Chad Orzel's Blog, page 18
November 23, 2015
083/366: Bat-Toys!
The Pip is nute about superheros at the moment, primarily the Justice League, and particularly Batman. He’s got quite the pile of toys around this theme, making for a decent photo subject:
The Pip’s collection of superhero toys.
Technically, these aren’t all Bat-Toys– you can see a Spiderman Lego set in there (from some alternate universe in which Peter Parker got Tony Stark to buy him a Spider-Copter) and also a few Transformers. But Batman holds down a pretty solid plurality in the toy population.
The Bat-Boat that’s front and center in this shot (which ended up in the bathtub shortly after this was taken) is the most recent purchase, last week when he was home sick, and he was just over the moon about getting that. It’s good to be an easily amused Little Dude.
Also, I introduced him to this:
Because I’ve been singing it at him for years, and getting baffled stares in response. Now, he knows this is a real song, and will periodically demand to watch it. Also the 60’s-vintage Spiderman theme song. (That one, I don’t have particularly strong associations with, but the Adam West Batman series was a staple of WPIX when I was a kid visiting my grandmother on Long Island. POW! BIFF! BAM!)
November 22, 2015
082/366: Stickers!
I try not to have this be the cute-kid-photo-of-the-day, but really, how could I not use this shot:
SteelyKid and The Pip discussing the finer points of Lego superhero stickers.
The Pip was not a huge fan of the antibiotics that came with his strep-throat diagnosis, so we bought a sticker book as a bribe reward for taking his medicine. Yesterday afternoon, in one of the brief quiet periods of a busy day, SteelyKid sat down with him and they had an intense conversation about the identities and powers of the various heroes and villains represented in the sticker pages.
Which is too cute not to share, so there you go.
November 21, 2015
081/366: Pre-Dawn
For a brief, glorious moment the time change meant that I didn’t need a flashlight for my weekday morning walks with Emmy. Sadly, the inexorable motion of the Earth in its orbit means that we are once again into the zone where the sun isn’t above the horizon when we take our morning stroll:
Niskayuna High School a bit before sunup.
That’s the high school a few blocks from here. It’s not on our usual route, but I detoured over there in hopes of getting a decent sunrise photo, as that’s the clearest view we have of the eastern horizon, and there was about the right amount of cloud cover for things to look cool. Alas, the timing didn’t work out to see pretty colors. But it at least gives you an idea of what we’re dealing with on a typical morning these days.
November 19, 2015
080/366: ISO Revisited
A little while back, I did a comparison of the different ISO settings on my camera, and a bunch of people commented that it would be interesting to try to match two photos at different levels. So, here’s that:
Trying to match two photos at the extremes of the ISO settings on my camera.
These aren’t quite perfectly matched, because the time settings give me a limited range of options, but it’s pretty close. The higher ISO setting ought to be 128 times more light-sensitive than then lower, and it’s 1/125th of the exposure time.
And… those look pretty similar. I’m honestly not sure how one would quantify this, so I won’t try to; there’s a bit more noise evident at the high ISO level, particularly on the edge of the table, but that might also be the slightly higher exposure.
Anyway, the conclusion is basically the same as in the previous post: modern DSLR cameras are pretty darn cool.
November 18, 2015
079/366: Leaf Leap
the Pip officially has strep throat, and thus had to stay home today, but the antibiotics he started yesterday (over his very strenuous objections) have worked wonders, so his energy level was pretty much back to normal. Which means that we spent a while out in the back yard raking up a big pile of leaves, whereupon:
The Pip mid-leap into the leaf pile in the back yard of Chateau Steelypips.
This is a small fraction of the leaf pile we used to be able to get, before we had the big maples that used to be on the south side of the yard taken out. It’s not even everything we can get now, as you can see in the background. I did rake up some more later, but this is the best action shot and thus the photo of the day.
078/366: Quantum Calculations
As threatened yesterday, another staged shot for a “quantum is difficult” image for an upcoming talk.
Some notes and caffeine.
This is a piece of a homework solution that was on a pad I had lying around– those are infinite square well wavefunctions. It’s about as trivial as you can get from quantum, but looks math-y enough to make the point I want to make.
The Pip is home sick again today, so that’s about it for me.
November 17, 2015
Rotational Motion of a Bouncing Football
I followed up my ranty-y post about “Sports Science” with an experimental investigation over at Forbes, tossing a football around on the deck out back and then doing video analysis of the bounces. This provided a wealth of data, much of it not really appropriate for over there, but good for a physics post or two here.
One of the trajectories I looked at was this “forward bounce”:
Here’s the trajectory reconstructed in Tracker:
Trajectory of a football bouncing forward.
This is notable because not only does it bounce forward, it includes one of those big pop-up bounces that take people off guard. I talked about this over at Forbes, too, but it’s nice to have a clear example.
In that post, I asserted that the big bounce is a result of converting some rotational kinetic energy of the tumbling ball to center-of-mass kinetic energy. Which, of course, made me wonder whether you can clearly measure that in the video. You can, as it turns out, which is why I’m writing this post.
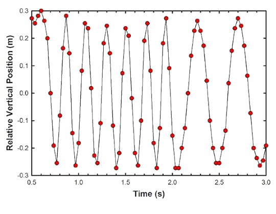
What I did to make the above trajectory was to go through the video in Tracker and mark the center of the ball (the garish green laces on the black ball are well suited to this). To look at rotation, I put the same clip into Tracker, but instead of marking the center of mass, I made two trajectories, one for each end of the ball. That let me do a “relative position” of one end compared to the other, just by taking the difference between the measured positions. Actually, I get both a relative x and relative y coordinate, but this only needs one of the two; I used the vertical, because it’s a little cleaner:
The difference between vertical coordinates for the two ends of the football, as a function of time.
This goes from positive to negative as the ball rotates, and you can clearly see the change in the tumbling at a time of just under 2s, when the big bounce occurs. The rotation period goes from roughly 0.21s to roughly 0.43s, corresponding to a rather substantial reduction in the rotational energy. About three-quarters of the energy that was in the spin of the ball gets turned into center-of-mass kinetic energy (and lost to thermal energy), which is why you get a big increase in the bounce height.
You could probably do some more quantitative analysis of this, either using the mass and known shape of the football to estimate its moment of inertia and check the energy change, or using the change in the maximum height to estimate the change in potential energy and then work backwards to an estimate of the moment of inertia. These are both complicated by the energy loss on the bounce, and I’m home with a sick Pip today, so I’m not going to bother. Consider those extra-credit homework, if you like, and send your answers to Rhett Allain for grading.
——
The science blog reader survey I’ve been plugging at the end of my physics posts is coming to an end soon– this Friday, in fact. It’s part of Paige Jarreau’s postdoctoral research on online communications, so please take a few minutes and respond– it’s for SCIENCE!
077/366: Quantum Books
Another talk-prep photo, because I wanted a shot to suggest the academic side of quantum physics. Of course, my actual textbooks are all in my office on campus, but then, they mostly have boring covers and titles, so they’re not a great visual. So I stacked up some pop-physics books:
A selection of quantum physics books.
I meant to write out a couple of pages of equations, too, but I had to break off to cook dinner, and then I fell asleep at 9pm, so that never happened. Maybe today.
Anyway, I liked all these books, so, you know, check them out. Or read this post about good pop-quantum books, which has more detail.
November 15, 2015
076/366: Air Traffic
It was a cool clear morning when I took Emmy out for our morning walk, with a band of high clouds running eat-west across the sky to our north. After watching a bit, I realized that these were probably entirely seeded by jet contrails, as I saw at least four planes flying along that band during the walk.
This shot catches one of them (the big band crosses the frame diagonally at lower right), plus a second running parallel to it but a bit farther south, and a third crossing them:
Contrails crossing in the northern sky.
I’m guessing this must be a route from Boston to points west, possibly even a corridor for European flights to Chicago and Detroit. Whatever it is, there’s a ton of air traffic up there.
Back in 2002, after the September 11 attacks shut down all air travel for the better part of a week, I remember reading stories about how there was a substantial increase in the amount of sunlight reaching the ground thanks to the loss of airplane-created clouds. That always seemed kind of surprising, but watching all those planes this morning makes it a lot more clearly plausible.
075/366: Monochrome
Another day when I only took a couple of pictures, on the morning dog walk. I noticed that one of the now leafless trees on the route looked interestingly creepy, so I took a couple shots of that. I didn’t notice that the mode selector on the camera had gotten bumped to full manual, though, which meant the sky behind the tree got all blown out. Switching to greyscale sorta-kinda redeems this, though:
Bare tree branches are interestingly creepy.
(It was dismal and cloudy, so this isn’t even an inaccurate representation of what I saw…)
So, um, let’s pretend I did this deliberately, for effect. Yeah, that’s the ticket.
Chad Orzel's Blog
- Chad Orzel's profile
- 89 followers

