Paul Gilster's Blog, page 105
June 13, 2018
Protoplanets: The Next Detection Frontier
Some 4 million years old, the star HD 163296 is about 330 light years out in the direction of the constellation Sagittarius. When dealing with stars this young, astronomers have had success with data from the Atacama Large Millimeter/submillimeter Array (ALMA), teasing out features in protoplanetary disks filled with gas and dust, the breeding ground of new planets. As seen below, the ALMA imagery can be striking, a closeup look at a stellar system in formation.
Image: ALMA image of the protoplanetary disk surrounding the young star HD 163296 as seen in dust. Credit: ALMA (ESO/NAOJ/NRAO); A. Isella; B. Saxton (NRAO/AUI/NSF).
Tantalizingly, ALMA can show us rings in such disks, and the gaps that imply an emerging planet. But how do we know we’re actually looking at planets, rather than other phenomena we’re only now learning how to detect in such disks? New work from Richard Teague (University of Michigan) as well as a second effort by Christophe Pinte and team (Monash University, Australia) points us strongly toward the protoplanet interpretation. Both papers are in process at Astrophysical Journal Letters and available as preprints (see below).
In each case, the focus is not on the dust that is so visible in the image above but the distribution of carbon monoxide (CO) gas throughout the HD 163296 disk structure. ALMA is able to detect the millimeter-wavelength light that molecules of CO emit, while wavelength changes owing to the Doppler effect make it possible to discern the movement of the gas within the disk. Calling the precision involved in these studies ‘mind boggling,’ Teague coauthor Til Birnstiel (University Observatory of Munich) notes that in a system where gas rotates at about 5 kilometers per second, ALMA detected velocity changes as small as a few meters per second.
“Although dust plays an important role in planet formation and provides invaluable information, gas accounts for 99 percent of a protoplanetary disks’ mass,” says Teague coauthor Jaehan Bae of the Carnegie Institute for Science. “It is therefore crucial to study kinematics of the gas.”
Teague and team found disruption in the Keplerian rotation that gas would be expected to show, the orderly motion of objects around a central star. The emergence of localized disturbances within the gas would provide evidence for a planet in the making. And indeed, the researchers found two distinct patterns, one at roughly 80 AU, the other at 140 AU. Meanwhile, the team led by Christophe Pinte — likewise looking at anomalies in the flow of gas through detection of CO emissions rather than dust — detected a third planet-like pattern, this one at 260 AU. All three worlds, the scientists calculate, would be approximately similar in mass to Jupiter.
Image: Artist impression of protoplanets forming around a young star. Credit: NRAO/AUI/NSF; S. Dagnello.
We’re out on the edge here, just as exoplanet hunting itself was in the early 1990s as we approached the first detections. These days we can use radial velocity, transits and gravitational microlensing to spot planets, with the number of confirmed worlds rising steadily. Protoplanets are another story altogether, although the evidence for them continues to mount. The Teague paper explains the significance of the CO studies:
We have presented a new method which enables the direct measurement of the gas pressure profile. This allows for significantly tighter, and more accurate, constraints on the gas surface density profile than traditional methods. Furthermore, as this method is sensitive to the gap profile, it provides essential information about the gap width in the gas which is typically poorly constrained from brightness profiles.
And indeed, what the work gives us is a way to measure changes in the gas velocity and density that correlate to the observed perturbations in the protoplanetary disk. Pinte’s team, meanwhile, working with measurements of CO velocity in the disk, found a 15 percent deviation from expected Keplerian flow. The possible protoplanet they detect at approximately 260 AU could conceivably be detected via direct imaging. If it is, the question of its formation is interesting:
Can massive planets form at a distance of 250 au from the star? The location of giant planets in the outer regions of discs would be broadly consistent with gravitational instability. On the other hand, the timescale for core accretion may also be reasonable given that HD 163296 is a relatively old disc (≈ 5 Myr). The planet may also have undergone outward migration, depending upon the initial profile of the disc. It is beyond the scope of this Letter to speculate further.
Measuring the velocity of carbon monoxide in a protoplanetary disk is an indication of how fine-grained the ALMA data on HD 163296 are. The comparison of these observations with computer models show a fit with the patterns that would be expected for young planets. The evidence is not yet conclusive, but it’s clear that the developing science of protoplanet detection is gaining traction. Applying these methods to other well-defined disks should tell us more.
The papers are Teague et al., “A Kinematic Detection of Two Unseen Jupiter Mass Embedded Protoplanets” (preprint) and Pinte et al., “Kinematic evidence for an embedded protoplanet in a circumstellar disc” (preprint), both accepted at Astrophysical Journal Letters.





June 12, 2018
New Horizons from Within
Chasing New Horizons, by Alan Stern and David Grinspoon. Picador (2018), 320 pp.
Early on in Alan Stern and David Grinspoon’s Chasing New Horizons, a basic tension within the space community reveals itself. It’s one that would haunt the prospect of a mission to Pluto throughout its lengthy gestation, repeatedly slowing and sometimes stopping the mission in its tracks. The authors call it a ‘basic disconnect’ between how NASA makes decisions on exploration and how the public tends to see the result.
‘To boldly go where no one has gone before’ is an ideal, but it runs up against scientific reality:
…the committees that assess and rank robotic-mission priorities within NASA’s limited available funding are not chartered with seeking the coolest missions to find uncharted places. Rather, they want to know exactly what science is going to be done, what specific high-priority scientific questions are going to be answered, and the gritty details of how each possible mission can advance the field. So, even if the scientific community knows they really do want to go somewhere for the sheer joy and wonder of exploration, the challenge is to define a scientific rationale so compelling that it passes scientific muster.
Thus Alan Stern’s job as he began thinking about putting a probe past Pluto: Get the scientific community to see why Pluto/Charon was a significant priority for the advancement of science. And as this hard-driving narrative makes clear, advancing those priorities would not prove easy. But a few things helped, including the spectacular coincidence that Charon was discovered (by Jim Christy in 1978) just before it was about to begin a period of eclipses with Pluto, a period that would not recur for more than a century. When the eclipses began in 1985, Pluto was suddenly highly visible at planetary science conferences and we were learning a lot.
Chasing New Horizons follows Alan Stern’s efforts to use ensuing discoveries like the different composition of surface ices on Pluto and Charon and the observations of Pluto’s atmosphere to draw attention to mission possibilities. Beginning with a technical session at a American Geophysical Union meeting in 1989, Stern began arguing for what would become New Horizons, brainstorming with key Pluto scientists who would become known as the Pluto Underground on a mission the authors describe as “a subversive and unlikely idea, cooked up by a rebel alliance that seemed ill-equipped to take on an empire.”
It would prove to be quite a battle. A letter-writing campaign would develop, leading to an official NASA study of a possible Pluto mission, one led by Stern and fellow Plutophile Fran Bagenal, working with NASA engineer Robert Farquhar (who would die just months after the actual Pluto flyby). From here on it was a matter of keeping the mission visible, from pieces in Planetary Society publications to continuing talks at major conferences, where attendance was growing.
I won’t go into the intricacies of such entities as the Solar System Exploration Subcommittee, which would analyze the Farquhar report, or the personnel changes within NASA that affected the work — for that you’ll need to read the book, where the action becomes something of a pot-boiler given all the roadblocks that kept emerging, including mission cancellations — but as the New Horizons mission took early form, Pluto was likewise on the mind of engineers at JPL, who began concurrent work on a mission concept. NASA’s turn toward Rob Staehle’s Pluto Fast Flyby design was just one in a series of course changes for Stern and team. A Pluto Kuiper Express concept followed, then the formation of a NASA Science Definition Team.
Here’s a sample of how frustrating the on-again, off-again nature of New Horizons’ birth appeared to its proponents. Budget considerations had caught NASA’s eye and in the fall of 2000, a ‘stop-work order’ went out on all Pluto efforts:
Those of us who’d been working on it felt like we had been through a decade of hell running errands, with endless study variations from NASA Headquarters [says Stern]. How many iterations of this, how many committees had we been in front of, how many different planetary directors had we had at NASA, how many different everythings had we put up with? Big missions, little missions, micro-missions, Russian missions, German missions, nonnuclear missions, Pluto-only missions, Pluto-plus-Kuiper-Belt missions, and more…
New Horizons, as it would do repeatedly, came back to life, and we all know the result, but the first half of Chasing New Horizons is a fascinating and cautionary tale about how difficult mission design can be in a charged environment of tight money and competing proposals. Science surely had the last word again, because the need for a mission was now pressing, given that Pluto was moving further from the Sun in its orbit, its atmosphere could conceivably freeze out before a mission got there, and visibility considerations involved Pluto’s sharply tilted spin axis (122 degrees) and its effect on lighting across the globe.
As to the actual approach and flyby, you’ll find yourself back in those heady days, when the earliest images from New Horizons gradually gave way to more and more detail, and the stakes continued to rise even as the unexpected threatened to stymie the close approach. Exhaustive hazard searches helped Stern’s team scout the system, but the critical Core load — the lengthy command script that would get the spacecraft through its scientific observations — had to be uplinked. New Horizons received the Core load and then suddenly went silent.
Quick diagnosis made it likely that the spacecraft would restart using its backup computer, which did occur within a short time, but with the flyby near, timing was critical:
As more telemetry came back from the bird, they learned that all of the command files for the flyby that had been uploaded to the main computer had been erased when the spacecraft rebooted to the backup computer. This meant that the Core flyby sequence sent that morning would have to be reloaded. But worse, numerous supporting files needed to run the Core sequence, some of which had been loaded as far back as December, would also need to be sent again. Alice [Bowman] recalls, “We had never recovered from this kind of anomaly before. The question was, could we do it in time to start the flyby sequence…?”
With three days to do the job, the equivalent of weeks of work had to be done in three days. The task was completed with just three hours to spare. Exciting? Believe it. David Grinspoon’s method in Chasing New Horizons was to synthesize the thoughts of Alan Stern and others on the mission within a narrative that captures the drama of the event. Grinspoon is a fine stylist — search the archives here for my thoughts on his exceptional Earth in Human Hands (2016), and I’ve also written about his earlier book Lonely Planets (2003). Here he goes for clarity and narrative punch, presenting Stern’s insights inside an almost novelistic frame. This is a book you’ll want to read as we approach MU69.





June 11, 2018
New Horizons: The Beauty of Hibernation
I’ve always had a great interest in Iceland, stemming from my studies of Old Norse in graduate school, when we homed in on the sagas and immersed ourselves in a language that has changed surprisingly little for a thousand years. There’s much modern vocabulary, of course, but the Icelandic of 1000 AD is much closer to the modern variant than Shakespeare’s English is to our own. Syntactically and morphologically, Icelandic is a survivor, and a fascinating one.
New Horizons’ journey to Kuiper Belt Object MU69 occasions this reverie because the mission team has named the object Ultima Thule, following an online campaign seeking input from the public that produced 34,000 suggestions. The word ‘thule’ seems to derive from Greek, makes it into Latin, and appears in classical documents in association with the most distant northern areas then known. In the medieval era, Ultima Thule is occasionally mentioned in reference to Iceland, and sometimes to Greenland, and may have been applied even to the Shetlands, the Orkneys and, probably, the nearby Faroes. Northern and on the edge, that’s Ultima Thule.
The new Ultima Thule is a natural coinage, as New Horizons’ principal investigator Alan Stern (SwRI) has noted:
“MU69 is humanity’s next Ultima Thule. Our spacecraft is heading beyond the limits of the known worlds, to what will be this mission’s next achievement. Since this will be the farthest exploration of any object in space in history, I like to call our flyby target Ultima, for short, symbolizing this ultimate exploration by NASA and our team.”
Hence the beauty of space exploration. On Earth we eventually reach our Ultima Thule, whichever place we want to assign the name, whereas in space there’s always the next one. And indeed, New Horizons may get the chance to go after another Kuiper Belt Object after MU69. Future explorations will always find more distant targets in the cosmos.
Image: Artist’s impression of NASA’s New Horizons spacecraft encountering 2014 MU69, a Kuiper Belt object that orbits 1.6 billion kilometers beyond Pluto, on Jan. 1, 2019. Credit: NASA/Johns Hopkins University Applied Physics Laboratory/Southwest Research Institute/Steve Gribben.
Now 6 billion kilometers from Earth, New Horizons has exited hibernation as of 0212 EDT (0612 UTC) on June 5, with all systems in normal operation. We’re now in the process of uploading commands to the computers aboard the spacecraft to begin preparations for the Ultima Thule flyby, including science retrieval and subsystem and science instrument checkouts. Things are heating up — we’re not that far from August, when New Horizons will begin making observations of its target, imagery that will provide information about any needed trajectory adjustments.
But back to that hibernation, which this time around lasted 165 days. New Horizons is now fully ‘awake’ and will remain so until late 2020, when all data from the Ultima Thule encounter should have been sent back to Earth. Hibernation itself was an ingenious innovation that would maximize efficiency by reducing the cost of mission control staffing. After all, a sleeping bird requires only a skeleton crew to maintain basic communications during this period.
The sheer ingenuity of the New Horizons design comes across here. No other NASA mission has attempted hibernation, but the experience of missions like Voyager demonstrated how useful it could be. Voyager required about 450 people to run flight operations, according to David Grinspoon and Alan Stern in Chasing New Horizons. Contrast that with a New Horizons flight staff of fewer than 50 people.
The numbers are striking when you look at how the project team changed after launch as well. In the four years before New Horizons’ 2006 departure, more than 2500 people were involved in building, testing and launching the spacecraft. They included those working on the Radioisotope Thermoelectric Generator (RTG) that converts radioactive decay into electricity, the ground systems necessary to monitor the mission, and of course the rocket that would launch it.
Within a month after launch, all that had changed. “The big city that was New Horizons was reduced to a small town,” write Grinspoon and Stern. As the book memorably states:
During the long years of flight to Pluto, only a skeleton crew of flight controllers and planners, a handful of engineering ‘systems leads,’ the two dozen members of the science team, their instrument engineering staffs, and a small management gaggle was needed. Alan [Stern] recalls, “Just weeks after launch nearly everyone went their own way, and the project was reduced to a little crowd of about fifty belly buttons. All of a sudden I looked around and it hit me: there are just a few of us — a tiny team — and we’re the entire crew that’s going to fly this thing for a decade and 3 billion miles and plan the flyby of a new planet.”
Image: Flight controllers Graeme Keleher and Anisha Hosadurga, of the Johns Hopkins University Applied Physics Laboratory in Laurel, Maryland, monitor New Horizons shortly after confirming the NASA spacecraft had exited hibernation on June 5, 2018. Credit: NASA/Johns Hopkins University Applied Physics Laboratory/Southwest Research Institute/Mike Buckley.
When New Horizons reached Pluto, 9.5 years had passed since launch, but because of hibernation, most of the craft’s primary systems only had 3.5 years of operational time clocked against them, which means the spacecraft was, for all intents and purposes, years younger than it would otherwise have been. Early hibernation periods tested out the concept not long after launch, easing into a process that soon increased hibernation periods to months at a time.
As New Horizons left its last hibernation period before the Pluto/Charon flyby, Alan Stern chose a ‘wake-up song’ for the occasion, a tradition dating back to Gemini 6 when flight controllers played ‘Hello Dolly’ to wake up astronauts Wally Schirra and Thomas Stafford. Stern chose ‘Faith of the Heart,’ a theme from the TV series Star Trek: Enterprise, with its lyric “It’s been a long road, getting from there to here.” Little did the team know at the time that the ‘heart’ of the title would be echoed by a famous feature on the surface of Pluto itself.
If you haven’t read Chasing New Horizons (Picador, 2018), I can’t recommend it strongly enough. This is the best inside account of a space mission I’ve yet read. Tomorrow I want to dig a little deeper into the book and talk about the New Horizons mission in context as we now begin the exciting process of preparing the craft for yet another encounter.





June 8, 2018
Lightning in the Jovian Clouds
The longer we can keep a mission going in an exotic place, the better. Sometimes longevity is its own reward, as Curiosity has just reminded us on Mars. After all, it was only because the rover has been in place for six years that it was able to observe what scientists now think are seasonal variations in the methane in Mars’ atmosphere. Thus the news that Juno will remain active in Jupiter space is heartening, and in this case necessary. The mission is now to operate until July of 2021, an additional 41 months in orbit having been approved. More time on station allows Juno to complete a primary science mission that had appeared in jeopardy.
The reason: Problems with helium valves in the spacecraft’s fuel system resulted in the decision to remain in the present 53-day orbit instead of the 14-day ‘science orbit’ originally planned, and that has extended the time needed for data collection. Thus the lengthening of operations there not only allows further time for discovery but essentially enables the spacecraft to achieve its original science objectives. NASA has now funded Juno through FY 2022, allowing for the end of prime operations in 2021 and data collection and mission close-out carrying into 2022.
“This is great news for planetary exploration as well as for the Juno team,” said Scott Bolton, principal investigator of Juno, from the Southwest Research Institute in San Antonio. “These updated plans for Juno will allow it to complete its primary science goals. As a bonus, the larger orbits allow us to further explore the far reaches of the Jovian magnetosphere — the region of space dominated by Jupiter’s magnetic field — including the far magnetotail, the southern magnetosphere, and the magnetospheric boundary region called the magnetopause. We have also found Jupiter’s radiation environment in this orbit to be less extreme than expected, which has been beneficial to not only our spacecraft, but our instruments and the continued quality of science data collected.”
In its present 53-day polar orbit, Juno moves as close as 5,000 kilometers from the Jovian cloud tops and backs out as far as 8 million kilometers. It’s an orbit that minimizes exposure to Jupiter’s radiation belts even as it allows the craft to study the planet’s entire surface over the course of its time there. The latest work on data collected during these orbits comes in two papers, one in Nature, the other in Nature Astronomy, that look at Jovian lightning and how it is produced.
The first analysis draws on data from Juno’s Microwave Radiometer Instrument (MWR), which can record emissions at a wide range of frequencies. Because lightning discharges emit radio waves, Juno can keep an eye on lightning activity on the gas giant. Jovian lightning has also been detected by optical cameras aboard spacecraft as localized flashes of light. Shannon Brown (JPL), lead author of the paper on this work, points out that until Juno, the radio signals spacecraft have detected all came from the Galileo probe, Cassini and the two Voyager flybys, but these were all found in the kilohertz range of the radio spectrum, despite attempts to find signals in the megahertz range. The reason for the discrepancy has been a mystery.
After all, terrestrial lightning emits a broad signal over the radio spectrum up to gigahertz frequencies. Juno is helping to resolve the discrepancy, detecting Jovian lightning ‘sferics’ (broadband electromagnetic impulses) at 600 MHz. That implies that the planet’s lightning discharges are not fundamentally distinct from the lightning we experience on Earth. During Juno’s first eight orbits of Jupiter, the spacecraft detected 377 sferics, finding them prevalent in the polar regions and absent near the equator, with the most frequent occurring in the northern hemisphere at latitudes higher than 40 degrees north.
”We think the reason we are the only ones who can see it is because Juno is flying closer to the lighting than ever before,” says Brown, ”and we are searching at a radio frequency that passes easily through Jupiter’s ionosphere.”
But what would account for the fact that Earth’s lightning activity is highest near the equator, while Jupiter’s is most frequent in the polar regions? Brown and company suggest that Jupiter’s poles allow more warm air to rise from within because there is less upper-level warmth from sunlight. Possibly the heating from sunlight at Jupiter’s equator can stabilize the upper atmosphere to inhibit warm air rising from below as it does at the poles. If this is the case, we would expect the polar regions to experience the convective forces that lead to lightning.
From the paper’s abstract:
Because the distribution of lightning is a proxy for moist convective activity, which is thought to be an important source of outward energy transport from the interior of the planet, increased convection towards the poles could indicate an outward internal heat flux that is preferentially weighted towards the poles. The distribution of moist convection is important for understanding the composition, general circulation and energy transport on Jupiter.
Image: This artist’s concept of lightning distribution in Jupiter’s northern hemisphere incorporates a JunoCam image with artistic embellishments. Data from NASA’s Juno mission indicates that most of the lightning activity on Jupiter is near its poles. Credit: NASA/JPL-Caltech/SwRI/JunoCam.
What scientists now have to explain, as this JPL news release points out, is why the north pole is so much more active than the south. Our understanding of energy flow and circulation on Jupiter is clearly a work in progress, something the Juno data trove may help us untangle. Meanwhile, Ivana Kolmašová (Czech Academy of Sciences, Prague) and colleagues have offered what NASA is calling ‘the largest database of lightning-generated low-frequency radio emissions around Jupiter (whistlers) to date.’ The dataset includes more than 1600 signals collected by Juno’s Waves instrument, 10 times the number recorded by Voyager 1.
We’re not only further along in detection technology than in the Voyager days, with advances in microwave and plasma wave instruments to sense lightning amidst Jupiter’s emissions, but we’re also dealing with a spacecraft that has come closer to Jupiter than any other craft in history, allowing a vast increase in signal strength. The knowledge that Juno will now be able to proceed through its entire primary data collection mission is thus a cause for celebration.
The papers are Brown et al., “Prevalent lightning sferics at 600 megahertz near Jupiter’s poles,” Nature 558 (2018), 87-90 (abstract); and Kolmašová et al., “Discovery of rapid whistlers close to Jupiter implying lightning rates similar to those on Earth,” Nature Astronomy 6 June 2018 (abstract).





June 7, 2018
Scouting Alpha Centauri at X-ray Wavelengths
One of the benefits of having Alpha Centauri as our closest stellar neighbor is that this system comprises three different kinds of star. We have the familiar Centauri A, a G-class star much like our Sun, along with the smaller Centauri B, a K-class star with about 90 percent of the Sun’s mass. Proxima Centauri gives us an M-dwarf, along with the (so far) only known planet in the system, Proxima b. Questions of habitability here are numerous. Along with possible tidal locking, another major issue is radiation, since M-dwarfs are known for their flare activity.
As we learn more about the entire Alpha Centauri system, though, we’re learning that the two primary stars are much more clement. They may have issues of their own — in particular, although stable orbits can be found around both Centauri A and B, we still don’t know whether planets are likely to have formed there — but scientists studying data from the Chandra X-ray Observatory have found that levels of X-ray radiation are far lower here than around Proxima Centauri.
This is good news, because high radiation levels could prove fatal for surface life, with the additional effect of possible damage to planetary atmospheres. Chandra has been involved in a multi-year campaign targeting Centauri A and B stretching back to 2005, with observations every six months. No other X-ray observatory is capable of resolving the two primary stars during their current close orbital approach. What we wind up with is a look at radiation activity over time, covering a period analogous to our own Sun’s 11-year sunspot cycle.
Image: A new study involving long-term monitoring of Alpha Centauri by NASA’s Chandra X-ray Observatory indicates that any planets orbiting the two brightest stars are likely not being pummeled by large amounts of X-ray radiation from their host stars. This is important for the viability of life in the nearest star system outside the Solar System. Chandra data from May 2nd, 2017 are seen in the pull-out, which is shown in context of a visible-light image taken from the ground of the Alpha Centauri system and its surroundings. Credit: X-ray: NASA/CXC/University of Colorado/T.Ayres; Optical: Zdeněk Bardon/ESO.
Tom Ayres (University of Colorado Boulder) presented these results at the just concluded meeting of the American Astronomical Society in Denver. Any planets in the habitable zone of Centauri A would actually receive a lower dose of X-rays, on average, than planets around the Sun, while the X-ray dosage for a planetary companion of Centauri B is about 5 times higher than the Sun. This contrasts sharply with Proxima Centauri’s planet, which would receive an average dosage 500 times larger than the Earth, rising to 50,000 times higher during a major flare. If we find planets around either A or B, it may be that Breakthrough Starshot will want to prioritize these at the expense of the more endangered Proxima b.
In the animation below, we can see the proper motion of Centauri A and B.
https://www.centauri-dreams.org/wp-content/uploads/2018/06/alphacen-clockless-movie.mp4
Image: This movie shows Chandra observations of Alpha Centauri A and B taken about every 6 months between 2005 and 2018. Alpha Cen A is the star to the upper left. The motion of the pair from left to right is their “proper motion”, showing the movement of the pair in our galaxy with respect to the solar system. The change in relative positions of the pair shows the motion in their 80 year long orbit and the wobbles show the small apparent motion (called parallax) caused by the year long orbit of the Earth around the Sun. The Chandra images are shown in black and white. To place these semi-annual images in context, the two colored circles show the expected motion of Alpha Cen A (yellow) and Alpha Cen B (orange) when taking account of proper motion, orbital motion and parallax. The size of the circles is proportional to the X-ray brightness of the source. Credit: Thomas Ayres.
Ayres has also written up some of the results in Research Notes of the American Astronomical Society, where I learned that the central AB pair has actually been under X-ray study for almost four decades, dating back to the late 1970s and the HEAO-2 satellite (also known as the Einstein Observatory), which was the first fully imaging X-ray telescope ever put into space. Subsequent observations were conducted by ROSAT (Röntgen-Satellit), XMM-Newton and now Chandra. Here, Ayres explains why X-ray studies may help us learn about habitability in this system as well as giving us information closer to home:
The modest coronae (106 K) of α Cen AB are on par with our own Sun’s. X-ray studies of these objects can help us understand how the “Dynamo” in the stellar interior produces the episodic surface magnetic eruptions at the core of solar activity and “Space Weather.” The hard radiation and particle bombardment from flares and coronal mass ejections can affect Planet Earth, so the interest is not solely academic. Exoplanets of other sunlike stars can be exposed to analogous extreme high-energy transients from their hosts, with perhaps serious repercussions for habitability.
Image: Figure 1 from the Ayres note. Caption: X-ray light curves of a Cen AB and the Sun 1995–2018. Credit: T. R. Ayres.
I was fortunate enough to be in the audience when Ayres spoke to Breakthrough Discuss in 2016 in a presentation called “The Ups and Downs of Alpha Centauri.” Here’s Breakthrough’s video of that talk, which I highly recommend.
The research note is Ayres, “Alpha Centauri Beyond the Crossroads,” Research Notes of the AAS Vol. 2, No. 1 (22 January 2018). Full text.





June 6, 2018
How Old Are Globular Clusters?
Some 150 globular clusters are associated with the Milky Way, great collections of stars inhabiting the galactic halo. Their stars have long been assumed to be ancient, making the question of life there intriguing: If life caught hold in these tightly packed clusters early in the universe’s evolution, could ancient civilizations have formed that might persist even today? I know of only one planet that has yet been found in a globular cluster, but we’re obviously early in the game, and planets have been discovered in open clusters, which are much less densely packed.
Just how little we know about globular clusters, though, is made apparent by the work of Elizabeth Stanway (University of Warwick), whose new paper argues that such clusters could be billions of years younger than we have thought. Working with JJ Eldridge (University of Auckland), Stanway invokes a model called Binary Population and Spectral Synthesis (BPASS). In play here is the evolution of binary stars within globular clusters, a line of research that has been put to work in prior studies of young stellar populations in the Milky Way and elsewhere.
Image: The globular cluster Terzan 1. Clusters like these have been thought to contain some of the oldest known stars. New research puts their age into question. Credit: Judy Schmidt/ESA/NASA.
A significant problem in observing globular clusters is described in the paper. Having discussed using the spatially resolved light of individual stars to determine stellar properties, the authors note:
However, in the majority of old stellar populations, such detailed investigation of resolved stellar properties is impossible due to a lack of depth or angular resolution, and the integrated light of the unresolved stars must instead be used to constrain the properties of the population as a whole. In this scenario observable characteristics of the source spectral energy distribution (SED), including photometric colours and spectroscopic emission lines or indices, are compared to those determined for models of known age and composition.
And here’s the crux, which is why the age of such significant galactic features as these remains in doubt:
Either a best fitting template or a relation calibrated on such templates is then used to characterise the population. As a result, such analyses are strongly dependent on the properties of the template stellar population models.
Out of this understanding has sprung a new generation of models for the study of galactic evolution. But as the authors point out, binary interactions can have marked effects on a star’s development, and current research indicates that multiple star systems are ubiquitous in globular clusters, making single star models problematic when conclusions are being drawn from the integrated light of the entire cluster. And it turns out that the model populations that best fit observations are substantially younger than those derived from older spectral models.
Thus the utility of BPASS, which the authors have upgraded from a version described in an earlier paper. The BPASS upgrade is targeted at refining age estimates for older populations of stars. The researchers examine the elements in the spectra of binary stars, looking at systems where the larger star expands into a giant while the smaller star strips away its atmosphere. In this model, both stars are assumed to have formed at the same time as the globular cluster.
From the paper:
…incorporating binary stellar evolution pathways, together with the most up-to-date stellar evolution and atmosphere models for single stars, into stellar population synthesis models can make a significant difference in the interpretation of their integrated light properties. The lifetimes of stars in different mass ranges can be modified, by mass transfer and mixing, as can their temperatures and gravities. Mass transfer onto a secondary can produce more massive, and therefore brighter, stars at late ages, even if their stellar atmospheres are typical of cool red giants. A population can also incorporate stellar types simply not found in the absence of binary evolution.
Image: Binary star evolution within a globular cluster. Credit & copyright: Mark A. Garlick/University of Warwick.
Given the dependence of the age estimates of older star populations on evolutionary models, it’s helpful to see that the BPASS work can reproduce observed values in globular clusters and galaxies. And as the model is continuing to be refined, it produces this result:
Model fits to photometry and spectroscopic indices yield a consistently younger fit, often at slightly higher metallicity, than fits to older calibrations, when new stellar atmosphere models and binary stellar evolution pathways are included.
And this:
At its most basic level, this means that we are able to reproduce the photometry of mature, quiescent galaxies and clusters at younger ages than previous model sets (i.e. ∼ 5 − 8 Gyr, rather than 10-14 Gyr).
Stellar interactions, then, may tell the tale, perhaps adjusting our estimates of cluster age by billions of years. Still ancient, these vast ‘cities of stars’ pose huge questions — how stable are planetary orbits, for example, given the interactions between such tightly packed stars? But the vision of places like Lagash, the planet in Isaac Asimov’s “Nightfall” (called Kalgash in the later novel), its skies always ablaze with stars, keeps the science fiction fan in me speculating. What would it be like to be on a planet deep within something as splendid as the image below?
Image: Thousands and thousands of brilliant stars make up this globular cluster, Messier 53, captured with crystal clarity in this image from the NASA/ESA Hubble Space Telescope. Bound tightly by gravity, the cluster is roughly spherical and becomes denser towards its heart. These enormous sparkling spheres are by no means rare, and over 150 exist in the Milky Way alone, including Messier 53. It lies on the outer edges of the galaxy, where many other globular clusters are found, almost equally distant from both the centre of our galaxy and the Sun. Although they are relatively common, the famous astronomer William Herschel, not at all known for his poetic nature, once described a globular cluster as “one of the most beautiful objects I remember to have seen in the heavens.” This picture was put together from visible and infrared exposures taken with the Wide Field Channel of Hubble’s Advanced Camera for Surveys.
Our understanding of globular clusters is, of course, a work in progress. Says Stanway:.
“It’s important to note that there is still a lot of work to do – in particular looking at those very nearby systems where we can resolve individual stars rather than just considering the integrated light of a cluster – but this is an interesting and intriguing result. If true, it changes our picture of the early stages of galaxy evolution and where the stars that have ended up in today’s massive galaxies, such as the Milky Way, may have formed. We aim to follow up this research in future, exploring both improvements in modelling and the observable predictions which arise from them.”
The paper is Stanway & Eldridge, “Reevaluating Old Stellar Populations,” in press at Monthly Notices of the Royal Astronomical Society (preprint).





June 5, 2018
A Gravitational Explanation for ‘Detached Objects’
Things always get interesting when the American Astronomical Society meets, which it is now doing in Denver, in sessions that will run until June 7. There should be no shortage of topics emerging from the meeting, but the first that caught my eye was a different approach to the putative world some are calling Planet Nine. Teasing out the existence of a planet at the outer edges of the Solar System has involved looking at gravitational interactions among objects that we do know about, and extrapolating the presence of a far more massive body.
But the methodology may be flawed, if new work from Ann-Marie Madigan and colleagues at the University of Colorado Boulder is correct. At a press briefing at the AAS meeting, the team presented its view that objects like Sedna, an outlier that takes more than 11,000 years to complete an orbit around the Sun, should be considered in relation to other so-called ‘detached bodies.’ Almost 13 billion kilometers out, Sedna is one of a collection of such objects that appear in some ways to be in another category from the more conventional inner worlds.
Image: An artist’s rendering of Sedna, which looks reddish in color in telescope images. Credit: NASA/JPL-Caltech.
Sedna and its ilk come nowhere near the larger planets of our system, and their orbits may tell a tale. As this CU-Boulder news release explains, it was an undergraduate student named Jacob Fleisig who began to model a significant pattern known as ‘inclination instability’ that Madigan had previously described in the literature. Fleisig’s computer modeling illustrates how inclination instability can ease Sedna’s orbit from oval to circular over time.
In the model, accumulating gravitational forces drive growth in the orbital inclinations of objects in eccentric orbits. From the new work:
…secular (orbit-averaged) gravitational torques between orbits in the disk drive exponential growth of their inclinations. As the orbits’ inclinations grow, they tilt in the same way with respect to the disk plane. This leads to clustering in their angles of pericenter and the initially thin disk expands into a cone shape. Concurrently, the orbital eccentricities decrease and perihelion distances increase.
If such a mechanism is at work in our own system, we would expect it to occur between minor planets originally scattered to large orbital eccentricities via interactions with the giant planets. Such objects then become gravitationally detached from those planets. The authors believe this mechanism can explain the orbits of high perihelia objects like Sedna. Current studies posit anywhere from 1 to 10 Earth masses of cometary material existing at hundreds of AU from the Sun. The authors see such objects being originally scattered by the giant planets and their orbits decoupled by perturbations from cluster gas and nearby stars.
Perhaps this is all we need to explain the orbits of detached objects. There would be no need for a ‘Planet Nine’ at the edge of the Solar System. Instead, the detached objects achieve their present orbits through a series of small-scale interactions.
“There are so many of these bodies out there. What does their collective gravity do?” asks Madigan. “We can solve a lot of these problems by just taking into account that question.”
A great deal of work is ahead as the authors apply findings from their current computer simulations — “focused on the linear phase of the inclination instability in an idealized set-up” — to the outer Solar System. The paper notes their intent to model the gravitational influences of the giant planets and to focus on individual minor planets — especially those whose orbits become retrograde — instead of averaging their results for many hypothetical objects.
The paper is Madigan et al., “On the Dynamics of the Inclination Instability,” submitted to The Astrophysical Journal (preprint).





June 4, 2018
Breakthrough Starshot Sail RFP
Breakthrough Starshot held an ‘industry day’ on Wednesday May 23rd devoted to its lightsail project to take nanocraft to another star, framing the release of a Request for Proposals during its early concepts and analysis phase. The RFP focuses on the sail itself, investigating sail materials and stability under thrust. Step A proposals are due June 22, step B proposals on July 10, with finalists to be notified and contracts awarded this summer. The intent of the RFP is laid out in documents and slides from the meeting that Breakthrough has now placed online.
From the RFP itself:
The scope of this RFP addresses the Technology Development phase – to explore LightSail concepts, materials, fabrication and measurement methods, with accompanying analysis and simulation that creates advances toward a viable path to a scalable and ultimately deployable LightSail.
We’ve been talking about Breakthrough Starshot in these pages for a long time, as a search through the archives will reveal. The intention is to send gram-scale probes commonly referred to as ‘starchips’ attached to sails on the scale of meters to a nearby star to investigate its planets, with the highly interesting Proxima Centauri b an obvious target given that it is also the closest star to the Sun. Propelling the sail will be a gigawatt-scale ground-based laser. 20 years of flight time sets up the flyby, with data transmission returning images of the star system.
$100 million in research and development is to be spent over the next 5 years to determine the feasibility of both laser and sail. Overall, the five-year technology development period will be managed by three groups: Starshot’s sail committee, a photon engine committee and a systems engineering committee. After that, the goal from years 6 to 11 is to build a low-power prototype for space testing. After that comes a full scale laser system (called the ‘photon engine’) over the next 20 years, with launch of an interstellar mission occurring in approximately 30 years.
It’s an ambitious schedule, to be sure, but the early conceptual steps are now being taken, with initial sail work investigating candidate materials and sail stability. Keeping a sail stable under the high accelerations induced by the laser array is obviously critical and has already involved discussions and papers on different sail configurations, while the equally critical issue of sail materials is likewise considered in the RFP, which is Phase 1 of the sail’s development.
Phase 2 of the technology development program for the lightsail will validate lightsail materials and stable designs by proof of concept laboratory demonstrations, while Phase 3 takes us into laboratory testing of scalable prototypes. All of this points toward the eventual goal of a prototype mission that would launch nanocraft to a target here in the Solar System.
With this RFP focusing on Phase 1, Breakthrough Starshot seeks proposals for quantitative models that can produce testable predictions of sail performance, mathematical models defining the necessary conditions for sail stability, experimental methods for lightsail material fabrication and precision measurements to ‘validate optical, thermal and mechanical stability of materials.’ Here is the RFP statement of key issues involved in identifying candidate materials and designs:
Design of a reflector consistent with the mission requirement of achieving 0.2c for ~1g payload and LightSail area of >1 m2
Design of passive, adaptive or active features that enable or enhance stability, damage resistance, thermal robustness, and durability under deformation
Assessment of candidate materials (including thin-films, micro/nanopatterned structures, 2D materials) for thermal/mechanical stability
Development of measurement techniques and protocols for LightSail material properties (absorption, reflectivity, temperature, stress state, etc.)
Identification of materials for which scale-up and manufacture at the >1 m2 scale is feasible
Materials that facilitate integration of the LightSail with the Starchip
Development of the next generation Starchip scale spacecraft with a path towards incorporation into the Nanocraft
The second objective of the RFP is to identify and assess optimally-shaped designs for a stable sail that can withstand the temperatures and accelerations involved in pushing nanoncraft to 20 percent of the speed of light in a matter of minutes. The RFP notes the key issues here as:
Validation via, e.g., multi-physics simulation (optical, mechanical, thermal, etc.) of LightSail durability and dynamic stability and sensitivity to Photon Engine laser propulsion beam geometry and ground demonstrations
Evaluation of spacecraft stability in the context of a LightSail integrated with a Starchip payload
Development of optimization-based tools for evaluating LightSail designs matched to corresponding laser beam profiles.
Defining a roadmap for test and verification, including:
o Measurement techniques for thin membranes at a small (2) scale
o Developing diagnostics and instrumentation needed for LightSail stability
measurements
You can download the RFP from the Breakthrough Starshot site for bidding information; note that multiple awards are anticipated. A layout of the proposal process and requirements is provided there, with submission information. The procurement is a two-step process with initial (short) white paper proposal evaluated by the Starshot lightsail committee and experts in beamed propulsion, and a second round in which finalists are invited to make final proposals. Contract negotiations will then be performed by the Starshot lightsail committee.





June 1, 2018
Dawn at Ceres: Imagery from a Changing Orbit
I’m looking forward to the buildup as New Horizons gets ever closer to Kuiper Belt Object MU69 and whatever surprises will attend the flyby. But the ongoing operations of the Dawn spacecraft orbiting Ceres equally command the attention. The image below is one of the first images Dawn has returned in more than a year, a stark view of surface features taken on May 16 of this year. The altitude here is 440 kilometers — for scale, the large crater near the horizon is about 35 kilometers wide. The foreground crater is about 120 kilometers from that crater, within a jumbled landscape suggestive of ancient terrain underlying the more recent impact.
Image: On the way to its lowest-ever and final orbit, NASA’s Dawn spacecraft is observing Ceres and returning new compositional data (infrared spectra) and images of the dwarf planet’s surface, such as this dramatic image of Ceres’ limb. Dawn has returned many limb images of Ceres in the course of its mission. These images offer complementary perspective to the images generally obtained by imaging the surface directly beneath the spacecraft. Credit: NASA/JPL-Caltech/UCLA/MPS/DLR/IDA.
As with Pluto/Charon, so with Ceres — we’ve named many surface features, and can thus say that the image, a view of terrain at 23 degrees north latitude, 350 degrees east longitude, is in the neighborhood of mountainous terrain that includes Kwanzaa Tholus. A tholus is a type of small mountain — we now have six named tholi and montes, somewhat bigger mountains, in this region of the dwarf world.
Backing out the view in the image below, you can see Kwanzaa Tholus marked at image center, though its gradual rise makes it difficult to pick out. Here we’re looking at a 2017 mosaic taken by Dawn in its high-altitude mapping orbit at about 1470 kilometers above the surface.
Image: Scientists say Kwanzaa Tholus may have once been as prominent as Ahuna Mons, the tallest and most noticeable mountain on Ceres. Ahuna Mons is likely a cryovolcano, a volcano formed by the gradual accumulation of thick, slowly flowing icy materials. Because ice is not strong enough to preserve an elevated structure for extended periods, cryovolcanoes on Ceres are expected to gradually collapse over tens of millions of years. This means Kwanzaa Tholus and other tholi in that area could be degraded mountains, which also formed from cryovolcanic activity. Credit: NASA/JPL-Caltech/UCLA/MPS/DLR/IDA.
But back to the present, for Dawn is drawing closer to Ceres as it moves into its final orbit, which it will reach in early June. This orbit will take the spacecraft as close as 50 kilometers above the surface, so we can expect the spectacular imagery to continue. It’s worth noting how complex this orbital adjustment is, involving examination of more than 45,000 possible trajectories before engineers chose the final plan. Along with the images, Dawn will be collecting gamma ray and neutron spectra (using the GRaND gamma ray and neutron detector instrument) by way of gaining insights into the chemical makeup of Ceres’ upper crust.
“The team is eagerly awaiting the detailed composition and high-resolution imaging from the new, up-close examination,” said Dawn’s Principal Investigator Carol Raymond of NASA’s Jet Propulsion Laboratory, Pasadena, California. “These new high-resolution data allow us to test theories formulated from the previous data sets and discover new features of this fascinating dwarf planet.”
We’re now going into what is known as XM07, or extended mission orbit 7, a designation that, as mission director and chief engineer Marc Rayman wryly observes, “illustrates the team’s flair for the dramatic.” Since XM05 the spacecraft’s orbit has been elliptical, for Dawn was not designed to operate at low altitude, and we’re dealing with a spacecraft whose reaction wheels have failed, making controlling its orientation an issue. Dawn must fire its small hydrazine-fueled thrusters to control its orientation in space. In his JPL blog, Rayman describes the orbit:
Although the elliptical orbits introduce many new technical challenges for the team, Dawn still takes a spiral route from each orbit to the next, just as it did earlier at Ceres and at Vesta when the orbits were circular. In essence, the ion engine smoothly shrinks the starting ellipse until the new ellipse is the size needed. These trajectories are very complicated to plan and to execute, but with the expert piloting of the experienced team, the maneuvering is going very well.
Image: Mission director and chief engineer Marc Rayman, whose mission updates are indispensable for anyone following Dawn. Both Dawn and New Horizons have done a superb job in keeping mission activities visible to the public. Credit: JPL.
The XM07 ellipse will take Dawn from less than 50 kilometers back out to 4,000 kilometers, with each revolution lasting 27 hours and 13 minutes. Rayman notes that XM07 will place extreme demands on Dawn’s photography because of the high speed of the spacecraft this near to the surface and the pointing problems involved in capturing a specific target. For more on this and a full description of XM07 and its consequences, I’ll send you to Rayman’s blog, which in any case should be on your radar as an informative and witty look deep inside the mission.
Image: This view of Juling Crater was constructed from pictures Dawn took from XM06 at an altitude of 385 kilometers. The science team has presented other views of this 20-kilometer crater, including last month, when Rayman and company described the discovery that the amount of ice on the shadowed northern wall changed over six months in 2016. Ceres is not a static world. When Dawn dives down lower in June, it will obtain sharper images than this (at other locations). Credit: NASA/JPL-Caltech/UCLA/MPS/DLR/IDA.





May 31, 2018
Galactic Habitability and Sgr A*
Yesterday I looked at evidence for oxygen in a galaxy so distant that we are seeing it as it was a mere 500 million years after the Big Bang. It’s an intriguing find, because that means there was an even earlier generation of stars that lived and died, seeding the cosmos with elements heavier than hydrogen and helium. It’s hard to imagine the vast tracts of time since populated with stars and, inevitably, planets without speculating on where and when life developed.
But as we continue to speculate, we should also look at the factors that could shape emerging life in galaxies like our own. Tying in neatly with yesterday’s post comes a paper from Amedeo Balbi (Università degli Studi di Roma “Tor Vergata”), working with colleague Francesco Tombesi. The authors are interested in questions of habitability not in terms of habitable zones in stellar systems but rather habitable zones in entire galaxies. For we know that at the center of our Milky Way lurks the supermassive black hole Sgr A*, whose effects must be considered.
Such black holes are known to produce vast amounts of ionizing radiation in the highly visible form of quasars or active galactic nuclei (AGN). The atmospheric loss and biological damage inflicted on a rocky planet as it is exposed to intense X-ray and extreme ultraviolet radiation can be extreme, and such conditions would have marked our own galaxy’s AGN phase.
The concern here is to examine how ionizing radiation can impact habitability by exposing planetary surfaces to high-energy fluxes, while also degrading planetary atmospheres. We’ve looked at these issues now and again on this site, with particular regard to red dwarf stars, the most common class of star in the galaxy but also a type prone to flare activity particularly when young. We now consider whether there are regions in our galaxy that would be less likely to be habitable because of the effects of Sgr A*, which was not always as quiet as it is now.
Image: Centaurus A is one of the active galactic nuclei closest to Earth. It emits strong radio emission and produces a relativistic jet. Credit: ESO/WFI (Optical); MPIfR/ESO/APEX/A.Weiss et al. (Submillimetre); NASA/CXC/CfA/R.Kraft et al. (X-ray).
AGNs represent a class of galaxies that appear in a wide range of shapes and spectral features. Some of that spectral variation may, according to one theory, involve our viewing angle and the obscuring effects of dust. The peak of Sgr A*’s active phase is thought to have occurred less than 8 billion years ago and to have lasted between 107 and 109 years. The paper examines how this activity would affect the habitability of the Milky Way.
Image: An artist impression of the quasar ULAS J1120+0641. Credit: ESO/M. Kornmesser.
The researchers compared the XUV flux at various distances from galactic center to the dosage that would prove lethal for organisms on Earth, producing ‘critical fluxes’ for complex life as well as for prokaryotes (some radiation-resistant terrestrial prokaryotes can survive high radiation doses). How far from Sgr A* would a planet have to be to be exposed to a critical flux?
The issue is complicated by the possible response of local organisms, which might evolve to cope with increased radiation under varying environmental conditions, and it is also true that radiation doses lower than lethality could spur biological mutations. But given what they assume to be plausible values for a lethal absorbed dose of ionizing radiation, the authors believe that complex life would have been in jeopardy during Sgr A*’s peak active phase at distances as large as 10 kpc [32,600 light years] from galactic center. By comparison, the Sun lies about 8 kpc from the center of the Milky Way, having formed well after the Sgr A* peak.
From the paper:
This may not have prevented the appearance of life per se, since prokaryotes could have survived to higher fluxes. However, we point out that the biological effect of the ionizing radiation from Sgr A* would have been in addition to that of any other source of ionizing radiation, for example from the host star, and would add to the loss of a large fraction of the atmosphere. Even if some organisms might have survived by developing radiation-resistance or finding protected niches, the global effect on the biosphere would have been significant.
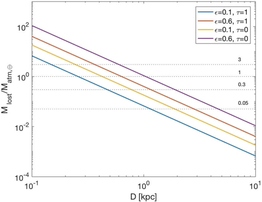
Let me circle back around to the question of atmosphere loss, also critical in assessing life’s chances in the era of Sgr A* peak activity. Assuming that the torus of the AGN would have been co-aligned with the galactic plane, the authors produce the chart below, showing the total amount of atmospheric mass lost at the end of the AGN phase of Sgr A* by a planet with the same density as Earth, as a function of the distance from the galactic center.
Image: This is Figure 1 from the paper. Caption: The total mass lost at the end of the AGN phase of Sgr A* by a terrestrial planet at distance D from the galactic center, in units of the atmosphere mass of present day Earth. Each curve was computed assuming a value for the efficiency of hydrodynamic escape of either ε = 0.1 or ε = 0.6. An optical depth τ = 1 corresponds to locations close to the galactic plane (maximum attenuation by the AGN torus) while τ = 0 corresponds to high galactic latitudes (no attenuation). Credit: Amedeo and Tombesi.
The conclusion is stark: Rocky planets in the galactic bulge would have been exposed to enough XUV radiation during peak Sgr A* activity to lose a significant fraction of their atmosphere. The mass loss for distances from the galactic plane of 0.5 kpc or less could be comparable to the atmosphere of Earth today. It would take significant volcanism and outgassing to regenerate an atmosphere sufficiently to repair such a loss.
…our results imply that the inner region of the Milky Way might have remained uninhabitable until the end of the AGN phase of its central black hole, and possibly thereafter. This has important consequences in assessing the likelihood of ancient life in the Galaxy, and should be taken into account in future studies of the Galactic habitable zone. It also suggests further investigations on the relation between supermassive black holes in galactic cores and planetary habitability.
The paper is Balbi and Tombesi, “The habitability of the Milky Way during the active phase of its central supermassive black hole,” Scientific Reports 7, article #: 16626 (2017). Full text.





Paul Gilster's Blog
- Paul Gilster's profile
- 7 followers
