Paul Gilster's Blog, page 109
April 10, 2018
Exoplanets: Accelerating the Pace of Discovery
As we await the launch of the Transiting Exoplanet Survey Satellite, I want to pause this morning to remind everyone of another significant mission: CHEOPS (CHaracterising ExOPlanet Satellite). The decade ahead is going to be an exciting one for exoplanet discovery, given that we have TESS about ready to go, JWST in the pipeline despite its problems, and CHEOPS expected to launch in 2019. Eleven European nations are involved in CHEOPS, a European Space Agency ‘S-class’ mission that will study exoplanetary transits.
Image: Artist’s impression of CHEOPS at work. Credit: ESA.
In 2026, we can look forward to ESA’s PLAnetary Transits and Oscillations of stars (PLATO) mission, which will study up to a million stars in search of planetary transits, with the emphasis on rocky planets in the habitable zone. In 2028, we have the ARIEL mission (Atmospheric Remote-sensing Infrared Exoplanet Large-survey) to anticipate (see ARIEL: Focus on Exoplanet Atmospheres). What a run of space-based photometric discovery lies ahead.
We’ve been studying exoplanet transits from space since 2006, when the CoRoT mission launched. CoRoT examined two fields of view, each containing several thousand dwarf stars with magnitudes ranging from 11 to 16. In its five years of operations, the mission discovered, among several dozen exoplanets, a planet designated CoRoT-7b, which turned out to be the first exoplanet identified as having a rocky core.
Kepler expanded the field by measuring brightness variations to an accuracy of order 20 ppm in a single field of view of approximately 100-square degrees, and continues to function in its remarkable K2 extended mission. We’ve been tracking developments in the thousands of Kepler confirmed and candidate exoplanets since the mission began. Now CHEOPS will target bright stars to provide a large sample of small planets with well-measured radii, enough to provide the density information we need as we probe deeper into planet formation and evolution. Both missions will feed prime exoplanet targets to our anticipated JWST.
CHEOPS will use an optical telescope with an aperture of 30 cm inserted into a Sun-synchronous orbit about 800 kilometers above the Earth, with a mission duration of 3.5 years. Synergies between CHEOPS and TESS should be apparent, with CHEOPS delivering precise radius information on targets identified by the earlier mission. The photometric precision CHEOPS achieves should be similar to Kepler’s, while observing brighter stars located anywhere on the sky and targeting small exoplanets already found by radial velocity methods as well as transiting Neptune-class worlds that have been detected by ground surveys.
This morning comes news that construction of CHEOPS has been completed, with engineers from the Center for Space and Habitability (CSH) at the University of Bern packaging the instrument for delivery to Madrid, where it will be integrated to the satellite platform. Airbus Defense and Space in Spain built the satellite platform and will supervise testing of the integrated spacecraft in coming weeks. At the conclusion of various further rounds of testing, the spacecraft will be sent to Kourou in French Guiana, from which it will be launched in 2019 by a Soyuz rocket.
Image: The CHEOPS telescope in the cleanroom of the University of Bern. Credit: Thomas Beck / Universität Bern.
As the first mission designed to follow-up previous planetary discoveries around bright stars, a primary goal is to pick out those exoplanets most suitable for further investigation, particularly those whose atmospheres may be suitable for analysis. Planners hope that CHEOPS will be able to provide radii of unprecedented accuracy in those cases where ground measurements have provided a value for the planet’s mass, allowing the calculation of planetary density. Beyond choosing targets for further spectroscopic analysis, the telescope will also be used to examine Neptune-class planets and study the atmospheres of ‘hot Jupiters.’
With TESS taking the baton from Kepler, CHEOPS to follow, then PLATO and ARIEL, we are looking at all but continual dedicated exoplanet missions into the 2030s, perhaps 30 years from CoRoT through PLATO, as my friend Ashley Baldwin has reminded me in a recent email. Bear in mind that this time period will also see the emergence of the extremely large telescope (ELT) class of instrument on the ground. A golden age of discovery goes into accelerated mode.





April 9, 2018
A Triton Lander Mission
What would be our next step in the exploration of the outer system once New Horizons has visited one or more Kuiper Belt objects (KBOs)? One intriguing target with a nearby ice giant to recommend it is Triton, Neptune’s unusual moon, which was imaged up close only once, by Voyager 2 in 1989. The views were spectacular but at the time of the encounter, most of Triton’s northern hemisphere remained unseen because it was in darkness. Only one hemisphere showed up clearly as the spacecraft passed the moon at a distance of 40,000 kilometers.
Our next visit should tell us much more, but we’re still working out the concept. Thus Steven Oleson’s Phase II grant from NASA’s Innovative Advanced Concepts (NIAC) office. Oleson (NASA GRC) calls the idea Triton Hopper. In his Phase I study, he identified the various risks of the mission, analyzing its performance and its ability to collect propellant. For Triton Hopper — moving from point to point — would rely on a radioisotope engine that would collect nitrogen ice and use it for propellant, mining the moon’s surface to keep the mission viable.
Image: Graphic depiction of Triton Hopper: Exploring Neptune’s Captured Kuiper Belt Object. Credit: S. Oleson.
Triton is interesting on a number of levels, one of which has received recent examination As with other outer system moons, we’re learning that there may be a liquid ocean beneath the crust. Let me quote a short presentation from Terry Hurford (NASA GSFC) on this:
There is compelling evidence that Triton should be considered an ocean world. Fractures observed on Triton’s surface are consistent in location and orientation with tidal stresses produced by the decay of Triton’s orbit as it migrates toward Neptune. Tidal stresses can only reach levels to fracture the surface if a subsurface ocean exists; a solid interior will result in smaller tidal stress and likely no tectonic activity. Tidal stresses therefore provide a mechanism for fracturing and volcanism analogous to activity observed on Enceladus and, possibly, Europa. Given that Triton’s interior has dissipated a tremendous amount of energy as heat, which likely drove differentiation, and that this heat may remain until the present day, an energy source likely exists to drive geologically recent activity. Moreover, it is possible that tidal volcanism has facilitated, if not dictated, the expression of this activity on Triton’s surface.
Triton’s surface seems to be in geological motion, given how few craters show up in the Voyager views. We can also factor in that this is the only large moon in the Solar System with a retrograde orbit, leading to the view that it is a captured dwarf planet from the Kuiper Belt. That nitrogen that Steven Oleson wants to use should be abundant at the surface, with a mostly water-ice crust to be found below. Also of considerable interest: Triton’s surface deposits of tholins, organic compounds that may be precursor chemicals to the origin of life.
Image: Triton’s south polar terrain photographed by the Voyager 2 spacecraft. About 50 dark plumes mark what may be ice volcanoes. This version has been rotated 90 degrees counterclockwise and artificially colorized based on another Voyager 2 image. Credit: NASA/JPL.
Geologically active places like Triton are intriguing — think of Io and Europa, Enceladus and Titan — and we can add Triton’s nitrogen gas geysers into the mix, along with its tenuous nitrogen atmosphere. No question a lander here would offer abundant science return. Oleson proposes heating that surface nitrogen ice under pressure and using it as a propellant that would allow a continuing series of ‘hops’ as high as 1 kilometer and 5 kilometers downrange. Thus we would get images and videos while aloft, and surface analysis while on the ground.
Intriguing. The thin atmosphere and even the geysers could be sampled by a Triton Hopper in the same way we have looked at the Enceladus plumes, by passing directly through them.
Working with GRC colleague Geoffrey Landis, Oleson presented Triton Hopper last year at the Planetary Science Vision 2050 Workshop in Washington DC. The thinking is to land near the south pole in 2040, in the area where geysers have already been detected. The surface can then be explored in as many as 60 hops, covering some 300 kilometers. Using in situ ices as propellants offers a uniquely renewable potential for mobility.
Oleson’s Phase II work will cover, in addition to mission options to reach Triton and descend to the surface in about 15 years, details of safe landing and takeoff of the hopper. Propellant gathering is obviously a major issue, one that will be explored through a bevameter experiment on frozen nitrogen (a bevameter can measure the properties of a surface in terms of interaction with wheeled or tracked vehicles). Also in play: How to collect and heat the nitrogen propellant and find ways to increase hop distance, solutions that could play into other icy moon missions.
Be aware, too, of a Phase II grant to Michael VanWoerkom (ExoTerra Resource), who will be studying in situ resource utilization (ISRU) and miniaturization. VanWoerkom’s NIMPH project (Nano Icy Moons Propellant Harvester) will deepen his investigation into mission refueling at destination, producing return propellant on site. The work thus complements Triton Hopper and deepens our catalog of strategies for sample return from a variety of surfaces.
The NASA precis for Oleson’s Phase II study is here. The NIMPH precis is here. The Hurford presentation is available as Hurford et al., “Triton’s Fractures as Evidence for a Subsurface Ocean,” Lunar and Planetary Science XLVIII (2017) (full text), but see as well Should we reconsider our view on Neptune’s largest moon?, which ran at Astronomy.com.





April 6, 2018
Laser Beaming and Infrastructure
Looking at John Brophy’s Phase II NIAC award reminds us how useful the two-step process can be at clarifying and re-configuring deep space concepts. Brophy (Jet Propulsion Laboratory) had gone to work in Phase I with a study called “A Breakthrough Propulsion Architecture for Interstellar Precursor Missions.” The work studied a lithium-fueled ion thruster with a specific impulse of 58,000 seconds. If that didn’t get your attention, consider that the Dawn spacecraft’s ISP is 3,000 seconds, and think about what we might be able to do with that higher figure.
I think about ideas like this in terms of infrastructure. The relation to interstellar flight is this: While we may well get robotic nano-probes off on interstellar missions (think Breakthrough Starshot) some time this century, the idea of human expansion into the cosmos awaits the growth of our civilization into the rest of the Solar System. Along the way, we will learn the huge lessons of closed-loop life support, means of planetary protection and propulsion technologies to shorten trip times. Building that infrastructure is an early phase of the interstellar project.
What Brophy has been working on with his Phase I study is the question of how to provide power to craft at the outer edge of our planetary system. When I looked at the 2017 NIAC awards, a stumbling block for Brophy seemed to be the need for a 10-kilometer laser array.
Brophy’s idea was to beam power to a lightweight photovoltaic array aboard the actual spacecraft — this is how he generates the power needed to drive those ion thrusters. Closer to home we would use solar power to do the trick today, while looking at nuclear power when far from the Sun. Brophy is talking about ion thruster operation in deep space without the need for a heavy onboard power source. This gets around the problem of increasingly inefficient solar panels as we go further from the Sun, as well as their alternative, a bulky nuclear reactor.
Image: John Brophy (JPL) initiated the NSTAR Project that provided the ion propulsion system for Deep Space 1, delivered the ion propulsion system for the Dawn mission, and co-led the study at Caltech’s Keck Institute that resulted in the Asteroid Redirect Mission. His Phase II NIAC award will be used to investigate beamed power delivery to a powerful ion engine. Credit: JPL.
If we can power up the lithium-ion engine, mission velocities of 100 to 200 km/s would be possible. This is exciting stuff: The Phase I study talked about a 12-year flight-time to 500 AU, which gets us into gravitational lensing territory, while flight time to distant Pluto/Charon could be reduced to 3.6 years. For that matter, imagine a Jupiter mission in roughly a year.
A 10-kilometer array is daunting indeed, but now we’re going into Phase II, which significantly refines the concept based on the results of the Phase I study. Phase I assumed a 100 MW output power at a laser frequency of 1064 nm, feeding a 70 MW electric propulsion spacecraft with a 175-meter photovoltaic array coupled to its lithium-fueled ion thrusters.
What the Phase I study revealed was a better set of parameters: Brophy will begin the Phase II study with a laser array of 2-kilometer diameter aperture with an output power of 400 MW at a laser frequency of 300 nm. Aboard the vehicle, a 110-meter diameter photovoltaic array is now considered. It will power a 10 MW electric propulsion system.
Results of the Phase I work brought the specific impulse down to 40,000 seconds, which is the figure of merit for Phase II, all in the service of a specific mission outcome: A journey to the solar gravity focus at 550 AU. The changes in configuration came from feasibility analysis — could we develop the required photovoltaic arrays with the required areal density (200 g/m2)? Could we achieve photovoltaic cells tuned to the laser frequency with efficiencies greater than 50%? And what about pointing the laser array with the needed accuracy, not to mention stability to supply the reference mission at the gravity focus?
In terms of beamed propulsion, Brophy’s laser array should remind us of Breakthrough Starshot’s own plans for such an array, though Starshot does not plan on building the array in space. Starshot’s array is to be on the ground, avoiding the huge issue of constructing and controlling a gigantic laser outside our planet, while creating a host of other questions, such as atmospheric attenuation of the laser signal. In both instances, however, we deal with a power source separate from the spacecraft, producing real benefits in terms of weight and efficiency, and creating a reusable driver for missions throughout the system.
Image: Graphic depiction of A Breakthrough Propulsion Architecture for Interstellar Precursor Missions. Credit: J. Brophy.
And what about the power developed in the onboard photovoltaic array? The output in the Phase I study was expected to be 12 kV, which goes a long way beyond the best solar arrays available today. Those on the International Space Station, for example, produce 160 volts. One part of Phase II, then, will be to show that the photovoltaic system can be operated at more than 6 kV in the plasma environment produced by the lithium-ion propulsion system.
Have a look at the precis to see what Brophy considers to be the outstanding technical issues, which include modeling the lithium plasma plume created by the engine and demonstrating a small aperture phased array that can become scalable to larger apertures. Depending on the outcome of these investigations, a roadmap should emerge showing how we might develop demonstrator missions along the way to finalizing a workable system architecture.
Let’s put all this into perspective. The challenge of operating beyond 5 AU is the rapid dropoff in solar power available to a spacecraft, despite recent advances in photovoltaic array technology. A laser system like Brophy’s could increase the power density of photons available to a spacecraft bound for the outer Solar System by several orders of magnitude, giving us an ion propulsion system of considerable power. Moreover, this would be a spacecraft that does not need to create its own power but receives it, doing away with power processing hardware.
I come back to infrastructure when evaluating concepts like this. A workable laser array of this magnitude becomes a way to solve power issues far from the Sun that could drive missions throughout the system. Like the combined laser / neutral particle beam concept we’ve looked at over the last two days, it assumes a hybrid meshing of technologies that could go a long way toward enabling robotic and manned missions deep into the Solar System. That makes laser beaming to an ion engine an alternative well worth the continued scrutiny of NIAC Phase II.





April 5, 2018
Tightening the Beam: Correspondence on PROCSIMA
Yesterday’s post on PROCSIMA (Photon-paRticle Optically Coupled Soliton Interstellar Mission Accelerator) has been drawing a good deal of comment, and I wanted to dig deeper into the concept this morning by presenting some correspondence between plasma physicist Jim Benford, a familiar face on Centauri Dreams, and PROCSIMA’s creator, Chris Limbach (Texas A&M Engineering Experiment Station). As we saw yesterday, PROCSIMA goes to work on the problem of beam spread in both laser and particle beam propulsion concepts.
In my own email exchange with Dr. Limbach, he took note of the comments to yesterday’s Centauri Dreams article, with a useful nod to a concept called ‘optical tweezers’ that may be helpful. So let me start with his message of April 4, excerpting directly from the text:
I took a quick glance at the comments, and I see that the laser guiding (i.e. waveguide) effect is fairly well understood, but the guiding of the particles is less clear. I admit this is the less intuitive aspect and the weak interaction requires special consideration in the combined beam design. But to give a general sense, we are taking advantage of the same effect as optical tweezers (https://en.wikipedia.org/wiki/Optical_tweezers) except applied on the level of atoms instead of nanoparticles. That is, the atoms in our neutral beam are drawn to the high intensity region because they can be polarized.
I hope your readers are as excited about this project as I am!
Personally, I do find the project exciting because I’ve been writing about the problems of keeping a laser beam collimated for an interstellar mission ever since I began digging into Robert Forward’s papers back around the turn of this century. You may remember the vast Fresnel lens that Forward proposed in the outer Solar System as a way of collimating the laser beam for interstellar use. Avoiding such colossal feats of engineering would be a welcome outcome!
We’ve examined the pros and cons of particle beams in these pages as well, learning that there is controversy over the question of whether neutral particle beams would not likewise be subject to beam spread. Geoff Landis has argued that “…beam spread due to diffraction is not a problem,” while Jim Benford has offered a strong disagreement. See yesterday’s post, as well as Beaming to a Magnetic Sail.
The PROCSIMA idea combines a neutral particle beam and a laser beam to eliminate beam spread and diffraction in both. If it can be made to work, it seems to offer long periods of acceleration for beamed interstellar sails and high delta-V. An Alpha Centauri mission with a flight time of about 40 years becomes possible with a spacecraft reaching 10 percent of the speed of light. Dr. Limbach had been discussing the idea with plasma physicist Benford before the NIAC Phase I award was granted, and they engaged in further correspondence about the idea shortly after.
Here is an excerpt of a Benford message from last August with regard to PROCSIMA. The paper he refers to is a fleshed out and much more detailed version of Jim’s Sails Driven by Diverging Neutral Particle Beams, which ran in these pages in 2014. It has been accepted at the Journal of the British Interplanetary Society, where publication is expected this fall:
Chris: I made more revisions on my paper than I had expected, and submitted it to JBIS last night. It is attached.
On your laser tweezers idea, I assume the wavelength of the laser will be much much larger than the size of the atoms. So you will treat their interaction as electric dipoles in the electric field of the laser. What intensities of laser would you need in order to defeat the divergence of such a beam? The beams themselves will probably be on the order of 10 cm-1 m in diameter and so the laser beam will be of comparable size, I suppose.
Of course, the introduction of a powerful laser adds a complexity to the overall system, but the remarkable focus that you are expecting would be very interesting to see.
I will keep your idea to myself, but I’m sure that the community, in particular Gerry Nordley, Adam Crowl and Geoff Landis, would be very interested to hear about it.
By the way, there is at a meeting that’s entirely relevant to this, in October in Huntsville Alabama. It’s the Tennessee Valley Interstellar Workshop, which expects to have about 200 people attending. I attach their newsletter. Unfortunately, they don’t do streaming, so one has to attend to hear the talks!
Image: Beamed propulsion leaves propellant behind, a key advantage. Coupled with very small probes, it could provide a path for flyby missions to the nearest stars. PROCSIMA studies the possibility that the problem of beam spread can be resolved. Credit: Adrian Mann.
Chris Limbach was unable to attend the TVIW meeting, but he replied to Benford in a message on August 15:
Thank you for your quick reply. My timing was fortuitous! Also, thank you for offering to send an updated version of your forthcoming paper.
I would like to hold this concept closely until I submit the full proposal, but I will describe the general outline. I only ask that you do not share with anyone in the near-term.
Essentially, I have discovered that a neutral particle beam and high intensity laser beam can be combined in such a way as to simultaneously eliminate the problems of diffraction and beam divergence. This is possible because of physical mechanisms that 1) attract atoms into regions of high optical intensity (i.e. toward the center of the laser beam) and 2) provide an optical focusing effect in regions of high atom density (i.e. toward the center of the neutral beam). If these two effects can be balanced then both the neutral beam and laser beam will propagate, together, without any divergence. After running the numbers, I believe a spot size of 5 meters could be maintained over several astronomical units (!).
I am still concerned that higher-order effects will cause problems, but I believe the basic numbers work out and the concept warrants further investigation/optimization. I am interested in your paper because the neutral beam divergence will place fundamental constraints on certain parameters (e.g. particle density, laser beam intensity, …) for this concept.
After the August messages, the correspondence ended until news of the recent NIAC funding, about which Dr. Limbach informed Jim Benford, leading to my own conversation with Jim and agreement with both scientists that this correspondence could be reproduced to help clarify aspects of the PROCSIMA project. As I mentioned yesterday, there are two levels of funding at NIAC, with PROCSIMA currently receiving Phase I funding. After Phase I’s initial definition and analysis, a Phase II grant can be applied for to develop the concept further.
We’ll await the completion of the Phase I study with great interest, given that a successful PROCSIMA would deliver the best of both the laser and neutral particle beam ideas, while removing one of their biggest problems. If it works, this idea should be readily scalable, pointing to its uses in fast missions throughout the Solar System and interstellar precursors far beyond the heliosphere. The idea has to be shaken out through this initial NIAC work, but it is certainly gaining the attention of the beamed propulsion community.





April 4, 2018
PROCSIMA: Wedding Two Beam Concepts
The name Proxima will always have resonance with interstellar theorists given that our nearest target — and one with a potentially life-bearing planet at that — is Proxima Centauri. Thus an acronym with the same pronunciation is bound to catch the attention. PROCSIMA stands for Photon-paRticle Optically Coupled Soliton Interstellar Mission Accelerator, one of 25 early-stage technology proposals selected for Phase I funding by the NASA Innovative Advanced Concepts (NIAC) office. A number of Phase II proposals selected for funding was also announced.
These awards are always fascinating to watch because they’re chosen from a host of bleeding edge ideas, helping us keep a finger on the pulse of deep space thinking even if many of them end with their Phase I funding, $125,000 over nine months to produce an initial definition and analysis. Should the results be encouraging, Phase II funding becomes a possibility, ramping the money up to $500,000 over two years to encourage further development.
The 2018 Phase I competition involved over 230 proposals and just 25 winners, a tough selection process that resulted in a number of interesting proposals. NIAC works by fostering ideas from a wide range of scientists working outside NASA’s umbrella, as Jim Reuter, acting associate administrator of NASA’s Space Technology Mission Directorate, notes:
“The NIAC program gives NASA the opportunity to explore visionary ideas that could transform future NASA missions by creating radically better or entirely new concepts while engaging America’s innovators and entrepreneurs as partners in the journey. The concepts can then be evaluated for potential inclusion into our early stage technology portfolio.”
Creating a Tight Beam
We’ll have plenty to work with over the next few days, but I’ll start with PROCSIMA, which comes from Chris Limbach (Texas A&M Engineering Experiment Station), and points to the possibility of solving a tricky problem in beamed propulsion. Specifically, if you’re using a laser beam to push a sail, how can you reduce the spread of the beam, keeping it collimated so that it will disperse as little as possible with distance? A perfectly collimated beam seems impossible because of diffraction, thus limiting the length of time our sail can remain under acceleration.
Image: Texas A&M’s Christopher Limbach. Credit: Texas A&M.
Particle beams, which actually offer more momentum per unit energy than laser beams, likewise tend to diverge, although as we’ve seen in earlier articles, the nature of the divergence is problematic (see the contrasting views of Jim Benford and Geoff Landis on the matter, as in Beaming to a Magnetic Sail). Particle beams might turn out to be just the ticket for fast in-system transportation as far out as the Oort Cloud, while being limited because of beam spread when it comes to interstellar applications. That makes divergence an issue for both types of beam.
But I should quote Geoff Landis (NASA GRC) first, because he thinks the neutral particle beam problem can be surmounted. Landis works with mercury in his example:
[Thermal beam divergence] could be reduced if the particles in the beam condense to larger particles after acceleration. To reduce the beam spread by a factor of a thousand, the number of mercury atoms per condensed droplet needs to be at least a million. This is an extremely small droplet (10-16 g) by macroscopic terms, and it is not unreasonable to believe that such condensation could take place in the beam. As the droplet size increases, this propulsion concept approaches that of momentum transfer by use of pellet streams, considered for interstellar propulsion by Singer and Nordley.
Benford sees the divergence problem as fundamental. Charged beams would interact, spiraling around each other to produce transverse motion that creates beam divergence. Neutral particle beams would seem to be the ticket if Landis is right, but Benford sees three problems. Let me quote him (from Sails Driven by Diverging Neutral Particle Beams; a JBIS paper on these matters has been accepted for publication but is not yet available):
First, the acceleration process can give the ions a slight transverse motion as well as propelling them forward. Second, focusing magnets bend low-energy ions more than high-energy ions, so slight differences in energy among the accelerated ions lead to divergence (unless compensated by more complicated bending systems).
Third, and quite fundamentally, the divergence angle introduced by stripping electrons from a beam of negative hydrogen or tritium ions to produce a neutral beam gives the atom a sideways motion. (To produce a neutral hydrogen beam, negative hydrogen atoms with an extra electron are accelerated; the extra electron is removed as the beam emerges from the accelerator.)
Reducing the first two causes of beam divergence, Benford believes, is theoretically possible, but he sees the last source of divergence as unavoidable, nor does he accept Gerald Nordley’s idea of reducing neutral particle beam divergence through laser cooling. And he finds Geoff Landis’ idea of having neutral atoms in the particle beam condense (see Landis citation below) to be unlikely to succeed. Are our beaming strategies hopelessly compromised by all this?
PROCSIMA tries to get around the problem by combining a neutral particle beam and a laser beam, a technique that, according to Chris Limbach, could prevent spread and diffraction in both kinds of beam. Let me quote him from the NIAC description:
The elimination of both diffraction and thermal spreading is achieved by tailoring the mutual interaction of the laser and particle beams so that (1) refractive index variations produced by the particle beam generate a waveguide effect (thereby eliminating laser diffraction) and (2) the particle beam is trapped in regions of high electric field strength near the center of the laser beam. By exploiting these phenomena simultaneously, we can produce a combined beam that propagates with a constant spatial profile, also known as a soliton.
Image: Graphic depiction of PROCSIMA: Diffractionless Beamed Propulsion for Breakthrough Interstellar Missions. Credit: C. Limbach.
An interesting concept because it draws from recent work in high-energy lasers as well as high-energy neutral particle beams, producing a hybrid notion that seems worth exploring. In his precis on PROCSIMA, Limbach says he believes this beamed propulsion architecture would increase the probe acceleration distance by a factor of ~10,000, allowing us to send a 1 kg payload to Proxima Centauri at 10 percent of lightspeed, making for a 42-year mission.
We watch laser developments with interest particularly with regard to Breakthrough Starshot, which assumes a similar high-energy laser capability in the 50 GW range. Starshot is an investigation into nano-scale payloads carried by small beamed sails to nearby stars. Can we tap neutral particle beam technology to achieve increased delta-V, solving the diffraction problem at the same time? As Limbach points out, such technologies are a hot topic within the nuclear fusion community, which looks at heating magnetically confined fusion plasmas.
Expect more on this concept in short order. The Landis paper is “Interstellar flight by particle beam,” Acta Astronautica 55 (2004), 931-934. I’ll have a full citation on the Benford paper as soon as it is published.





March 30, 2018
Imaging a Centauri Planet
Last December I mentioned the ongoing work at the European Southern Observatory’s Very Large Telescope to modify an instrument called VISIR (VLT Imager and Spectrometer for the InfraRed). Breakthrough Initiatives, through its Breakthrough Watch program, is working with the ESO’s NEAR program (New Earths in the Alpha cen Region) to improve the instrument’s contrast and sensitivity, the goal being the detection of a habitable zone planet at Alpha Centauri. Exciting stuff indeed, especially given the magnitude of the challenge.
After all, we are dealing with a tight binary, with the two stars closing to within 11 AU in their 79.9 year orbit about a common center (think of a K-class star at about Saturn’s distance). The binary’s orbital eccentricity can separate the stars by about 35 AU at their most distant. The latest figure I’ve seen for the distance between Centauri A/B and Proxima Centauri is about 13,000 AU.
In an ESO blog post that Centauri Dreams reader Harry Ray passed along, planet hunter Markus Kasper explained that the performance goal for the upgraded VISIR requires one part in a million contrast at less than one arcsecond separation, something that has not yet been demonstrated in the thermal infrared. Alpha Centauri A/B will be a tough nut to crack. Kasper makes a familiar comparison: This is like detecting a firefly sitting on a lighthouse lamp from a few hundred kilometres away.
Image: Apparent and true orbits of Alpha Centauri. The A component is held stationary and the relative orbital motion of the B component is shown. The apparent orbit (thin ellipse) is the shape of the orbit as seen by an observer on Earth. The true orbit is the shape of the orbit viewed perpendicular to the plane of the orbital motion. According to the radial velocity vs. time [12] the radial separation of A and B along the line of sight had reached a maximum in 2007 with B being behind A. The orbit is divided here into 80 points, each step refers to a timestep of approx. 0.99888 years or 364.84 days. Credit: Wikimedia Commons.
But VISIR may be up to the task. Installed at Paranal, 2635 metres above sea level in Chile’s Atacama Desert in 2004, it has been used to probe dust clouds at infrared wavelengths to study the evolution of stars. The instrument is capable of compiling in a scant 20 minutes as many images or spectra as a 3-4 meter telescope could obtain in an entire night of observations. VISIR has also been used to study Jupiter’s Great Red Spot, Neptune’s poles, and the supermassive black holes that can occur at the centers of galaxies.
Ramping up VISIR’s capabilities for Alpha Centauri is a multi-part effort, as Kasper describes:
Firstly, Adaptive Optics (AO) will be used to improve the point source sensitivity of VISIR. The AO will be implemented by ESO, building on the newly-available deformable secondary mirror at the VLT’s Unit Telescope 4 (UT4).
Secondly, a team led by the University of Liège (Belgium), Uppsala University (Sweden) and Caltech (USA) will develop a novel vortex coronagraph to provide a very high imaging contrast at small angular separations. This is necessary because even when we look at a star system in the mid-infrared, the star itself is still millions of times brighter than the planets we want to detect, so we need a dedicated technique to reduce the star’s light. A coronagraph can achieve this.
Finally, a module containing the wavefront sensor and a new internal chopping device for detector calibration will be built by our contractor Kampf Telescope Optics in Munich.
Image: Adaptive optics at work. Glistening against the backdrop of the night sky about ESO’s Paranal Observatory, four laser beams project out into the darkness from Unit Telescope 4 (UT4) of the VLT. Some 90 kilometres up in the atmosphere, the lasers excite atoms of sodium, creating artificial stars for the telescope’s adaptive optics systems. Credit: ESO/F. Kamphues.
The exciting prospect, says Kasper, is that a habitable zone planet could be detected in just 100 hours of observing time on the VLT. To do this will first entail moving VISIR from Unit Telescope 3 to Unit Telescope 4 at Paranal. Hardware testing in Europe continues and the upgrade is expected to be implemented in VISIR by the end of 2018, with the Alpha Centauri observing campaign scheduled for mid-2019, a two-week run that will collect the needed 100 hours of observing time. We may not be far, then, from a planet detection at Centauri A/B.
Kasper points to Breakthrough Initiatives as key players in all this. Let me quote him:
…it is exciting to see how the Breakthrough Initiatives are managing to create momentum in the research field. By backing ideas and projects with a higher risk level than public funding agencies are ready to support, the Initiatives have motivated scientists to push the envelope and leap forward in their research.
Remember that Breakthrough Starshot not only achieved a great deal of media coverage but also caught the eye of a US congressman, with its goal to design and fly tiny probes by beamed sail to the Alpha Centauri system. NASA has begun to look at interstellar concepts again, a small but welcome effort long after the closing of the Breakthrough Propulsion Physics program. Breakthrough Listen is actively conducting SETI at Green Bank and Parkes in Australia. Breakthrough Watch now looks for habitable zone planets within 16 light years of Earth.
Pushing projects with higher risk levels is something that a private initiative can achieve, with repercussions for the broader effort to characterize nearby planetary systems and some day reach them with a probe. We’ll soon have the tools in place to study planetary atmospheres around many of these stars, so the timing of the VISIR effort could not have been better.





March 29, 2018
ARIEL: Focus on Exoplanet Atmospheres
Given Centauri Dreams‘s interest in exoplanet studies, it’s no surprise that when I write about the James Webb Space Telescope, it’s usually to fit the observatory into the overall study of other stellar systems. But of course JWST has been conceived to study everything from the earliest stars and galaxies to the ongoing birth of stars out of massive clouds of dust, not to mention objects within our own Solar System. JWST also offers us a real chance to probe exoplanet atmospheres around nearby M-dwarfs, but it is certainly not a dedicated exoplanet mission.
So while we hope for a successful launch in 2020, according to the evolving schedule, and look forward to finding plenty of JWST targets with the upcoming Transiting Exoplanet Survey Satellite (TESS), let’s have a look at a new mission from the European Space Agency with a tight exoplanet focus. The Atmospheric Remote-sensing Infrared Exoplanet Large-survey (ARIEL) has just been selected as an ESA science mission scheduled for launch in 2028. Its reason for existence is to look at how planetary systems form and evolve.
Giovanna Tinetti (University College London) is principal investigator here, which bodes well — I am a great admirer of Dr. Tinetti’s work and see ARIEL as being in excellent hands. Of the mission, Tinetti says this:
“Although we’ve now discovered around 3800 planets orbiting other stars, the nature of these exoplanets remains largely mysterious. ARIEL will study a statistically large sample of exoplanets to give us a truly representative picture of what these planets are like. This will enable us to answer questions about how the chemistry of a planet links to the environment in which it forms, and how its birth and evolution are affected by its parent star.”
Image: Giovanna Tinetti during a lecture at the Flamsteed Astronomy Society. Credit: Andy Sawers.
ARIEL’s targets are to be exoplanets from Jupiter-mass down to super-Earths, with the primary focus on planets in warm and hot orbits close to their parent star. The thinking here is that high temperatures keep different molecular species in circulation throughout the atmosphere, making them more easily detected because they do not as readily sink or form cloud layers that can obscure them. In that sense, a planet at 2000 degrees Celsius becomes a useful laboratory, churning with interesting molecules from the atmosphere and even from the planet’s interior.
Current plans call for a launch from Kourou in French Guiana into an orbit around the L2 Lagrange Point 1.5 million kilometers from Earth, where the Webb instrument is also headed. Here the balance of gravitational forces keeps the spacecraft in a fixed position relative to the Earth and Sun with a minimal expenditure of energy. Both spacecraft will essentially be ‘parked’ at the same region in space, unlike the Spitzer instrument, which is in orbit around the Sun and will eventually lose communications when its orbital path takes it behind Sol.
While JWST will view the universe in infrared, ARIEL’s meter-class primary mirror will also collect visible light, using a spectrometer to study planetary atmospheres through transmission spectroscopy, possible when a planet passes in front of or behind its star. One of its sensors will be capable of detecting the presence of clouds. Tinetti and team hope to observe 1,000 exoplanets, following up on the worlds discovered by upcoming missions like TESS, and paving the way for future European missions like CHEOPS and PLATO. A successful JWST launch will likewise result in new target options for ARIEL. The 1,300 kg spacecraft has a cost cap of 450 million euros, roughly $550 million at current rates.
Image: Artist’s impression of ARIEL on its way to Lagrange Point 2 (L2). Here, the spacecraft is shielded from the Sun and has a clear view of the whole sky. Credit: ESA/STFC RAL Space/UCL/Europlanet-Science Office.
You may have heard about an exoplanet mission called EChO (Exoplanet Characterization Observatory), which was a candidate for ESA’s Cosmic Vision program. ESA did not fund the mission, which led Tinetti and colleagues to design the similar ARIEL observatory around a spacecraft with a lighter, less complex payload. The PLATO mission that supplanted EChO as one of ESA’s medium-class missions is an exoplanet observatory slated for a 2026 launch.





March 28, 2018
Getting JWST Aloft
No one said this was going to be easy. Delays involving the James Webb Space Telescope are frustrating, with NASA now talking about a launch in mid-2020 instead of next year, and the uncertain prospect of a great deal of further testing and new expenditures that could run the project over budget, necessitating further congressional approval. It’s hard to look back at the original Webb projections without wincing. When first proposed, estimates on the space observatory ran up to $3.5 billion, a hefty price tag indeed, though the science payoff looked to be immense. It was in 2011 that a figure of $8 billion emerged; the project now has a Congressionally-mandated cost cap of $8.8 billion.
And now, looking forward, we have Thomas Zurbuchen, speaking for NASA’s Science Mission Directorate, explicitly saying “We don’t really fully know what the exact cost will be…”
Image: Illustration of NASA’s James Webb Space Telescope. Credit: NASA.
Projects this big invariably take us into the realm of acronyms, with the project’s Standing Review Board (SRB) concluding that further time is necessary to integrate the various components of JWST. But we also learn that NASA is setting up an Independent Review Board (IRB) to complement the SRB findings. The space agency will look at the findings from both boards and consider their recommendations by way of taking us to a more specific launch schedule, with an assessment due in a report to Congress this summer. This NASA news release also talks about “Additional steps to address project challenges include increasing NASA engineering oversight, personnel changes, and new management reporting structures.”
There’s no question about the challenges JWST presents. Its spacecraft element is made up of the huge sunshield (the size of a tennis court), along with the spacecraft bus including the flight avionics, power system and solar panels. The collapsible sun shield must be folded and re-folded during the test process. Eventually it must be mated with the 6.5 meter telescope and science payload. The latter were successfully tested in 2017 at Johnson Space Center, with the telescope element being delivered to Northrop Grumman earlier this year.
Both halves of the observatory are now in the same facility for the first time. Ahead for the spacecraft element is vibrational, acoustic and thermal testing, necessary before the observatory can be fully integrated and pronounced ready for flight. The area of concern is the sun shield and bus, both developed by Northrop Grumman. Contributing to the delay, according to this Lee Billings essay, is a series of tears that appeared on the shield while being tested for deployment. The shield is said to have created a snagging hazard, forcing the addition of springs to prevent it from sagging. Other errors have involved the spacecraft thrusters.
What to do? Northrop Grumman teams are now working on the telescope 24 hours a day, while NASA is calling in the cavalry, as Marina Koren describes in The Atlantic:
Nasa announced some measures they would take at Northrop Grumman’s facility in California, where all of Webb’s parts currently reside. The space agency said they will increase engineering oversight at the facility in Redondo Beach and will track the company’s test reports on a weekly basis. Senior management from nasa’s Goddard Space Flight Center in Maryland, where much of the telescope was constructed, will work out of Northrop Grumman’s offices on a permanent basis. Northrop Grumman’s project manager for Webb will report directly to C-suite level executives at the company “to help remove roadblocks to success within the company,” the officials said.
Northrop Grumman is the prime contractor for JWST, but it appears that deeper NASA involvement in the process is forced by events. Ahead for the observatory is the tough environmental testing of sun shield and bus that the telescope and science instruments have already received. This in itself is a matter of several months, after which JWST can be assembled and tested in final form. The feeling at this end is that JWST has become so expensive, so pivotal in our astronomical roadmap, that it is too big and too expensive to fail.
That means its launch and deployment are going to be fraught with tension. 100 times more powerful than Hubble, JWST will operate 1.5 million kilometers from Earth, meaning that servicing missions by astronauts like Hubble has received will not happen. What would the path forward be if we lost JWST because the complex deployment process failed?
Also worth pondering: What will be the effect of any JWST overspending on the WFIRST mission? The Wide Field Infrared Survey Telescope has had its funding restored and operations continue, but we can’t rule out future attempts to cut the budget or even derail the program entirely. In the realm of technology, WFIRST may prove the easier of the two missions to complete, as this story in Nature points out:
JWST and WFIRST are very different technologically, says Jon Morse, chief executive of Boldly Go Institute, a space-exploration organization in New York City, and former head of NASA’s astrophysics division. JWST involves complex designs that have never been tested before, such as the enormous sunshield. WFIRST will use a well-understood 2.4-metre mirror design that does not require lots of new technology.
“WFIRST is not likely to develop the cost problems of the same magnitude as JWST,” Morse says.
Assuming its operations budget isn’t too severely raided to pay for JWST’s extra costs. By comparison, WFIRST’s own budget cap is a relatively svelte $3.2 billion.





March 27, 2018
TRAPPIST-1: An Abundance of Water?
Too much water helps planetary habitability not one bit. And while we find the availability of surface water a useful way of describing a potentially habitable world, we’re learning that some planets may have water in such abundance that life may never have the chance to emerge. It would be a shame if the numerous worlds orbiting TRAPPIST-1 fell into this scenario, but a multidisciplinary team from Arizona State University is making a strong case for the prospect.
What’s wrong with water? Let Natalie Hinkel (Vanderbilt University) explain. Hinkel worked with ASU’s Cayman Unterborn, Steven Desch and Alejandro Lorenzo on the question of water composition in these worlds. Coleridge’s “Rime of the Ancient Mariner” comes to mind — “Water, water, every where / Nor any drop to drink.” But in this case, there is plenty to drink, which is precisely the problem. Says Hinkel:
“We typically think having liquid water on a planet as a way to start life, since life, as we know it on Earth, is composed mostly of water and requires it to live. However, a planet that is a water world, or one that doesn’t have any surface above the water, does not have the important geochemical or elemental cycles that are absolutely necessary for life.”
Image: A nice visualization of the TRAPPIST-1 planets, here suggesting their relationship to the ‘snowline.’ As we’ll see below, what these planets are made of has implications for where they formed. Credit & copyright: NASA/Tim Pyle and Robert Hurt.
Not a good prospect, then, if the work of these researchers is any indication. What Unterborn et al. are saying in their paper in Nature Astronomy is that the TRAPPIST-1 planets are lighter than we would expect given our measurements of their mass and volume. All seven planets here appear to be less dense than rock. Remember, this is a transiting system, meaning we have constraints on mass and radius for all seven, allowing us to calculate density.
While low density worlds might well have a large gaseous envelope, the TRAPPIST-1 planets turn out to be not massive enough to hold onto the gas they would need to make up what Unterborn calls the ‘density deficit.’ If they somehow did hold onto the needed gas, they would be much puffier planets than what we see. The researchers argue that the low density component must be water, so the question becomes, how much water is there?
The numbers are daunting. Bear in mind as we look at them that the Earth, even with its magnificent oceans, is but 0.02% water by mass. Around TRAPPIST-1, the ‘dry’ inner planets b and c are likely to have less than 15 percent water by mass. Outer planets f and g are consistent with having more than 50 percent water by mass. These numbers will vary as we continue to constrain the masses of the planets, but the trend is clear enough.
“What we are seeing for the first time are Earth-sized planets that have a lot of water or ice on them,” said Steven Desch.
Which gets us to what planets like this can tell us about their formation and evolution. Planets with this much water — assuming water is the explanation for the density issue — should not have formed within the ‘snowline,’ that region within which water exists as a vapor and cannot be incorporated into a forming planet. Unterborn and team are clear on this point: The TRAPPIST-1 planets must have formed beyond the snowline and migrated to their current orbits. Indeed, these planets must have migrated from a position at least twice as far from the parent star as they are now. Have a look at the graph below to get the idea.
Image: This graph shows the minimum starting distances of the ice-rich TRAPPIST-1 planets (especially f and g) from their star (horizontal axis) as a function of how quickly they formed after their host star was born (vertical axis). The blue line represents a model where water condenses to ice at 170 K, as in our solar system’s planet-forming disk. The red line applies to water condensing to ice at 212 K, appropriate to the TRAPPIST-1 disk. If planets formed quickly, they must have formed farther away (and migrated in a greater distance) to contain significant ice. Because TRAPPIST-1 dims over time, if the planets formed later, they could have formed closer to the host star and still be ice-rich. Credit: Unterborn et al. / ASU.
This isn’t the first time we’ve seen migration discussed in relation to TRAPPIST-1. Simon Grimm (University of Bern Centre for Space and Habitability) and colleagues have looked at migration, noting that the resonant orbits here — the planets form a single resonant chain — is an indication of a slow migration consistent with the current perceived stability.
Other researchers have likewise addressed migration, including Chris Ormel (University of Amsterdam) and team, who look at planetary formation at the snowline itself in what they call a ‘resonant convoy,’ with the outer planets ‘pushing’ on the inner ones. So the idea of migration at TRAPPIST-1 is not new. What is new in the Unterborn et al. work is the use of planetary composition to add weight to the overall case for migration, which allows the team to quantify how much migration actually took place.
We’ve lucked out when it comes to nearby red dwarfs. TRAPPIST-1 will clearly be a primary source of data for red dwarf planets as we address the issue of habitability that their density and formation history implies. And then there’s that intriguing planet around Proxima Centauri…
The paper is Unterborn et al., “Inward migration of the TRAPPIST-1 planets as inferred from their water-rich compositions,” Nature Astronomy 19 March 2018 (abstract). The Grimm paper is Grimm et al., “The nature of the TRAPPIST-1 exoplanets,” in press at Astronomy & Astrophysics (preprint). The Ormel paper is Ormel et al., “Formation of Trappist-1 and other compact systems,” Astronomy & Astrophysics Vol. 604 (August 2017) (abstract).





March 23, 2018
Interplanetary Exploration: Application of the Solar Sail and Falcon Heavy
Gregory Matloff’s contributions to interstellar studies need scant introduction, given their significance to solar-and beamed sail development for decades, and their visibility through books like The Starflight Handbook (1989) and Deep Space Probes (2005). A quick check of the bibliography online will demonstrate just how active Greg continues to be in analyzing the human future in space, as well as his newfound interest in the nature of consciousness (Star Light, Star Bright, 2016). The paper that follows grows out of Greg’s presentation at the 2016 iteration of the Tennessee Valley Interstellar Workshop, where he discussed ways to advance deep space exploration using near term technologies like Falcon Heavy, in conjunction with the solar sail capabilities he has so long championed. Read on for an examination of human factors beyond lunar orbit and a description of a useful near-term mission that could reach an object much closer than Mars relying on both chemical and sail capabilities. Dr. Matloff is a professor of physics at New York City College of Technology, CUNY.
ABSTRACT
The possibility of applying the Space-X Falcon-Heavy booster to human exploration of the inner solar system is discussed. A human-rated Dragon command module and an inflatable habitat module would house and support the 2-4 person crew during a ~1 year interplanetary venture. To minimize effects of galactic cosmic rays, older astronauts should conduct the mission during Solar Maximum. Crew life support is discussed as is application of a ~1-km square solar photon sail. The sail would be applied to rendezvous with the destination Near Earth Object (NEO) and to accelerate the spacecraft on its return to Earth. An on-line NASA trajectory browser has been used to examine optimized trajectories and destinations during 2025-2026. A suitable destination with well established solar-orbital parameters is Asteroid 2009 HC. Because the NASA Space Launch System (SLS) has a greater throw mass than the Falcon-Heavy, the primary propulsion for NEO rendezvous and Earth return would likely be a chemical rocket. The sail would be used in this case as an abort mechanism and a back-up for the primary propulsion system. In either scenario, a single Falcon-Heavy or SLS launch would be adequate.
Keywords: NEO Exploration, Falcon-Heavy, Dragon, BEAM, GCR, ECLSS, SLS
Introduction
The United States is currently developing two separate approaches to launching inner solar system exploration by human crews beginning in around 2020: the NASA Space Launch System (SLS) and the commercial Space-X Falcon Heavy [1,2]. The advantage of the SLS is its greater throw-weight on interplanetary trajectories. A disadvantage of SLS is the cost permission and constraints imposed by the current state of the US federal government. Although Falcon-Heavy has less launch capacity than the SLS, this booster is a composite of three existing and mass produced Falcon-9 boosters. These have an excellent reliability record to date on NASA-sponsored resupply missions to the International Space Station (ISS) and commercial launches. Experiments indicate that the Falcon 9 first stage may eventually be recovered and reused, which promises to greatly reduce the cost of space missions to low Earth orbit (LEO) and beyond.
This paper concentrates upon interplanetary ventures using a single Falcon-Heavy launcher and a small crew (2-4 people). As well as a Dragon V2 capsule appropriately modified for interplanetary application (3), an inflatable Bigelow space habitat similar to the one to be launched to the ISS [4} in the near future will be used for crews habitability. Life support for the crew on their 1-2 year interplanetary venture will utilize recycling of oxygen and water. Food recycling by biological means will likely not be ready by 2020.
After the spacecraft is launched towards Mars, a state-of-the-art solar photon sail with a dimension of ~0.7 km will be unfurled. This will allow, as will be demonstrated, non-rocket accelerations of 1-2 km/s per month in the solar system region between Earth and Mars.
A recent comprehensive study of in-space radiation effects reveals that galactic cosmic radiation beyond LEO is reduced by a factor of ~5 above LEO, if missions are conducted during solar maximum. During solar flares and coronal plasma discharges, the crew could be protected by aligning the Dragon’s heat shield between the crew quarters and the Sun.
Human landings on Mars will not be possible using a single Dragon launch. But a host of Near Earth Objects of asteroidal and cometary origin and possibly the Martian satellites Deimos and Phobos will be open to human explorers.
But any human expedition beyond the Moon will likely require cruise durations of months to years. Solar and galactic cosmic radiation will certainly be a limiting issue. The possibilities and effectiveness of using the capsule and habitat mass for self shielding is discussed in the next section.
Falcon-Heavy Interplanetary Throw Mass and Cosmic Ray Shielding
According to Ref. 2, a Falcon-Heavy is capable of projecting 13,200 kg on a trans-Mars trajectory. From Ref. 3, the dry mass of a Dragon V2 capsule is 4200 kg and the endurance of this spacecraft is about 2 years in space. The mass of the BEAM inflatable module is 1360 kg [4].
From Ref. 3, the Dragon’s configuration can be approximated by a cone with a diameter of about 3.7 m and a height of about 6.1 m. From Ref. 4, the BEAM inflatable habitat can be approximated by a cylinder with a diameter of about 3.2 m and a length of about 4 m. Assuming that the base of the Dragon abuts one of the circular end caps of the BEAM, it is easy to demonstrate that the surface area of the spacecraft is about 100 m2. Assuming that all of the Falcon’s throw mass can be used for self-shielding against cosmic rays during an interplanetary venture, the approximate shielding areal mass thickness is 130 kg/m2 or 13 g/cm2.
There are two major sources of cosmic radiation beyond the Earth’s magnetosphere. These are eruptions of solar energetic particles (SEPs), which are most common during solar maximum and galactic cosmic rays (GCR), which are alway present. We first consider the effects of a 13 g/cm2 shield on SEPs.
Shielding From SEPs
A recent paper by an international team summarizes the latest results on cosmic ray shielding above LEO [5}. Figure 6 of that reference compares the Effective Dose Equivalent predicted to be incurred by an astronaut from four SEP events: a 20-year event, a 10-year event, a worst-case modeled event and a Carrington-event estimate. This data is plotted against aluminum shield thickness and compared with currently recommended European Space Agency (ESA) career dose limits. In all cases presented, a 13 g/cm2 aluminum shield is adequate.
Figure 7 of Ref. 5 presents similar information and compares predicted doses from the above SEP events with the 30-day and annual ESA limit. Once again, a 13 g/cm2 aluminum shield seems to be adequate, although the Carrington-event predicted dose rate is very close to the 30-day limit.
Therefore, SEPs do not seem to pose an insurmountable health risk to crews venturing beyond LEO with an equivalent a 13 g/cm2 aluminum shield. Additional shielding could be affected by orienting the Drago heat shield between crew and Sun during a major SEP event.
Shielding from GCRs
Galactic cosmic rays, on the other hand, pose a larger risk to the crew’s health. Since at least 1979, it was known that energetic galactic cosmic rays more massive than helium nuclei (high-Z GCR) are potentially dangerous to human health and very difficult to shield against [6]. Figure 1 of Ref. 5 reveals that during solar maximum, the modeled flux of galactic hydrogen and helium nuclei are reduced by a factor of 5-10 when compared with fluxes of the same ions during solar minimum. But the fluxes of galactic lithium and iron nuclei are apparently independent of the solar activity cycle.
Cucinotta and Durante estimate that during an interplanetary transfer, the high-Z GCR dose might be 1-2 mSv per day or 0.4-0.8 Sv per year [7]. From Tables 1 and 2 of McKenna et al, the NASA one-year dose limits for 40-year old female and male astronauts are respectively 0.7 and 0.88 Sv. For older astronauts, the limits are higher. Dose limits for men are higher than dose limits for women.
During a 1-year interplanetary voyage, the dose limits for 40-year old astronauts may be exceeded. Exposures beyond these recommended limits may result in a 3% increased risk of fatal cancers.
Health effects on interplanetary astronauts from high-Z galactic cosmic rays is an ongoing field of research. Mewaldt et al. also conclude that interplanetary voyagers will experience a higher galactic dose during solar minimum than during solar maximum. According to their study, a thin aluminum shield of about 3 g/cm2 may reduce solar minimum dose rates to the NASA LEO career limit of 50 cSv for a 1-year interplanetary round trip [8].
It should also be mentioned that it is not always possible to predict future GCR doses in interplanetary space from data obtained during previous solar cycles. Schwadron et al have noted that unusually high levels of GCRs were measured during a prolonged solar minimum in 2009 [9].
Crew Life Support on Interplanetary Ventures
We next consider the mass requirements to maintain a small crew (2-4 people) during a 1-2 year interplanetary expedition. According to the wikipedia entry on space-life-support systems and in substantial concurrence with one classic reference [10], daily average human metabolic requirements can be summarized:
oxygen: 0.84 kg
food: 0.62 kg
water: 3.52 kg.
If partial recycling were not built in to the mission, a two-person crew could not be supported in the proposed spacecraft for missions of one year or longer. Projections from International Space Station technology indicate that a near-term goal for water recycling is 85% and the oxygen recovery rate can be raised to 75% [11,12]. Applying these values for an interplanetary mission applying near-term recycling technology, the daily consumable requirement per astronaut is 0.21 kg oxygen, 0.62 kg food, and 0.53 kg of water. Each crew member consumes about 1.4 kg per day of these resources or about 500 kg per year. A 4-person crew therefore requires about 2,000 kg of these resources for a 360-day duration interplanetary voyage.
It is next necessary to estimate the mass of the Environmental Control and Life Support System (ECLSS) equipment, not including consumables, necessary to support the mission. In Table 4.3 of his monograph, Rapp estimates the mass of the water-recovery system for a 180-day transit to Mars at 1.4 metric tons or 1,400 kg and the mass of the oxygen recovery system at 0.5 metric tons or 500 kg for a 6-person crew [13]. We are here considering a smaller crew and the 180-day return voyage as well as the 180-day flight to the interplanetary destination. Since we have no idea regarding ECLSS reliability on a deep-space mission, we will assume here that the required mass of ECLSS equipment is 3,000 kg. Including the 2,000 kg requirement for oxygen, food and water, the total ECLSS mass is about 5,000 kg.
Application of a Near-Term Solar Photon Sail
From the above discussion, the mass of the Dragon is estimated at 4,200 kg and the BEAM habitat mass is 1,360 kg. Since the Falcon-Heavy can project 13,200 kg towards Mars and our ECLSS mass projection is 5,000 kg, the remaining mass amounts to 2,640 kg. If 640 kg is required for scientific equipment, 2,000 kg remains to be allowed. We will therefore assume that the sail mass is 2,000 kg.
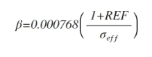
As an example of a large solar-photon sail that could be constructed in the not very distant future, we consider a 90% reflective (REF) opaque 1-km2 sail with an areal mass density of 2 g/m2. The sail mass is 2,000 kg and the areal mass density of the spacecraft (σeff) is 0.0132 kg/m2.
The lightness factor (β) of a solar-photon sail is the ratio of solar radiation-pressure acceleration on the sail to solar gravitational acceleration. It can be calculated by modifying Eq. (4.19) of Ref.14 for a solar constant of 1,366 W/m2:
Substituting in Eq. (1) for sail reflectivity and spacecraft areal mass density, we find that β = 0.11.
Since the Earth is in a near-circular solar orbit at a distance of 1 Astronomical Unit (1 AU = 1.5 X 1011 m) and the Earth’s solar-orbital velocity is about 30 km/s, the Sun’s gravitational acceleration on the spacecraft at a distance of 1 AU is about 0.006 m/s2. The solar radiation-pressure acceleration on the sail is therefore about 6.6 X 10-4 m/s2, if the sail is normal to the Sun at a distance of 1 AU from the Sun. Such a sail configuration can result in a daily velocity increment of about 57 m/s. Every month, the sail can alter the spacecraft velocity by about 1.6 km/s, if it is oriented normal to the Sun at a solar distance of 1 AU. At the orbit of Mars (1.52 AU), this sail oriented normal to the Sun can alter the spacecraft’s solar velocity each month by about 0.69 km/s.
The effectiveness of this configuration for non-landing missions to Mars can be evaluated using Table 4.2 of Ref. 15. The duration of a Hohmann minimum-energy Earth-Mars trajectory is given in that table as 259 days. Although application of the sail can shorten this a bit on the Mars-bound trajectory, sail or some other form of propulsion must be used to accomplish Mars rendezvous. Aerocapture with a deployed sail of this size will be difficult or impossible. Table 4.2 of Ref. 15 also presents Earth-Mars transit times for spacecraft flying a logarithmic spiral trajectory at a sail pitch angle relative to the Sun of about 35 degrees, as a function of lightness factor. For β = 0.1, the time required for a return journey on such a trajectory is about 431 days. To accomplish logarithmic-spiral Earth-return trips from Mars approximating the Hohmann-trajectory duration with the spacecraft configuration considered here would require a substantial increase in sail area without an increase in spacecraft mass. More advanced sails, smaller crews, or less massive ECLSS would be required.
Application of Falcon/Dragon/BEAM for NEO Exploration
So the configuration presented here is marginal at best for Mars-vicinity missions such as exploration of the natural Martian satellites Phobos and Deimos. Instead, it might see more immediate application to near Earth objects (NEOs) orbiting the Sun close to the Earth’s solar orbit.
A suitable target NEO for such an expedition would be in a near-circular, low-inclination orbit approximately 1-AU from Earth. If the mission is timed appropriately, the Hohmann trajectory duration should be considerably less than the time required to reach Mars and the Falcon-Heavy payload should be greater than that estimated for a Mars mission. One NEO class of potential targets is Earth’s quasi-satellites in “corkscrew orbits” [16].
The principal use of the sail on the out-bound trajectory leg would be deceleration for rendezvous with the NEO. The sail would be used to accelerate the spacecraft for Earth rendezvous on the return trajectory leg. Although the Sail and BEAM inflatable habitat could be maneuvered into Earth orbit for possible reuse, the Dragon would return crew and payload (including NEO samples) to Earth in a ballistic reentry.
It is possible to investigate mission possibilities with the aid of the NASA on-line Trajectory Browser (trajbrowser.arc.nasa.gov). After accessing this site on May 23 and 25, 2015, we specified a mission to a NEO with a well established orbit during the next solar-max (2025-2026) to reduce crew exposure to GCRs. Two mission types were considered: a round-trip with a maximum duration of 360 days and a one-way, rendezvous mission with a maximum duration of 180 days. For the one-way rendezvous mission, the maximum delta-V for departure from a 200-km low-Earth orbit was 4 km/s. For the round-trip. the maximum delta-V was 5 km/s.
The results of this exercise are presented in Table 1 [following the references]. The destination NEO determined by the Trajectory Browser software is Asteroid 2009 HC. Browser output is summarized in Table 1. This table also includes physical data on this NEO from the NASA Jet Propulsion Laboratory NEO data base (ssd.jpl.nasa.gov).
It is assumed that the pre-rendezvous propulsion requirements will be met by the Falcon upper stage, since this configuration is capable of reaching Mars, a more distant destination. Since the post-injection delta-V is small and the sail’s characteristic acceleration at 1 AU is greater than 1 km/s, the sail can be used to match velocity with the destination NEO without significantly increasing pre-rendezvous mission duration.
Note from Table 1 that the difference between post-injection delta-V for one-way rendezvous and round-trip missions is less than 1 km/s. So it is safe to assume that use of the sail to power Earth-return maneuvers does not significantly increase mission duration.
Another way to consider use of the sail on the Earth-bound trajectory is to estimate time required for the sail to be used for orbital inclination adjustment or “cranking”. From Eq. (5-74 of McInnes’s monograph [15]), a sail operating at the optimal cone angle can change its inclination by
∆ i = 88.2 β degrees/orbit. (2)
According to McInnes, Equation (2) is independent of solar-orbit radius. Inclination correction for Earth-return will add a few months to the duration of the round-trip mission.
Conclusions: Use of the Sail with the NASA Space Launch System on NEO-Visit Missions
From the work presented here, it seems that round-trip visits to selected Near Earth Objects with durations not much greater than one year can be accomplished using a single Falcon-Heavy launch and a combination of a Dragon spacecraft, an inflatable habitability module, state of the art partially closed environmental system and a state of the art square solar photon sail with a 1-2 km dimension.
To reduce the Galactic Cosmic Radiation risk to the 3-4 person crew, it is advisable to conduct lengthy voyages above Low Earth Orbit during periods near the maximum of the solar activity cycle and to position the Dragon heat shield facing the Sun to shield against solar flare events. It may also be advisable to select older astronauts to crew such interplanetary ventures.
If the NASA Space Launch System is available to conduct human visits to suitable NEOs, the sail could serve at least two functions. Because the SLS has 2-3X the throw mass of the Falcon-Heavy, the sail could be accommodated as a pre-rendezvous abort option or as a back-up to the SLS propulsion module for Earth-return maneuvers.
It should also be mentioned that with either launch alternative, the sail and inflatable could be steered into high-Earth orbit for reuse after the Dragon or Orion is directed on its Earth reentry path.
References
1. “NASA Fact Sheet: NASA Space Launch System”, www.nasa.gov/pdf/ 664158main_sls_fs_master.pdf
2. “Falcon Heavy”, www.spacex.com/falcon-heavy
3. “Dragon V2), en.wikipedia.org/wiki/Dragon_V2
4. “The Bigelow Expandable Activity Module (BEAM),” bigelowaerospace.com/beam
5. S. McKenna-Lawlor, A. Bhardwaj, F. Ferrari, N. Kuznetsov, A. K. Lal, Y. Li, A. Nagamatsu, R. Nymmik, M. Panasyuk, V. Petrov, G. Reitz, L. Pinsky, M. Shukor, A. K. Singhvi, U. Strube, L. Tomi, and L. Townsend, “Recommendations to Mitigate Against Human Health Risks Due to Energetic Particle Irradiation Beyond Low Earth Orbit/BLEO”, Acta Astronautica, 109, 182-193 (2015).
6. E. Bock, F. Lambrou Jr., and M. Simon, “Effect of Environmental Parameters on Habitat Structural Weight and Cost”, Chap. II-1 in Space Resources and Space Settlements, NASA SP-428, J. Billingham and W. Gilbreath eds., NASA Ames Research Center, Moffett Field, CA (1979).
7. F. A. Cucinotta and M. Durante, “Cancer Risk from Exposure to Galactic Cosmic Rays: Implications for Space Exploration by Human Beings,” Lancet Oncology, 7, 431-435 (2006).
8. R. A. Mewaldt, A. J. Davis, W. R. Binns, G. A. de Nolfo, J. S. George, M. H. Israel, R. A. Leske, E. C. Stone, M. E. Wiedenbeck and T. T. von Rosenvinge, “The Cosmic Ray Radiation Dose in Interplanetary Space—Present Day and Worst-Case Evaluations”, Proceedings of the 29th International Cosmic Ray Conference, Pune, India, August 3-10, 2005, B. Sripathi Acharya, S. Gupta, P. Jagadeesan, A. Jain, S. Karthikeyan, S. Morris and S. Tonwar eds., ( Tata Institute for Fundamental Research, Mumbai, India, 2005), pp. 433-436.
9. N. A. Schwadron, A. J. Boyd, K. Kozarev, M. Golightly, H. Spence, L. W. Townsend and M. Owens, “Galactic Cosmic Ray Radiation Hazard in the Unusual Solar Minimum Between Solar Cycles 23 and 24”, Space Weather, 8, DOI: 10.1029/2010SW000567, (2010).
10. M. R. Sharpe, Living in Space: The Astronaut and His Environment, Doubleday, Garden City, NY (1969).
11. R. Carrasquillo, “ISS Environmental Control and Life Support System (ECLSS) Future Development for Exploration”, presented at 2nd Annual ISS Research and Development Conference (July 16-18, 2013).
12. M. Gannon, “NASA Wants Ideas to Recycle Precious Oxygen on Deep-Space Voyages”, www.space.com/25518-nasa-oxygen-recycling-space-tech.html (space.com, April 16, 2004).
13. D. Rapp, Human Missions to Mars: Enabling Technologies for Exploring the Red Planet, Springer-Praxis, Chichester, UK (2008).
14. G. L. Matloff, Deep-Space Probes: To The Outer Solar System and Beyond, 2nd ed., Springer-Praxis, Chichester, UK (2005).
15. C. R. McInnes, Solar Sailing: Technology, Dynamics, and Mission Applications, Springer-Praxis, Chichester, UK (1999).
16. P. Wajer, “Dynamical Evolution of Earth’s Quasi-Satellites 2004 GU9 and 2006 FV35”, Icarus, 209, 488-493 (2010).
Table 1. Details for a NEO Visit in 2025-2026





Paul Gilster's Blog
- Paul Gilster's profile
- 7 followers
