer wide F ring is malleable, developing and dispersing filament-like structures, dark channels and streamers over short periods of time.
“Even though we’re flying closer to the F ring than we ever have, we’ll still be more than 4,850 miles (7,800 kilometers) distant. There’s very little concern over dust hazard at that range,” said Earl Maize, Cassini project manager at JPL.
A gravity assist by Titan on the T-125 flyby put the craft into its ring-grazing orbits. The new orbits (‘revs’ or revolutions in JPL parlance) begin when the spacecraft is at apoapse, its most distant position from Saturn, and the ring plane crossings happen when Cassini is at periapse, its closest approach to the planet during that orbit. The first ring-grazing orbit beginning on November 30 will see the ring plane crossing 5 days later. A final Titan flyby (T-126) in April sets up the last phase of the orbiter’s mission.
The new orbital configuration will allow Cassini to make close studies of the A and B rings as well as the F at a high level of detail. The A ring’s so-called ‘propellers’ — features that mark the location of tiny moonlets — should be seen in the best detail yet, offering researchers the chance to examine their structure. We’ll begin to see images from this phase of the mission in December as the spacecraft resolves details smaller than 1 kilometer per pixel.
Image: Saturn’s rings were named alphabetically in the order they were discovered. The narrow F ring marks the outer boundary of the main ring system. Credit: NASA/JPL-Caltech/Space Science Institute.
The distances involved in this phase of the mission are worth noting. The new orbits will take the craft within 90,000 kilometers of the planet’s cloud tops, but the Grand Finale phase, scheduled to begin next April, closes to within 1628 kilometers. This should be breathtaking, for the craft will move again and again through the gap between Saturn and the rings before making its final plunge into the atmosphere on September 15. Preparations for this final phase begin with a main engine burn on December 4. This is an engine that has served us well — this will be its 183rd burn — but the remainder of the mission will be handled with thrusters.
The spacecraft will be making a nine-hour movie of Saturn’s north pole with its Visual and Infrared Mapping Spectrometer, while also measuring (with other instruments) the boundaries of the planet’s upper atmosphere, which will be directly sampled in later orbits. You can find a complete list of Cassini’s ring-grazing orbits on this JPL reference page. Bear in mind as you look at it that there is a wonderful symmetry here. The level of detail we’ll see on these final orbits will be rivaled only by what Cassini saw upon its arrival at Saturn in 2004.





November 28, 2016
Freelancing an Interstellar Message
The problem in sending intentional signals to the stars isn’t technology. It’s our lack of consensus. Having widespread buy-in on whether, why and how to add an ‘active’ component to SETI is deeply polarizing, at least on the surface. But dig deeper: While there are those who think we should send signals about ourselves to other stars, the opposition doesn’t necessarily disagree provided appropriate discussion and consultation be achieved first.
I’m with the latter camp and always have been. To me, this is as sensible as coming up with an environmental impact statement and debating it. We need to be thinking about the issues involved here because as technologies get more powerful, individual actors will be able to send messages that would formerly have been in the province of governments.
As I mentioned last week, such issues are not new to science, as witness the debate over recombinant DNA research that eventually led to multidisciplinary agreement — for more on this, see Asilomar Conference on Recombinant DNA — (and see David Brin’s SETI, METI and the Paradox of Extraterrestrial Life for more). The point is, thorny questions involving research and the limits on action need to be resolved through wide-ranging discussion.
Image: Looking toward the center of the galaxy (itself obscured by dust) from the Chilean Andes. Credit and copyright: Serge Brunier.
These reflections were triggered by re-reading Michael Chorost’s essay How a Couple of Guys Built the Most Ambitious Alien Outreach Project Ever. The topic is the Cosmic Call messaging project that sent two signals, in 1999 and 2003, from the Evpatoria dish in the Ukraine. What’s interesting here is that Cosmic Call didn’t come out of a space agency or a government decision. It came out of a series of interactions between private players.
Chorost is a canny writer, the author of the deeply insightful World Wide Mind (Free Press, 2011) and an active commentator on technology. He followed the Cosmic Call story to its origins in Team Encounter, a Texas-based firm intent on launching a true interstellar solar sail — i.e., a sail dedicated to making a 100,000 year crossing to Alpha Centauri while bearing messages, photographs and even DNA samples from supporters. The sail morphed into a message which would involve drawings, texts and songs from the people of Earth.
This is where Yvan Dutil, a Canadian astrophysicist, came into the picture, contacting Team Encounter with his own ideas about how to put together a message. Dutil teamed up with the late physicist Stéphane Dumas, who began to ponder message ideas based on the work of Hans Freudenthal, who had studied symbolic media of communication. Remember, we have nothing in common with the species we are hoping to contact — we assume a basic sense of logic which Dutil and Dumas explored in the form of a message primer.
I won’t get into the details of the primer itself, sending you to the Chorost essay, but it’s worth noting that Douglas Vakoch (formerly of the SETI Institute, and now a METI advocate and president of METI International) saw in the Dutil/Dumas primer “…a complexity and depth that’s unparalleled in interstellar messages.” Of which there haven’t been many, but you see the point. This two man team had come up with a symbolic system that would allow, so they believed, an alien civilization to receive information, ask questions and respond.
In one way or another (and memories differ on exactly what happened), Dutil and Dumas became aware of the Evpatoria dish in the Ukraine, which led them to Alexander Zaitsev, an astronomer at the Russian Academy of Science whose work with the Evpatoria dish had largely involved planets and near-Earth asteroids. Already passionate about SETI, Zaitsev agreed to a proposal to oversee sending the Cosmic Call messages from the Ukraine.
Chorost likes to call this a ‘crowdsourced’ effort growing out of the dedication of the two scientists who had conceived the message and energized by their dealings with the Cosmic Call group. The effort would grow into a message sent to four stars in 1999 and then five more in 2003, using a transmitter powerful enough to be detectable as far as 70 light years out. But METI was controversial from the beginning, as Chorost relates:
…the National Space Agency of Ukraine, as it was called at the time, was alarmed enough to stop the transmission in 1999 after the message had been sent to the first star on the target list. According to Zaitsev, the agency was rattled by the attention the message was getting from the press. “Such energetic reaction of Western mass media also was an alarming news for Kiev’s officers,” he says. In addition, they had been told that the transmissions were “very dangerous for terrestrials and that USA’s deep space stations refused to make Cosmic Call transmission.” They pulled the plug. Zaitsev rushed to Kiev to reassure the brass, and the transmissions resumed on June 30, 1999.
The point that emerges is that this SETI project, conceived and funded by private organizations, wound up costing something on the order of $100,000, much of it from small donations. Although perhaps 20 people were involved in getting the message sent, the message itself was the work of two people. We can only assume that the costs involved are going to continue dropping, which means that other messages like this one surely lie ahead.
That gets me back to the original issue. The scientific process is all about a common forum of ideas, discussions of peer-reviewed papers, conference proceedings and meetings between experts in the field, with public debate affecting subsequent policy on matters of global import. With METI we are beginning to see significant decisions being taken by individuals without consensus among researchers and without the time for serious public reflection.
Can we find any agreement between the two camps on METI? Douglas Vakoch, a strong defender of METI, asks in a recent letter in Nature Physics whether there are ways of submitting transmission proposals to the scientific process. Let me quote him on this:
Scientists already have a process for judging the merit of METI projects: peer review. Decisions about allocating time for METI at publicly funded observatories should rely on the same procedure used for competing experiments. If proponents can make a convincing case, when compared with other proposals, for effectively using a transmitter for a specific METI experiment, then time should be granted.
There may well be a place for METI in our future, but we need to define and choose it. My own belief is that this needs to go beyond a small peer-review group for a specific project and extend to the entire idea of METI. How this could be done in the era of a global Internet is something that should spur the imaginations of everyone from social scientists to network programmers. However we formalize and codify the discussion, though, technological change forces the issue, making the question of who speaks for Earth more timely than ever.





November 23, 2016
The Starship in our Future
The relentless expansion implicit in the Kardashev scale ranks civilizations according to their use of power, with the notion that there is an upward movement from exploiting the energy resources of a planet to the entire home star and then on to the galaxy (Type III). Hence the interest in trying to observe civilizations that operate on such colossal scales. Surely a Kardashev Type III culture would, in its manipulation of such titanic energies, cast a signature that would be observable even by a relatively lowly Type .7 civilization like ours.
So far we see no signs of Type III civilizations, though early searches through our astronomical data continue (see G-HAT: Searching For Kardashev Type III, for example, which gets into the Glimpsing Heat from Alien Technologies work at Penn State). In Earth in Human Hands, David Grinspoon relates the question to our own survival challenges as we deal with the so-called Anthropocene, a time when our technologies are increasingly affecting our planet, creating a new set of challenges to survival.
Humans may have a history that implies expansion as long as resources hold out, but would alien societies necessarily parallel our own? If civilizations do not expand exponentially, perhaps because such models prove unsustainable, then the average technological culture may be on a much slower track, focusing on improving conditions a bit closer to home. That creates a set of SETI observables that we looked at yesterday, still engineering on scales beyond what we can manage ourselves, but well below Kardashev Type III.
The Inevitability of Space
Talk like this sometimes conjures images of planets where societies have turned sharply inward, moving away from exploration and adopting a low-tech way of life. But there are reasons to believe this would not be the case. In its own way, Grinspoon’s book is an example of this. The author is an astrobiologist who focuses on planetary atmospheres, their interactions with the surface, their evolution and contribution to habitability. His book includes planetary-scale projects that future humans may choose to deploy to keep the Earth healthy as we reduce atmospheric pollution and work for sustainable environments.
You can see that studies like this demand a space program as well as an advanced astronomy. If we want to understand the various paths of planetary evolution, we have to go to the planets themselves, gathering data on why Venus has turned out to be the hellish place it is, and why Mars has proven unable to sustain habitable conditions. We also have to study exoplanets with many of the same issues in mind, learning how stellar systems form around distant stars and witnessing the variety of outcomes in systems much different from our own.
Sheer curiosity drives at least our species to planetary exploration even as we learn how best to manage our own planet, and it seems reasonable that alien civilizations would do the same. Moreover, we have the imperative of protecting our world from catastrophes and mass extinctions, so vividly illustrated in our geological past. I’ve argued for a long time that the need to operate far from Earth is essential if we are to have the capability of changing dangerous asteroid or comet trajectories. These technologies are planetary insurance policies that emerge in tandem with our interest in how other worlds have followed their own evolutionary paths. Space is part and parcel of keeping a technological society healthy.
Image: Putting our technologies to work sustaining a planet cannot be done without a robust space program that delivers the lessons of planetary evolution and provides opportunities for deeper exploration.
And can we reach the stars? We can go back to Tsiolkovsky to find the origins of the so-called ‘generation ship,’ that staple of science fiction that presents an intriguing alternative to the all but instantaneous travel so many SF scenarios invoke. Traveling at a small percentage of lightspeed, the generation ship breaks no physical laws and sacrifices travel time for its own kind of sustainability, a functioning culture aboard a vessel in constant passage to the stars. Destinations are finally reached, but I’m persuaded that we may eventually see such ships become their own solution to habitability, an alternative to any kind of planetary surface.
Grinspoon finds the generation ship a useful analogy. For in many older SF tales (think Heinlein’s Orphans of the Sky for one), the knowledge of the ‘world’ as a ship on a voyage has been lost and must be recovered. Suddenly the passengers must be introduced to the idea that there is an entire universe outside the ship. The challenge now is to figure out where the ship is, how far along in its journey, and what to do with it upon arrival. Can we relate this to the early Anthropocene and the need to overcome its challenges? Grinspoon does it this way:
We are hurtling through space on the only place we know we could live, and we’ve discovered that it is indeed, in part, a kind of construct. We are piecing together its history, coming to understand our situation, and realizing that we have inherited a role for which we are not trained. Our current world, inhabited by seven billion, soon to be ten billion people, was created, in part, by the actions of our predecessors and will require smart engineering to return to a safe course. Our immediate task is to switch to auxiliary power and turn off the carbon generators that are overheating the ship. Our longer-term challenge is to shore up our world for the generations who inherit it.
But the generation ship is also a technological outcome in its own right. Here we can think about human migrations in the distant past, out of Africa, across the Bering Strait, into the deep Pacific by outrigger, and so on. Each such migration committed future generations to outcomes they could not choose, just as decisions we make today about our technologies will produce a civilization we hand off to descendants who have no voice in the matter. Like Grinspoon, I think that the nature of our species includes the will, the need, to explore, which is why we will eventually build such craft even as we develop faster technologies.
We are also pushing our space technologies to the limit as we start talking about true interstellar probes, sail-driven craft that will reach their targets within decades, the kind of project envisioned by Breakthrough Starshot. This drive to explore distant targets is not slowing down now that we have surveyed the planets in our own Solar System. Instead, we are trying to get data unavailable to our largest telescopes to expand our understanding of planets around the closest stars, each of which may offer lessons in planetary management.
No, space is woven into the very fabric of a culture coming to grips with the effects of its technologies on its own planet. Thus I think we can expect that even if a culture is not necessarily climbing the Kardashev scale as relentlessly as we might expect, it will still be exploring on its own timeframes the planets and stars closest to it. Who knows what protocols of contact might keep such a culture from making itself known to those it encounters? And who knows what kind of philosophies of time and space may be spawned by all this?
For when we start talking about leaving a home world, we confront the immensity not just of distance but of time. Grinspoon is eloquent on the matter:
Going interstellar means going long. We cannot imagine ourselves as interstellar actors without also conceiving of ourselves as intergenerational actors. We cannot reach the stars without a sense of identity and goals that span generations. This is true for interstellar communication as well as for travel. Neither makes sense unless we see ourselves as collaborating with our descendants. To travel, or even send messages, to the stars, we will have to start conversations, projects, and journeys for our descendants to finish. This cements the essential bonds between generations. We won’t be the first to attempt such projects. The builders of pyramids and cathedrals mostly never lived to see them completed. Sometimes they worked under duress or coercion, but sometimes they were moved by spiritual commitment to something beyond their individual lives. I think of science itself as such an effort, with individual researchers fashioning bricks in an edifice each of us can see only partly constructed, knowing that our students and theirs will continue to build.
The sense of commitment and sacrifice toward outcomes bigger than ourselves often feels missing in our day, but these are human traits that continually re-surface in our history. We keep hammering on these issues because their relevance persists, and the fog of short-term thinking occasionally lifts to offer a view of landscapes and stars so expansive as to take the breath away. Handing off ideas to our posterity is the best life-shaping goal I know. Our messages must reach across generations and we must see that they get there intact.





November 22, 2016
Looking for ‘Technosignatures’
We speculated yesterday that categorizing civilizations on the basis of their power use may not be a given, though it is the basis of the familiar Kardashev types. It seems natural to a rapidly changing technological society like ours that the trend is always upward, a clear path toward harnessing the energies of the home planet, then the Sun, then the galaxy.
That this may not be the case seems to go against the grain of ‘Dysonian SETI,’ which looks for, among other things, artifacts as large as Dyson spheres and other astro-engineering projects on massive scales. Or maybe not, for some engineering involving adjustments to planetary environments may well produce observables. We just have to be aware of the range of possibilities here, and recognize our own limitations in trying to figure them out.
For we’ve learned something else from technology, and that is that its components grow ever smaller. Working at nanotech scales to create things from the ground up isn’t beyond the imagination, and engineering that recedes into the background so as not to be visibly apparent is even now gaining traction. The kind of voice recognition and rudimentary intelligence built into my Google Pixel hides its complexities in a small package. I speak into the air and tap the resources of computer clusters that are located who knows where.
What would a stable, space-faring civilization that has gone through its own version of the Anthropocene and reached a societal maturity look like when viewed from afar? Working these themes in Earth in Human Hands (Grand Central, 2016), David Grinspoon is anxious to reconcile our human activities through technology with the long-term survival of the planet, an outcome he believes, with a refreshing optimism, is likely to occur.
As we’ll see, it’s also an outcome made possible by going off-planet, for we cannot turn our back on the technologies that have the power to transform and heal our world. These invariably involve studying our globe with new space-based tools and analyzing other planets to understand what can go wrong and right about planetary evolution. So the question becomes, how does a civilization get through its early stages to harmonize its technologies with the planet that gave it birth, becoming a ‘planetary intelligence’? And from the SETI perspective, how would we go about finding a civilization that had succeeded?
A Different Kind of Biosignature
We’re entering the era when space-based resources will be able to analyze the atmospheres of exoplanets, looking for the kind of imbalances that suggest constant replenishment in a life cycle of some kind. The same technologies allow us to look for what we can call ‘technosignatures,’ which are signs not just of life but of a civilization. One way to look at this is through terraforming, the adaptation of a planet to make it hospitable for living beings. Grinspoon believes that we will eventually be terraforming our own world, in the sense that we will acknowledge the need to engineer and reverse ecological damage and emissions.
Image: Can we detect not just biosignatures but signs of technological civilizations through analysis of an exoplanet’s atmosphere? Credit: IAU/L. Calçada
One thought is to look for signs of imbalance suggestive of technologies like ours, producing air pollution that can be measured by spectroscopic analysis. Because we don’t know what we may eventually stumble across, it makes sense to study the potential signatures of a planet in transition. I can point you, for example, to Henry Lin (Harvard) and colleagues, who have produced “Detecting industrial pollution in the atmospheres of earth-like exoplanets,” a paper published in the Astrophysical Journal Letters (Volume 792, Number 1 — preprint here).
Lin’s team is interested in anthropogenic pollution as a technosignature (though he doesn’t use the term), a marker of intelligent life and technology. It turns out that the James Webb Space Telescope will be capable of picking up atmospheric tetrafluoromethane and trichlorofluoromethane, which are the easiest to detect chlorofluorocarbons produced by industrial activities. But Lin is talking about detections involving Earth-like planets transiting white dwarfs and levels of pollution ten times as strong as Earth’s.
Even so, this gets intriguing. One thought is that a civilization in a highly polluted environment is transitory — it is either going to solve its contamination problems or else go under, and this must occur in a tiny window on the scales of astronomical time. But perhaps there is another possibility, as the paper argues:
Coupled with the fact that the half-life of CF4 in the atmosphere is ∼ 50, 000 years, it is not inconceivable that an alien civilization which industrialized many millennia ago might have detectable levels of CF4. A more optimistic possibility is that the alien civilization is deliberately emitting molecules with high GWP [global warming potential] to terraform a planet on the outer edge of the habitable zone, or to keep their planet warm as the white dwarf slowly cools.
Now we’re hunting a terraforming signature, an environment being deliberately manipulated. David Grinspoon points to this kind of signature as a more enduring observable:
If we find an exoplanet with a strange climate that is being controlled by unexpected atmospheric compounds such as chlorofluorocarbons, that should get our attention. Or if we find a world with a suspiciously unusual pattern of albedo (reflectivity) or day/night pattern of brightness, we might suspect planetary engineering with mirrors or surface alteration. We should take notice if such a world seems to be in a climate state that preserves or extends an early evolutionary stage, stabilizing against the aging of its star.
Global engineering on a scale that would ward off, say, a runaway greenhouse should throw a signature; it’s our job to figure out what it would be, on the off chance that we someday see it. It’s clear enough, and Grinspoon makes the point repeatedly, that we can’t anticipate what advanced alien societies are going to do, so maybe the best approach is to be on the lookout for what we can call ‘unnatural’ planetary states that tip us to some kind of management. This theme — that we have to avoid being doctrinaire because we are bringing all too human judgments into matters that involve aliens, about whom we know nothing at all — is significant not just for analyzing our SETI observables but for extending SETI into other arenas.
Signaling to the Stars
There is a photo in Earth in Human Hands that shows author David Grinspoon standing with Alexander Zaitsev, who was chief scientist at the Russian Academy of Science’s Institute of Radio Engineering and Electronics, and whose name has become synonymous with broadcasting to the stars. Zaitsev has, in fact, been the driver behind several messages beamed from Earth as a deliberate attempt to raise the interest of any nearby civilizations. In 1999, the first Cosmic Call message was transmitted to four different stars, with a second Cosmic Call sent out in 2003 to five Sun-like stars between 30 and 45 light years away.
Long-time Centauri Dreams readers know that Dr. Zaitsev was a frequent contributor to the comments in these pages as the discussion over so-called METI (Messaging to Extraterrestrial Intelligence), also known as Active SETI, flared into life. And I do mean ‘flared’ — nothing polarizes people more than the question of whether or not we should deliberately brighten our radio signature with such targeted messages, given that we know absolutely nothing about what kind of alien civilizations may exist. It’s ‘shouting into the dark,’ at a time when we don’t have a clue what may be out there.
David Brin was also a frequent participant in those discussions, which often referred to the 1983 Brin paper “The Great Silence” and speculated on reasons why advanced civilizations might want to keep a low profile. While METI proponents argue that reaching out to announce our presence is a means of exploration, and one that is necessary because if all civilizations are listeners, there will be nothing to receive, the Brin contingent argues that inclusive international discussions are needed so that we make this decision by consensus.
Image: At the heart of the Messier 13 globular cluster in Hercules, toward which a simple pictorial message was sent from Arecibo in 1974. Credit: Credit: ESA/Hubble and NASA.
This is a serious debate with a history that I don’t have time to get into this morning other than to say that Grinspoon’s book presents the background. There is plenty to talk about — the development of guidelines for Earth broadcasts at Valencia in 2006, a strong editorial response in Nature, the resignation of Michael Michaud and John Billingham from an IAA SETI study group because of changes to the Second SETI Protocol, the AAAS session in San Jose in 2015 — and the often acrimonious debate continues to flourish.
Brin has often held up the ‘Asilomar process’ as a model. The reference is to the agreements within the DNA research community to work out voluntary guidelines for experiments and containment procedures, while banning particularly dangerous experiments involving hard to contain pathogens. The Asilomar guidelines became incorporated into laboratory practices as the field of biotechnology began its growth. It was a form of self-policing that effectively kept research alive while minimizing associated risks. Can we adapt such a process to METI?
METI is filled with arguments and counter-arguments, most of which have been rehearsed in these pages many times over. But I found Grinspoon’s take on the matter refreshing because he’s one of the few involved in the debate who have actually changed sides over time. Beginning with a position not so far from Alexander Zaitsev’s, that SETI demanded both a listening and a sending component, Grinspoon now says he is swayed by those who advocate caution and a moratorium on broadcasts until the matter can be fully assessed.
I’m taken with the fact that the author stresses how much we don’t know. It’s easy to use our human experience to generalize about what aliens might do, something that occurs all the time in discussions on METI. How likely is it that an alien culture would see us as a threat? How reasonable is it to assume that an advanced civilization will have given up war? Shouldn’t we expect a species more advanced than us scientifically to be morally advanced as well? Wouldn’t they, in fact, be inclined to help us elevate our own society to their level?
Grinspoon has been down this road, and he goes through these are other reasons why broadcasting to the stars could be beneficial. But the reasons simply aren’t enough:
Still, I must also admit that these are just my opinions, semi-informed at best. We absolutely can’t know any of this. Maybe it’s all wishful thinking. There certainly are logically valid arguments for the possibility of great dangers. So how do we proceed, if the risks seem absurdly low, but the cost of being wrong is everything we have, everything we love?
Which means that the author remains in favor of active SETI but only with appropriate precautions, and supports a voluntary moratorium. His thinking ties in with the long-term perspective — a millennial outlook — that informs his discussion of geoengineering. We have vast amounts to learn, in other words, about climate before we ever think of active terraforming, either here or somewhere else. Similarly, we need global buy-in to a project like METI that, to be successful, will doubtless also need to operate on long timeframes.
…I would submit that lack of self-knowledge is an existential risk. It may well be that the greatest value of METI will come not from anything we learn in response to a message we send, but from what we learn about ourselves in the process of attempting to reach some common ground and find our global voice. If we decide to send a message to possible extraterrestrials, we are also sending a message to our descendants. We are gifting them with possibilities of both benefit and harm. Such an endeavor requires us to form an alliance with future generations, to enter into a common project with them. That is clearly something we need to learn how to do. So, then, starting the conversation about whether to broadcast, the effort to have a globally inclusive process, becomes a worthwhile goal in itself.
Tomorrow I’ll wrap up this discussion of Earth in Human Hands with the question of sustainability in the context of space. Is a civilization that is working long-term in ways that are hard to spot by our SETI methods one that is invariably planet bound? The answer is no, and we’ll talk about this in terms of interstellar travel. Also in coming days, I want to look at Caleb Scharf’s thoughts on how alien life may prove indistinguishable from physics. More anon.





November 21, 2016
SETI in the Anthropocene
Have we, as some have argued, entered a new ‘age of humanity,’ the so-called Anthropocene? The notion is controversial in many quarters, but it addresses the growing concern about our human influence on the Earth and the nature of planetary change. David Grinspoon’s new book Earth in Human Hands (Grand Central Publishing, 2016) has much to say about the Anthropocene, but as anyone who has read the work of this canny scientist knows, he’s not one to let facile assumptions get by unquestioned.
For if the activity of humans is now emerging as an agent of geological change, then we are discussing our civilization in the same terms we talk about planetary forces like tectonic movement and the carbon cycle. This makes us major players whose effects we can begin to chart in terms of the effects of our technology on Earth’s living systems. If the Anthropocene is happening, it presents us not only with danger but the prospect of a long-term future. And its implications take in not just our movement into space but our search for other civilizations.
Hence Grinspoon’s view that while we are leaving an unmistakable footprint on our planet’s living substrate, this is not something to be deplored as much as understood and put to good use, the theory being that living things have always shaped the world around them, in ways as profound as the Great Oxygenation Event of 2.5 billion years ago. Earth in Human Hands is rich in discussion of what it would be like to enter what Grinspoon calls the ‘mature Anthropocene,’ in which humans acting wisely and with long-term horizons learn to use technology to repair past damage and introduce a new era of planetary stability.
In this view, our current dilemma is that we are achieving global impact without any sense of global control. The analysis is filled with Grinspoon’s experience as an astrobiologist and it draws together themes that are at the heart of how we consider our own future and how we look at other civilizations. For make no mistake, when we examine SETI, we’re forced to address questions like the lifespan of a technological civilization. If such societies persist, how do they do it, and equally of interest, what sort of signature would they leave? Stanislaw Lem comes to mind, and Grinspoon quotes him from his Summa Technologiae:
We need to overcome the habit of considering outcomes of human activity as more imperfect than those of nature’s activity — understandable as such a habit may be at the current stage of development — if we are to talk about what is going to happen in a faraway future.
Are we not ourselves a part of the nature we study, and rather than deploring the fact, should we not be considering how to make our own contribution to the mindfulness that intelligent life brings to the universe? You may pick up a bit of Sagan in these themes, particularly the Sagan (and Shklovskii) of the 1966 masterwork Intelligent Life in the Universe. The connection is borne out by Grinspoon’s relationship with Sagan, who worked with the author’s father at Harvard and shaped his boyhood and early career. No wonder Sagan and Shklovskii’s influence on SETI play such a vital and entertaining role in his book.
A Third Route for SETI
A confluence of events marks the beginning of SETI, with Frank Drake’s early efforts at Project Ozma following swiftly after the famous “Searching for Interstellar Communications” paper by Giuseppe Cocconi and Philip Morrison. But I think you could say that the discipline put down its formative roots at two conferences, the first being the one Drake hosted at Green Bank in 1961, the second the First All-Union Conference on Extraterrestrial Civilizations and Interstellar Communication, which was held in 1964 at the Byurakan Astrophysical Observatory in Soviet Armenia. Between the two we see a foundational SETI defined.
Frank Drake’s famous equation emerged from Green Bank, a conference with only 11 attendees that took SETI out of the realm of theory and into observational science. At Byurakan, Iosif Shklovskii criticized the Cocconi and Morrison paper for being too restrictive — the authors, Shklovskii argued, assumed that extraterrestrial civilizations would be on approximately the same level as ourselves. Shklovskii believed that any civilizations we detected would be far more advanced technologically than ourselves, for “We are only infants as far as science and technology are concerned,” and technology’s growth is rapid.
Grinspoon’s treatment of SETI is relaxed and knowledgeable, but it is the weaving of the anthropocene theme into SETI’s subsequent development that gives these chapters punch. For Nikolai Kardashev, then a young student of Shklovskii’s, was also at Byurakan to make the case for his three types of technological civilization, based on what he saw as a predictable and steady increase in the use of energy. Thus the categories most Centauri Dreams readers have come to be familiar with:
Type I: A civilization that can use all the energy resources of its own planet.
Type II: A civilization using all the energy resources available from its star. This is a civilization that has mastered its own stellar system and travels readily in space.
Type III: A civilization that can harness the energy of its entire galaxy. This is obviously an interstellar culture that moves freely between stars.
Image: Astrobiologist and author David Grinspoon, now a senior scientist at the Planetary Science Institute in Tucson.
We have often considered in these pages how advanced civilizations might present themselves to a distant observer; i.e., what kind of signature their engineering might leave in star systems and, indeed, in entire galaxies. Searches for Dyson spheres and odd stellar phenomena like the light curves of KIC 8462852 (Boyajian’s Star) continue to push the boundaries of radio and optical SETI. At a second conference in Byurakan, put together by Sagan and Shklovskii following the success of their book, the discussions of advanced technologies clustered around the Kardashev scale and its potential observables.
Radio and optical SETI, the first level of SETI, are complemented by a Dysonian SETI (level 2) that looks through our astronomical data for the signs of technological activity. But Grinspoon points out the key assumption of the Kardashev scale: That civilizations will inevitably increase their energy use in order to fuel a continuing expansion into the cosmos.
This is an idea of progress that is generally accepted — Grinspoon calls it the ‘inevitable expansion fallacy’ — but it is one that doesn’t take into account that key term (L in Drake’s equation) about the lifetime of a technological civilization. What if, in short, expanding in the Kardashev manner is the most likely way to end the growth of a culture?
A third level of SETI now emerges. You can see how Grinspoon is tying this back into the idea of an Anthropocene epoch on Earth. Let me quote him on this:
…it is reasonable to suppose that truly successful, long-lived species have all discarded the expansion imperative, and replaced it with an ethic of sustainability, of valuing longevity of expansion. If technological intelligence has a true and lasting form, one of its basic properties must be that it moves beyond the exponential expansion phase (characteristic of simple life in a petri dish or on a finite planet) before it hits the top of the S-curve and crashes. For us, achieving this kind of planetary intelligence will require critically examining our inherited biological habits and shedding those that have become liabilities.
And what exactly does a planetary intelligence involve? Grinspoon explains it as:
…thoughtful control over one’s self, escape from the mindless drives to multiply, to expand, to lay waste, kill, and drown in your own waste. Perhaps this is why we will not find what Shklovskii called ‘miracles,’ the highly visible works of vastly expanded super-advanced civilizations. Because advanced intelligences are not stupid.
At this point, we’ve stood Kardashev’s ideas on their head, for what Grinspoon is saying is that the kind of technological intelligence that lasts is one that has the ability to overcome its biological need for exponential growth. If this is the case, then we are confronted with the possibility that the more advanced a technological civilization becomes, the less likely we will be to distinguish it from natural phenomena. We may confront a cosmos rife with advanced civilizations whose work is so harmonized with their surroundings as to be invisible.
In earthly terms, the ‘mature Anthropocene’ is where we begin to move out of the era when the changes we make to our planet are beyond our comprehension, and into the era when we begin to consciously shape the Earth’s future, a time when, as Grinspoon writes:
…we fully incorporate our uniquely human powers of imagination, abstraction, and foresight into our role as an integral part of the planetary system. The mature Anthropocene differentiates conscious, purposeful global change from the inadvertent, random changes that have largely brought us to this point.
In SETI terms, consider the Anthropocene a metaphor for what can happen on other worlds. As we first confront the danger of technological over-reach in our environment and then learn to heal the wounds that limit sustainable growth, we may turn toward a balance that sustains our planetary ecology while ensuring the survival of our civilization. What Grinspoon calls the ‘Sapiezoic’ eon would be the long-lived stage of technological civilization that leads conceivably to immortality. Exponential expansion may simply be an evolutionary dead end, and the likelihood of finding civilizations that are learning this lesson the hard way is vanishingly small. They are simply not in existence long enough for us to see them.
Do we have a chance at detecting a civilization that operates according to the long-term model? Let’s talk about that tomorrow as we continue to look at this third route for SETI. We’ll also see that in Grinspoon’s view, expansion into space has a major role to play in the survival of long-haul civilizations. Developing a stable relationship with world-changing technologies is the key.





November 18, 2016
Nearby Super-Earth at GJ 536
The discovery of a super-Earth of about 5 Earth masses orbiting the star GJ 536 is a helpful addition to our catalog of nearby red dwarf planets. About 33 light years out, GJ 536b orbits its primary at a distance of 0.06661 AU, an 8.7 day orbit that is too close to be in the habitable zone. But its very proximity to the star implies the possibility of a transit, which could pay big dividends in spectroscopic studies of its atmosphere. Follow-ups as soon as next year should tell us whether it does in fact transit.
The work comes out of the Geneva Observatory, working with researchers in France and Portugal, and involves data from the HARPS (High Accuracy Radial velocity Planet Searcher) spectrograph on the European Southern Observatory’s 3.6 meter telescope at La Silla (Chile). And it has me thinking about the problems and benefits of red dwarf studies. For one thing, astronomers can use nearby M-dwarfs for exoplanet detection because the low mass of the star offers up a robust radial velocity signal — RV was the method used in this detection.
But as the paper on this work notes, M-dwarfs also produce plentiful activity on the surface, which can not only introduce noise into the signal but can actually mimic a planetary signature. Tread carefully in this region, in other words, and be wary of false positives. Thus the research team, headed up by Alejandro Suárez Mascareño (Instituto de Astrofísica de Canarias), also reports a second significant radial velocity signal at 43.8 days which can be readily ruled out:
The second radial-velocity signal of period 43.8 d and semi amplitude of 1.6 ms−1 is a magnetic activity induced signal related to the rotation of the star. We also found a magnetic cycle shorter than 3 yr which would place this star among those with the shortest reported magnetic cycles.
As with our own Sun, whose magnetic cycle runs to 11 years, we’re looking at stellar activity that can alter the star’s radiation, produce starspots and perhaps produce flares.
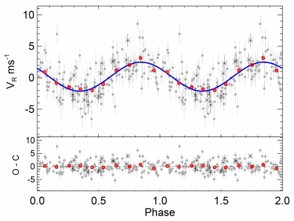
Image: Radial velocity signal of a planet. This is Fig. 10 from the GJ 536b paper, captioned “Phase folded curve of the radial velocity using the 8.7 d period. Grey dots are the raw radial-velocity measurements after subtracting the mean value and the 43.9 d signal. Credit: Mascareño et al. (citation below).
Let’s back out to a broader picture for a moment. Although the Kepler instrument as well as numerous radial velocity and transit studies by ground-based telescopes have given us a priceless catalog of planets, we’re still talking about no more than about a hundred confirmed planets around M-dwarfs. Of these, only a subset consists of rocky planets. We do see systems with Neptune-mass planets and super-Earths, not to mention a few planets near Earth mass, the most spectacular being the world around Proxima Centauri.
We don’t have nearly as much hard data about the frequency of rocky planets around M-dwarfs as we would like, which is why I pay so much attention to such discoveries. We’d like to learn more about the probabilities, particularly in light of work like that of Ravi Kopparapu, who reported in these pages back in 2014 about his own estimate. The Penn State scientist recalculated work by Harvard’s Courtney Dressing and David Charbonneau and came up with what he calls a ‘conservative’ estimate that 48 percent of M-dwarfs should have Earth-size planets in the habitable zone. In other words, an impressive 1 out of every 2.
Given that 75 to 80 percent of the stars in the galaxy are M-dwarfs, this opens up vast numbers of possibly habitable worlds. You can refresh your memory on Kopparapu’s work in How Common Are Potential Habitable Worlds in Our Galaxy, which also discusses the probabilities of habitable planets around G-class stars like our Sun (Kopparapu discusses estimates of about 1 in 5 but believes they are too low). In any case, we need to do with small rocky worlds around nearby stars what we did with the Kepler field stars; i.e. we need to pull in enough data to build up a significant statistical sample. Upcoming missions like TESS (Transiting Exoplanet Survey Satellite) are vital, while the James Webb Space Telescope should be able to analyze the kinds of gases present in the atmospheres of planets around M-dwarfs.
Back to GJ 536b: The authors calculate that for a planet to be in the habitable zone of GJ 536, it would have to orbit in no less than 20 days. At 8.7 days, GJ 536b is too close to the star for habitable conditions to exist. But note this:
The stability of its rotation signals and the low amplitude of the radial-velocity signals with a magnetic origin makes this star a good candidate to search for longer period planets of moderate mass. A rough estimate of the detection limits tells us there is still room for Earth-like planets (∼ 1 M⊕) at orbits smaller than 10, super-Earths (< 10 M⊕) at orbits going from 10 to 400 days, and even for a Neptune mass planet (< 20 M⊕) at periods longer than ∼3 yr.
So the hunt for planets around GJ 536 is clearly not over. We can expect the action to heat up for red dwarf planets in the solar neighborhood as we get new assets into space and continue developing the next generation of ground-based telescopes. If planets in the habitable zones around these stars are as plentiful as some scientists think, we’ll count on spectroscopic analysis of many an atmosphere to give us clues about the possibility of life.
The paper is Mascareño et al., “A super-Earth orbiting the nearby M-dwarf GJ 536,” accepted at Astronomy & Astrophysics (preprint).





Paul Gilster's Blog
- Paul Gilster's profile
- 7 followers
