Ripley Entertainment Inc.'s Blog, page 309
November 1, 2018
How To Fold A Piece Of Paper In Half More Than Seven Times
Featured in Ripley's Believe It or Not!
Or Not
In today’s world many misconceptions have been perpetuated—becoming modern day “facts”—when, in reality, myths and hearsay have taken over. Sorry to burst your bubble, but in this weekly column, Ripley’s puts those delusions to the test, turning your world upside down, because you can’t always…Believe It!
Today: How many times can paper be folded in half?
Although doing so is mightily difficult and can take some clever thinking, many people still believe it is impossible to fold a piece of paper in half more than seven times. In truth, it can be and has been done, though you’re not likely to be able to achieve this feat without help.
Why Seven Times?
For many years, school children were told they couldn’t fold any piece of paper (no matter how long or thick) more than seven times. The belief was it would be mathematically impossible to do so. In most instances upon hearing this assertion, kids were baffled, tried it, found it to be true on their one and only attempt, and then never thought about it again. The reason for this is two-fold: most people who tried it all used the same general type of paper, and they weren’t willing to try more than once or think outside the box.
A regular piece of paper is about 300 mm long and .05 mm thick. When you fold it in half, you divide the length in half and double the thickness (150 mm and .1 mm, respectively). As your folding continues, you make the paper shorter but thicker, making it harder and harder to achieve a fold. Still, not everyone was stumped during their school years by this seemingly impossible task.
Britney Gallivan, Paper Folder and Mathematician
Like most kids, Britney Gallivan of Pomona, California was told this myth, but she correctly believed more than seven folds could be achieved with the right combination of factors. In 2002, when she was a junior in high school, Britney and her friends used a unique type of toilet paper to create a piece of paper that was 4,000 ft or 1,200 m in length. From it, they were able get 12 folds!
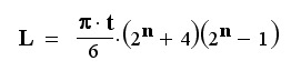
But that wasn’t the end of Britney’s tale. She even created her own equation where t represents the paper’s thickness or width and the answer, L, will provide you with how long the paper will need to be in order to be able to fold it.
One of the ways in which Britney thought outside the box was this: who ever said the paper had to be folded in alternating directions? As such, Britney’s equation is specifically designed for folding paper in the same direction each time. Since then, her story was mentioned on several TV shows, and in 2006, she was the keynote speaker at the convention for the National Council of Teachers of Mathematics. A year later, she graduated from the University of California, Berkley with an environmental science degree.
Try It Yourself!
After Britney’s triumph, others have taken cues from her and also managed to fold a single piece of paper more than 7 times. The current record is 13 folds, held by several students from St. Mark’s School in Massachusetts. They used 54,000 ft of toilet paper to achieve this feat!
Let this be a lesson, then, to all of us: things that seem impossible may instead be achievable with the help of several friends, some tenacity, and a healthy skepticism about long-held beliefs in unproven concepts.
By Julia Tilford, contributor for Ripleys.com
Source: How To Fold A Piece Of Paper In Half More Than Seven Times
CARTOON 11-01-2018
October 31, 2018
England’s Sinister Witch Finder General
Featured in Ripley's Believe It or Not!
Little is known about Matthew Hopkin’s childhood, but his actions in early adulthood are infamous throughout England. Dubbing himself Britain’s Witch Finder General, Hopkins managed to kill more “witches” in England than every other witch hunter over a span of 160 years combined.
Unfortunately, witch hunts were common in Europe for centuries, but the 17th century was especially prolific. Up to this point in time church doctrine had flip-flopped back and forth on witches. As the Thirty Years’ War ravaged Europe, not only were millions of people killed in military conflict, but civil violence, famine, and disease were also on the rise. As the war was mostly fueled by religious conflict between Protestant and Catholic nation-states, religious fervor became a volatile force among civilian populations.
Previously, witches had been seen as people who possessed supernatural abilities but were not necessarily in league with the devil. After facing multiple zealous witch hunts, Britain had actually already put into place that mere possession of supernatural powers was not a crime, but using those powers to do harm or make a deal with Satan were.
As hysteric stories about magical men and women engaging in naked dances, human sacrifice, and cannibalism spread through the popular culture, people were whipped into a frenzy to get rid of witches. Soon everything was blamed on the malicious intent of witches. The local hermit, old women, and anyone who seemed different was soon accused of witchcraft. In the midst of all this unrest and turmoil, Matthew Hopkins found his chance to funnel people’s fears into filling his wallet.
Hopkins began hunting witches, claiming he was from the Witch Finder General’s office in London. Though historians have found no official documentation that his actions were government-sanctioned, many didn’t care. For 20 shillings he and his crew of witch exterminators would come to town and investigate. According to some, he even enjoyed a finders-fee of another 20 shillings for each and every witch he found.
He contested that anyone with supernatural powers could only have gotten them from Satan. Devil-worshipers, he argued, however, would never admit their allegiance. Outright torture was also outlawed, so Hopkins had to get creative with his means of proving someone was a witch. He concocted various tests to prove their malevolence. Witches were thought to have a mark proving their allegiance to evil. A birthmark, third nipple, or even a suspect bruise were often enough. In his search, Hopkins would shave every hair from a person’s body and strip them naked. If the mark wasn’t visible, he was sure it at least wouldn’t bleed. He pricked holes into people’s bodies, and cut at their flesh with dull knives looking for a place that wouldn’t bleed.
Another commonly held point of witch lore at the time was that water would reject them, reasoning that a witch was rejected by water because they had rejected baptism. Hopkins would have women tied up, stuffed into sacks, and thrown into water. He promised that if they sank someone would dive in to rescue them, but this process was dangerous, and could often result in drowning either way. If they floated, they were executed.
Hopkins career was bloody, resulting in the execution of an estimated 300 witches. Though many were caught up in the zealotry of his witch-hunting crusade, some people decried his actions. People sent concerned letters to Parliament and a concerned vicar called for Hopkins to answer accusations of torture. The slowed process of the courts in the midst of the 30 Years’ War, however, didn’t get to the case until the Witch Finder General had retired. Believe it or not, Hopkins was only 25 by the time he completed his witch-hunting crusade, dying of tuberculosis shortly thereafter.
Though Hopkins’ reign of terror was relatively short, his methods were recorded in The Discovery of Witches—a book instructing others how to hunt witches. Though he killed a few hundred witches in Britain, its estimated millions died in Germany. He even influenced the events across the Atlantic in Salem.
The Real Story That Inspired The Beauty And The Beast
Featured in Ripley's Believe It or Not!
Believe it or not, the beast from a tale as old as time was based on a real story. He was indeed covered in hair and regarded by many to be a monster, but just like in the fairy tale, he was eventually able to find love. We covered the beast’s story previously when Alison Teal—known as the female Indiana Jones—retraced the beast’s steps. Now, thanks to an all-new graphic novel series with Zenescope, Ripley’s Believe It or Not! presents the unbelievable story in illustrated detail:
On a stormy night, long since the beast prowled the castle, one remained to tell his story.
Living in an area of desolate volcanic rock in the Canary islands, no one is sure where the small boy everyone referred to as “the beast” came from, but he had a name: Petrus Gonsalvus. He lived alone as a hermit in a cave carved through the rock by lava. Though the village nearby ostracised him, he was content to be let alone.
Captured as a curiosity for a far-off king. Petrus’ was bound in a cage, treated like the beast the sailors saw instead of the boy he was.
Unsure of what to make of the small and feral looking boy, Henri II decided to try and educate what was a “demi-human” in his court’s eyes. Petrus was taken out of the barren room he had been locked in. Real meals replaced the raw meat and animal feed, and tutors were brought in to teach the “beast.”
The furry boy soon became versed in not just the basics of literature, but in the etiquette of nobility. He quickly became a court asset, attracting ambassadors and foreign dignitaries into his company. He took to wearing lavish robes with high collars to compliment his furry face. No more did he dine on the butcher’s trimmings, but instead the fine dining his royal stewards had to offer. Henry II was so impressed that he insisted Petrus be married.
It was this 16th-century story that is thought to have inspired the 17th-century fairy tale of Beauty and the Beast.
At 17 years old, he was married to the girl named Catherine. Though she had been upset with her arranged suitor at first, she was slowly won over by the charms of the furry nobleman.
She eventually bore seven children. Two would exhibit the same hairy visages as their father and become token members of other courts.

Just as Petrus Gonzalvus’ story—the story of the beauty and the beast—is real, so too are the stories of Ripley’s Believe It or Not!’s comic book series. Just as Robert Ripley brought the most unbelievable stories to life in his cartoon 100 years ago, Ripley’s is bringing stories to life today! Find them at your local comic book store, or get them online!
Source: The Real Story That Inspired The Beauty And The Beast
CARTOON 10-31-2018
October 30, 2018
One Cruel And Sinister Way To Catch A Witch
Featured in Ripley's Believe It or Not!
One of the most curious instruments of torture ever developed, this spiked collar polearm was used to catch criminals by pushing the front of the hoop around the neck of the accused. Many were even equipped with spring-loaded hooks to keep suspects from slipping out of them. If they struggled, even the slightest bit, the razor-sharp spikes could even pierce their throats causing great pain or even death!
When investigating suspected heretics, witch catchers were often made with extra-long handles to catch suspected sorcerers and sorceresses. This prevented the witch from touching their captors as it was feared that the mere touch from a witch could bring about a painful and sudden death.
Not just used for witches, this peculiar polearm also saw use as a non-lethal means of capturing prisoners. Riders could easily be rested from horseback, armored opponents could be safely handled, and prisoners could be moved without touching them directly.
Less lethal versions of the man catcher still see use today. Usually void of locking pins and spikes, they’re used by police forces in Japan and Thailand to hold people at bay. In Japan, man catchers have been carefully redesigned so they don’t hurt the people being restrained, sometimes incorporating flexible plastic.

A modern man catcher./CC Chris73
Melting Ice In The Himalayas Exposes Skeleton-Filled Lake
Featured in Ripley's Believe It or Not!
Deep in the snow-covered mountains of the Himalayas, the skeletal remains of hundreds of people populate a small lake in Roopkund, India, several miles from civilization. It took scientists decades to figure out how they died and why their bodies were deposited there so many years ago. Their findings were not what they expected.
During World War II, a Nanda Devi game reserve ranger named Hari Kishan Madhwal entered a small valley and came upon the glacial lake, which is more than 16,000 feet above sea level (about half as high as Mount Everest). The ranger was startled to find several skeletons at the bottom of the lake. He was able to see them because the lake is very shallow at around two-meters deep.

CC Ashok Yadav
The high-altitude body of water is covered by ice 11 months out of the year. When the ice melts, additional remains surface in the water and on the shoreline, totaling around 200 skeletons.
Initially, the British believed the remains were of invading Japanese soldiers who died of exposure. Others thought the skeletons belonged to General Zorawar Singh of Kashmir and his soldiers, who disappeared in the Himalayas following the battle of Tibet in 1841.
The British government examined the skeletons and determined they were much too old to be Japanese soldiers even though some of the flesh, hair, nails, and bones were well preserved by the dry, cold Himalayan air. Upon further inspection, scientists found several artifacts near the bodies, including spearheads, leather slippers, and rings, disproving the theory that the skeletons were the remains of soldiers from the second world war.
Over the years, the fate of the dead became less of a priority. Experts failed to pinpoint exactly where the bodies came from and what caused their deaths. They speculated that an avalanche, disease, starvation, ritual suicide, or even an enemy attack may have been the reason why so many people died in one place. One theory suggested the people were killed elsewhere, and their skeletons were displaced due to glacial shifts.
In 2004, a team of researchers from National Geographic, Oxford University’s Radiocarbon Accelerator Unit, and the Centre for Cellular and Molecular Biology in Hyderabad, India, were able to date the bodies to around 850 AD, a period of time when the country boasted the largest economy on earth.
Scientists determined that the skeletons belonged to two separate groups of people in the 9th century. One was a clan or family consisting of related individuals, while the other was a smaller and shorter stature group of people. It was later determined that 70 percent of the group came from Iran, while the smaller, local group was likely hired to guide the first party and carry their belongings on a pilgrimage through the area.

CC Ashok Adav
Experts determined that every single person was struck by a fatal blow to the head, which left tiny, deep cracks in their skulls. There were also strikes on their necks and shoulders. The manner of the injuries suggested that something round caused their deaths. Since other parts of the bodies were unharmed, investigators concluded that the blows came from above.
Local legend has it that the king of Kanauj and his pregnant wife were traveling with an entourage to Nanda Devi shrine for a special ceremony when they got caught in a terrible hailstorm. They had nowhere to seek shelter, and they died near Roopkund. A traditional folk song describes a similar scenario in which a goddess became so angry at outsiders who entered her inner sanctum that she exacted revenge by casting large hailstones upon them.
While it’s unclear if the folklore was based on actual events, scientists now believe that a freak hailstorm with stones approximately nine-inches in circumference (similar in size to a cricket ball) were responsible for the deaths at Skeleton Lake more than 1,200 years ago. With nowhere to take cover, the people perished from blunt trauma.
It isn’t the only time hailstorms have wreaked havoc on humans. On April 30, 1888, as many as 246 people were killed with hailstones the size of “goose eggs and oranges” in Moradabad, India. In 1932, there were reports of 200 people dying, and thousands more being injured, by a hailstorm in Nanking, China.
Meanwhile, Skeleton Lake has turned Roopkund into a tourist destination, attracting hundreds of visitors, trekkers, and pilgrims each year who make the steep five-day climb to reach the body of water. There have been some efforts to conserve the area and turn it into an eco-tourism destination that protects the skeletons from souvenir-seeking travelers who sometimes steal bones as mementos.
By Noelle Talmon, contributor for Ripleys.com
Source: Melting Ice In The Himalayas Exposes Skeleton-Filled Lake
CARTOON 10-30-2018
October 29, 2018
Living With The Dead In The Manila North Cemetery
Featured in Ripley's Believe It or Not!
How’s this for a real-life tale from the crypt: El Cementerio del Norte, the Manila North Cemetery in the Philippines, is a verifiable city of the dead—but the inhabitants aren’t just the dearly departed!
Located in the City of Manila, capital of the Philippines, this modern necropolis holds a community of an estimated ten-to-fifty thousand Filipinos that live alongside the over one million dead within the country’s largest cemetery. The impoverished people who claim residence in this mortuary live in tombs and sleep on final resting places—talk about a charnel house!
A predominantly Catholic country with like funerary rites (mixed with a variety of local traditions), Manila North Cemetery is unconventional when compared to other graveyards found in the Philippines. A growing trend in Metro Manila, these integrated graveside communities are crafted by necessity out of rampant overpopulation, homelessness, and the high poverty levels in the surrounding slums of the world’s most densely populated city.

The cemetery as it looked in 1928.
At first glance, the scene appears to be a nightmarish landscape of the dead, thrown asunder by an earthquake into perilously jagged peaks and silent stone valleys. Built in 1904 and one of the oldest cemeteries in the country, the economy of this marble village is built around the colorful, cascading sea of pink, yellow, orange, and turquoise tombstones and monuments that go as far as the eye can see. Despite being big enough that it has its own navigable roads, space is so crammed in Manila North that many of the tombs are stacked upon one another.

The cemetery’s grounds today./Copyright Google Maps
Of the interred include Filipino revolutionaries and patriots, presidents and congressmen, composers and writers, and even famous actors and athletes. The living tenants are often paid by the families of the deceased to tend to the graves and mausoleums as caretakers, while others are tasked with acting as tour guides or presiding over prayer. Worship over the dead is an important task within Philippine culture, where service is conducted in order to assist and guide the departed in their journey to the afterlife.
October 31st through November 2nd is Manila North’s busiest time of the year, as it receives over one million visitors for Halloween, All Saints Day, and All Souls Day. One of the biggest holiday seasons of the year in the Philippines, special care is taken during these days to spend time with the dead. It is not uncommon to spend the night eating, praying, playing games, cleaning the tombs, and adorning them with candles, flowers, and other gifts.

Rainier Ampongan/Shutterstock
Speaking with Ian S., a Filipino-American with familial ties to the area, he tells Ripley’s that in the Philippines there is less of a stigma surrounding death than is typical in the United States: “My mom’s village has a cemetery garden where people go jogging and have picnics.”
Some of the indigenous peoples of the Philippines have customs involving the burial of the dead under their own homes, which create a cultural precedent for living with those who have passed.
Aside from the society that sprouted up around these sepulchers, another unusual aspect of Manila North is that burial plots are not bought, but rented in five-year leases. In a city with a population of nearly thirteen million people resulting in upward of eighty-to-one hundred funerals per day at Manila North alone, space is at a premium. If backrent begins to pile up, the hapless borders are summarily evicted. Exhumed, the cadavers and corpses are removed from their caskets and coffins by hand. Professional exhumers will store the bones in mass graves or incinerate them. Sometimes, discarded skeletal remains of removed tenants are left in piles that line the cemetery’s haunting aisles.

Robert Ripley learned about these rental graves when he visited Manila while touring southeast Asia.
Dwelling among the deceased doesn’t appear to trouble the citizens of Manila North. Not even the prospect of ghosts, phantoms, and specters seems to bother the children, who swim among the burial chambers and even play with the bones!
The residents say that the area is safer than the slums of the city, not to mention much quieter… that is save for the occasional belting out of the “voices of the dead,” according to one local. Another regular often spends his days at the ossuary even though he has a home in a neighboring borough. He says that he actually prefers it at the cemetery because it is safer!
Just because these people dwell on funerary grounds does not mean Manila North is bereft of life. Some vaults have been rigged with electricity and even claim television sets. While few have running water, the graveyard does host games of billiards and basketball, a fully-stocked convenience store, restaurant, taxi service, schoolhouse, an internet cafe, and even karaoke nights!
By Kris Levin, contributor for Ripleys.com
Kris Levin is a professional wrestling referee and everybody’s favorite nephew. He can be seen internationally on IMPACT Wrestling as their most junior official, #KidRef, and on social media at @RefKrisLevin.
CARTOON 10-29-2018
Ripley Entertainment Inc.'s Blog
- Ripley Entertainment Inc.'s profile
- 52 followers
