Helen DeWitt's Blog, page 9
August 6, 2014
faint but pursuing
Short-changed readers of pp will know I spent a long time dealing with a stalker. He was cited for unlawful trespass in May 2013; in criminal justice, the victim of a crime is simply a witness, and I wasn't sure what the legal implications might be of a witness writing about the whole sorry mess online. I had one Victim Advocate after another, and everything the Victim Advocate du jour led me to be believe turned out to -- have been straightforwardly true in a world where English, though indistinguishable from the language familiar to habituates of pp, has a range of vocabulary with widely different meanings from those we think we know. In other words, I might ASK my VA whether I could write on my blog; I might very well get an answer; acting on this answer would almost certainly land me in the soup.
For better or worse, the legal machinery has run its course. I've published an abridged account of the saga in the LRB.
For better or worse, the legal machinery has run its course. I've published an abridged account of the saga in the LRB.
Published on August 06, 2014 12:32
May 31, 2014
any states closer to wysiwyg legal system?
I talked to X's caseworker at the work camp. The camp has 100 inmates, 70 of whom are sex offenders; the other 30 get a special deal under which each day served earns an extra day off the sentence. X had also earned "good time" at Springfield. This was why an additional 2 months were knocked off the sentence on top of the 3 earned at work camp. The system is not set up to inform victims.
I then talked to the Director of Victim Services of the DOC, who was very helpful. She said if the DOC had been aware of the background of the case they would probably not have recommended the work camp. If the State's Attorney's Office had told me to contact the DOC early on the circumstances would have been taken into account. She said they would discuss ways to ensure victims were better informed.
Somewhat the worse for wear. I managed to get police intervention after X's second act of trespass in May last year; since then, a staggering amount of mental energy has been diverted from work to trying to understand the legal system of Vermont. One is always in the position of finding out too late that there was something one needed to know -- and the more often it happens, the more the mind is taking up with wondering what it has missed, whether one asked the right questions, whether one asked the right person, and if not what more one needs to do.
The problem is, it's easy enough to comparison shop state laws: one can find the stalking laws of all 50 states and DC, for instance, on the website of the Stalking Resource Center. With a little effort one can track down the law on trespass in any state. What one can't so easily find out is whether the laws are implemented in a way that is intuitive to someone seeking to claim their protection - whether there are states which have a fairly transparent system that does not require telepathy to negotiate. (I thought at one point that it might have helped to hire a lawyer -- but when I sounded out a local lawyer he seemed to think there was nothing he could have done to get a better or more intelligible result.)
I wondered whether any readers had experience of other states. Is it standard for a simple case of trespass to take months, perhaps up to a year, to resolve? Even if this forces the victim to move out in the interim? Is it standard for Victim Advocates to withhold information, even if state law specifies that it should be provided? Are there states where the victim of a crime would in fact be told if a sentence was curtailed?
I then talked to the Director of Victim Services of the DOC, who was very helpful. She said if the DOC had been aware of the background of the case they would probably not have recommended the work camp. If the State's Attorney's Office had told me to contact the DOC early on the circumstances would have been taken into account. She said they would discuss ways to ensure victims were better informed.
Somewhat the worse for wear. I managed to get police intervention after X's second act of trespass in May last year; since then, a staggering amount of mental energy has been diverted from work to trying to understand the legal system of Vermont. One is always in the position of finding out too late that there was something one needed to know -- and the more often it happens, the more the mind is taking up with wondering what it has missed, whether one asked the right questions, whether one asked the right person, and if not what more one needs to do.
The problem is, it's easy enough to comparison shop state laws: one can find the stalking laws of all 50 states and DC, for instance, on the website of the Stalking Resource Center. With a little effort one can track down the law on trespass in any state. What one can't so easily find out is whether the laws are implemented in a way that is intuitive to someone seeking to claim their protection - whether there are states which have a fairly transparent system that does not require telepathy to negotiate. (I thought at one point that it might have helped to hire a lawyer -- but when I sounded out a local lawyer he seemed to think there was nothing he could have done to get a better or more intelligible result.)
I wondered whether any readers had experience of other states. Is it standard for a simple case of trespass to take months, perhaps up to a year, to resolve? Even if this forces the victim to move out in the interim? Is it standard for Victim Advocates to withhold information, even if state law specifies that it should be provided? Are there states where the victim of a crime would in fact be told if a sentence was curtailed?
Published on May 31, 2014 08:47
May 21, 2014
hmmmmm
I spent yesterday morning and early afternoon rushing around organizing paperwork for notices against trespass from me and the other neighbors who share my hill, including, most importantly, the neighbor who had let Edmond Arundell stay rent-free at his place in return for work. I went in to the Sheriff's Department to hand in some forms; the dispatcher was on the phone with this neighbor, who was going out of his way to be helpful.
The dispatcher told me my neighbor had talked to a friend of E's; he was in fact due to be the following day (i.e. today), and there was not enough time to get the papers served at his work camp.
The Sheriff's Department contacted the Sheriff's Department in Windsor, closest to the facility; they could not help. I contacted the Victim Advocate at the DOC, the State's Attorney's Office, the work camp. Everyone agreed that there was nothing to be done. No one could really explain why the correct date had not been revealed in time to act on it.
I talked to a man at the work camp, who explained that every day spent at the work camp knocked a day off the sentence. (E had been there 3 months and they had knocked off 5, so there is presumably some other wrinkle to the formula.)
I spent today talking to an advisor at a women's shelter about the benefit of a stalking order, which sounded likely to do more harm than good. She thought I might do best simply to return for a time to my mother's house in DC.
The neighbors up the hill have very kindly let me come to stay for a few days.
The dispatcher told me my neighbor had talked to a friend of E's; he was in fact due to be the following day (i.e. today), and there was not enough time to get the papers served at his work camp.
The Sheriff's Department contacted the Sheriff's Department in Windsor, closest to the facility; they could not help. I contacted the Victim Advocate at the DOC, the State's Attorney's Office, the work camp. Everyone agreed that there was nothing to be done. No one could really explain why the correct date had not been revealed in time to act on it.
I talked to a man at the work camp, who explained that every day spent at the work camp knocked a day off the sentence. (E had been there 3 months and they had knocked off 5, so there is presumably some other wrinkle to the formula.)
I spent today talking to an advisor at a women's shelter about the benefit of a stalking order, which sounded likely to do more harm than good. She thought I might do best simply to return for a time to my mother's house in DC.
The neighbors up the hill have very kindly let me come to stay for a few days.
Published on May 21, 2014 18:34
May 17, 2014
hm
I went to DC in April to stay with my mother. On May 2 I got an email from VANS, the Vermont Automatic Notification Service, which sends out updates on an offender's status to registered users.
Edmond Arundell was notionally serving 14 months for breaking into my house at night last August and threatening to shoot me, which is to say that, since he was apprehended and taken into custody in early September, the sentence would presumably end some time in November. When I say "notionally" I mean that this was the sentence agreed in the plea bargain, which conveys to the uninitiated the notion that the time spent in jail will be 14 months.
Before breaking in he had shown a pattern of obsessive behavior which would have been a clear case of stalking in many states; in Vermont it wasn't so clear; he had been charged with two cases of unlawful trespass in early May. (I have discussed this briefly in an earlier post.) What he would do upon release was anyone's guess.
The notification from VANS said he was up for parole or a record review next month, and gave a number I could contact if I wished to participate. It looked as though this was the last month when I could live at my place with the guarantee of not being disturbed: if he was under supervision in the community he might comply with the conditions of his parole or he might not. So I went back to Vermont to snatch of a month to work on a book, and when I got back I began calling the number I had been given. If EA was to be let out I wanted some kind of restriction on his movements so that he could not come back to my place.
I left one message after another, trying various numbers. I finally tracked down someone who agreed to give my email address to Ashley Fisk, the victim advocate (roughly) within the correctional system. Fisk made some calls and reported back. Mr. Arundell was not, in fact, up for parole. He had maxed out his sentence and would be released unconditionally at the end of May. Fisk explained that he had served "good time" and it was this that had brought the date of release forward.
Now, I do understand that incentives for good behavior help to make prison populations manageable. But this is pretty tiring. Arundell is a self-confessed alcoholic, prone to violent rages when drunk. Sober he's a different person, "the nicest person in the world" according to staff at the local Sheriff's Office. Since he has spent 9 months of enforced sobriety, it's not surprising that he made a good impression.
The problem is, he himself admits that he can't help himself. He rejected probation as an element of his plea bargain because this would include a ban on alcohol with which he would be unable to comply. So his behavior inside is no predictor of what he will do upon release; his own assessment was that he would instantly start drinking again. And according to his landlord E was obsessed with me, could not stay away.
If his release had included the requirement to stay away from yours truly, a violation would have triggered a return to custody for the remainder of the original sentence. Now, if I get a stalking order or have a notice against trespass served, a violation will mean that the whole legal process starts from scratch.
Vermont has very liberal gun laws. Some states require a license for any kind of gun, some for concealed carry; some states exclude certain classes of people from ownership (felons, addicts, alcoholics). Vermont requires no license and places no restrictions on ownership. To the untutored eye, it is particularly ill-suited to a happy-go-lucky approach to the administration of justice.
So I have been organizing a new notice against trespass, and looking into a stalking order, and wondering whether there is any point. The message sent by the legal authorities is that a woman who wants to live in Vermont should get a gun and learn how to use it.
Edmond Arundell was notionally serving 14 months for breaking into my house at night last August and threatening to shoot me, which is to say that, since he was apprehended and taken into custody in early September, the sentence would presumably end some time in November. When I say "notionally" I mean that this was the sentence agreed in the plea bargain, which conveys to the uninitiated the notion that the time spent in jail will be 14 months.
Before breaking in he had shown a pattern of obsessive behavior which would have been a clear case of stalking in many states; in Vermont it wasn't so clear; he had been charged with two cases of unlawful trespass in early May. (I have discussed this briefly in an earlier post.) What he would do upon release was anyone's guess.
The notification from VANS said he was up for parole or a record review next month, and gave a number I could contact if I wished to participate. It looked as though this was the last month when I could live at my place with the guarantee of not being disturbed: if he was under supervision in the community he might comply with the conditions of his parole or he might not. So I went back to Vermont to snatch of a month to work on a book, and when I got back I began calling the number I had been given. If EA was to be let out I wanted some kind of restriction on his movements so that he could not come back to my place.
I left one message after another, trying various numbers. I finally tracked down someone who agreed to give my email address to Ashley Fisk, the victim advocate (roughly) within the correctional system. Fisk made some calls and reported back. Mr. Arundell was not, in fact, up for parole. He had maxed out his sentence and would be released unconditionally at the end of May. Fisk explained that he had served "good time" and it was this that had brought the date of release forward.
Now, I do understand that incentives for good behavior help to make prison populations manageable. But this is pretty tiring. Arundell is a self-confessed alcoholic, prone to violent rages when drunk. Sober he's a different person, "the nicest person in the world" according to staff at the local Sheriff's Office. Since he has spent 9 months of enforced sobriety, it's not surprising that he made a good impression.
The problem is, he himself admits that he can't help himself. He rejected probation as an element of his plea bargain because this would include a ban on alcohol with which he would be unable to comply. So his behavior inside is no predictor of what he will do upon release; his own assessment was that he would instantly start drinking again. And according to his landlord E was obsessed with me, could not stay away.
If his release had included the requirement to stay away from yours truly, a violation would have triggered a return to custody for the remainder of the original sentence. Now, if I get a stalking order or have a notice against trespass served, a violation will mean that the whole legal process starts from scratch.
Vermont has very liberal gun laws. Some states require a license for any kind of gun, some for concealed carry; some states exclude certain classes of people from ownership (felons, addicts, alcoholics). Vermont requires no license and places no restrictions on ownership. To the untutored eye, it is particularly ill-suited to a happy-go-lucky approach to the administration of justice.
So I have been organizing a new notice against trespass, and looking into a stalking order, and wondering whether there is any point. The message sent by the legal authorities is that a woman who wants to live in Vermont should get a gun and learn how to use it.
Published on May 17, 2014 15:28
April 10, 2014
Too long for Twitter
Agatha Christe once wrote that, as a girl, she (mis)estimated she would never be so rich as to be able to afford a motor car, but never so poor as to be unable to hire servants.
HT Brad DeLong
Published on April 10, 2014 14:51
April 7, 2014
spacing effect
The spacing effect essentially says that if you have a question (“What is the fifth letter in this random sequence you learned?”), and you can only study it, say, 5 times, then your memory of the answer (‘e’) will be strongest if you spread your 5 tries out over a long period of time - days, weeks, and months. One of the worst things you can do is blow your 5 tries within a day or two. You can think of the ‘forgetting curve’ as being like a chart of a radioactive half-life: each review bumps your memory up in strength 50% of the chart, say, but review doesn’t do much in the early days because the memory simply hasn’t decayed much!the whole thing here...
Published on April 07, 2014 12:30
March 22, 2014
the irony of Benn
The irony is that, had Benn stuck to the centre ground that he occupied for his first 20 years in parliament, he may* well have become Labour leader and possibly even prime minister. In the end, however, the die was cast in the early 70s when he opted to throw his weight behind the grassroots uprising and against the party establishment. He once explained his disaffection thus: "I was brought up to believe that when you were elected to parliament, you were elected to control the statute book, the purse and the sword. But I have sat in a commons that has abandoned control of the statute book to Brussels, control of the sword to the White House and the purse to the IMF."Chris Mullin on Tony Benn here
*Brits. Do not argue with a Brit about moods and tenses. DO. NOT. DO. THIS.
Published on March 22, 2014 16:28
December 15, 2013
faint but pursuing
Somewhat demoralized. I put in an application for the winter session of Hacker School - this is a program in New York in which participants spend three months coding - and had my second interview yesterday and then heard I had not got in.
I can't say that this comes as a great surprise - the last time I did any serious work coding was back at the end of April, and as so often this was only one of a whole slew of things I was grappling with for my book. Then I went back to Vermont because the book was not finished, and on May 2 my very dear friend up the road turned up on my porch in the middle of the night and the whole long legal saga began. So I have not been building on whatever progress I had made up to the end of April - not just with coding, of course, but also with my book. But it is still rather disheartening. But onwards and upwards.
I can't say that this comes as a great surprise - the last time I did any serious work coding was back at the end of April, and as so often this was only one of a whole slew of things I was grappling with for my book. Then I went back to Vermont because the book was not finished, and on May 2 my very dear friend up the road turned up on my porch in the middle of the night and the whole long legal saga began. So I have not been building on whatever progress I had made up to the end of April - not just with coding, of course, but also with my book. But it is still rather disheartening. But onwards and upwards.
Published on December 15, 2013 03:38
December 10, 2013
Like. Follow.
Long-time readers of PP will know that I went to Vermont in October 2012 with the plan of being offline for two months or so and finishing a book.
Things went badly wrong. The isolation which made the cottage good for writing - it is on a private road in 11 acres of woods with only one house nearby - made it vulnerable. The owner of the house up the road had let a local handyman live rent-free in return for work on the place. X had offered to do some odd jobs for me the previous year, just before publication of Lightning Rods; I knew he had a way of outstaying his welcome, so tried to avoid him on my return.
This didn't work out - he began coming over more and more often, sometimes doing unsolicited favors, sometimes asking for favors or work, sometimes coming just to talk, and within a few weeks was coming over all hours day and night. I explained that I had come to work without interruption but it did no good. Much of the last year has been spent dealing with this escalating pattern of intrusion, in the end blundering for months through the criminal justice system of Vermont. At the end of August X broke into my house in the middle of the night threatening to shoot me - I heard the glass break downstairs and knew at once who it was, and then he came charging upstairs with some kind of weapon with a long narrow barrel.
He explained presently that it was just a BB gun and put it down and spent hours talking and smoking and trying to persuade me not to call the police. My publicist, Tom Roberge, thought the idea of a BB gun as a serious threat was very funny - he and his brother, he said, used to fire BB guns pointblank at each other's bare knees as a joke. It seemed to me that it was a bit different: if someone who is alcoholic, delusional, paranoid, enraged has you trapped in a small enclosed space and wants to do serious damage, he is not going to aim at your knees. X was so profoundly unstable there was no way of knowing what he would do.
X was arrested a few days later and held without bail. I was asked to give a deposition in October. My first VA had retired; the second had the day off; a third turned up as a substitute. A few days later VA2 called to report the plea bargain: the prosecutor thought my deposition had weakened her case, showing "absence of fear," so she had slashed the sentence originally asked for.
X was in jail but it was toxic being in the place where these things had happened (dealing with X was less traumatic than dealing with the legal system of Vermont). A friend found me an apartment in Tarboro, North Carolina; I went down there at the beginning of November. My mother had surgery a few weeks later so I came to DC to see her through it.
There did not seem to be much point in writing about this on PP, and in any case I was not sure of the legal constraints while the case was in progress - though as it turns out, perhaps it would have helped to write. The Victim Advocate Unit seems to see its role as withholding information from victims until it is too late to act on it; perhaps someone out in etherworld would have known what I could and should do. In any case, I have been talking to an editor about writing something about it all, and perhaps something will come of it (so perhaps I should not go into the whole long sorry saga now).
Things went badly wrong. The isolation which made the cottage good for writing - it is on a private road in 11 acres of woods with only one house nearby - made it vulnerable. The owner of the house up the road had let a local handyman live rent-free in return for work on the place. X had offered to do some odd jobs for me the previous year, just before publication of Lightning Rods; I knew he had a way of outstaying his welcome, so tried to avoid him on my return.
This didn't work out - he began coming over more and more often, sometimes doing unsolicited favors, sometimes asking for favors or work, sometimes coming just to talk, and within a few weeks was coming over all hours day and night. I explained that I had come to work without interruption but it did no good. Much of the last year has been spent dealing with this escalating pattern of intrusion, in the end blundering for months through the criminal justice system of Vermont. At the end of August X broke into my house in the middle of the night threatening to shoot me - I heard the glass break downstairs and knew at once who it was, and then he came charging upstairs with some kind of weapon with a long narrow barrel.
He explained presently that it was just a BB gun and put it down and spent hours talking and smoking and trying to persuade me not to call the police. My publicist, Tom Roberge, thought the idea of a BB gun as a serious threat was very funny - he and his brother, he said, used to fire BB guns pointblank at each other's bare knees as a joke. It seemed to me that it was a bit different: if someone who is alcoholic, delusional, paranoid, enraged has you trapped in a small enclosed space and wants to do serious damage, he is not going to aim at your knees. X was so profoundly unstable there was no way of knowing what he would do.
X was arrested a few days later and held without bail. I was asked to give a deposition in October. My first VA had retired; the second had the day off; a third turned up as a substitute. A few days later VA2 called to report the plea bargain: the prosecutor thought my deposition had weakened her case, showing "absence of fear," so she had slashed the sentence originally asked for.
X was in jail but it was toxic being in the place where these things had happened (dealing with X was less traumatic than dealing with the legal system of Vermont). A friend found me an apartment in Tarboro, North Carolina; I went down there at the beginning of November. My mother had surgery a few weeks later so I came to DC to see her through it.
There did not seem to be much point in writing about this on PP, and in any case I was not sure of the legal constraints while the case was in progress - though as it turns out, perhaps it would have helped to write. The Victim Advocate Unit seems to see its role as withholding information from victims until it is too late to act on it; perhaps someone out in etherworld would have known what I could and should do. In any case, I have been talking to an editor about writing something about it all, and perhaps something will come of it (so perhaps I should not go into the whole long sorry saga now).
Published on December 10, 2013 18:29
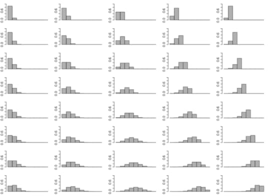
plots of binomial distribution in basic R and ggplot2
Basic R: dbinom, p = 1/8, 1/4, 1/2, 3/4, 7/8, 1 to 8 trials
ggplot2: dbinom, p = 1/8, 1/4, 1/2, 3/4, 7/8, 1 to 8 trials
Basic R: dbinom p = .5, 10 to 100 trials
ggplot2: dbinom p = .5 10 to 100 trials
Published on December 10, 2013 04:41
Helen DeWitt's Blog
- Helen DeWitt's profile
- 624 followers
Helen DeWitt isn't a Goodreads Author
(yet),
but they
do have a blog,
so here are some recent posts imported from
their feed.

