Marc Abrahams's Blog, page 389
July 28, 2014
Body Composition of Spanish Soccer Referees, Analyzed
The scholarly journal Measurement and Control published a study about a certain class of persons who measure and control the activities of a certain other class of persons:
“Body Composition in Spanish Soccer Referees.” J.A. Casajus, A. Matute-Llorente, H. Herrero, and A. González-Agüero, Measurement and Control, vol. 47, no. 6 (2014): 178-184. (Thanks to investigator John Pullin for bringing this to our attention.) The authors, at the University of Zaragoza and the Royal Spanish Football Federation, report:
[We examined the] body fat of elite Spanish soccer referees and assistant referees by division, role and age group. Participants were 243 males (age 32.4 ± 5.3 years, weight 72.3 ± 6.2 kg, height 179.1 ± 5.9 cm and body mass index 22.5 ± 1.4) who belonged to the Referees Technical Committee of the Royal Spanish Soccer Federation…. they were divided into three age groups as previously described by Castagna: young (Y, 27â32 years, n = 144), average (A, 33â38 years, n = 66) and senior (S, 39â45 years, n = 33)…. These results showed that first- and second-B-division referees presented more healthy values of ¿ than first- and second-division assistants. By age group, Y group had the lowest ¿.
BONUS: Playing (not bodily) statistics of the player who in his day, when playing seven years for the Real Zaragoza team. was known as Casajús (real full name: José Antonio Casajús Mallén).

July 27, 2014
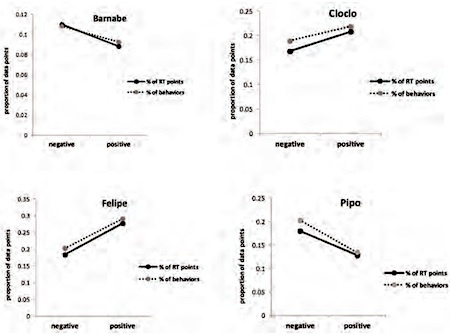
Six baboons overtrained to a computer task, and their moods
“Six baboons (Papio papio) living in a social group had free access to a computerized visual search task on which they were over-trained.”
There must, you say to yourself, be a story behind that. The most direct way to find out whether or not there is such a story, and if there is, what it is, is to read the study in which that sentence appears. The study is:
“Baboons’ Response Speed Is Biased by Their Moods,” Yousri Marzouki, Julie Gullstrand, Annabelle Goujon, Joël Fagot, PLoS ONE 9(7), July 25, 2014: e102562. The authors are at the Centre National de la Recherche Scientifique, Marseille, France.
Here’s graphical info, from the study, about personal info pertaining to four of the six baboons. Info about the other two, and info about this info, is in the study.
(Thanks to Eloise Cooper for bringing this to our attention.)

He and they approached hallucinations mathematically
In 2001, Paul Bressloff of the University of Utah, together with four colleagues from elsewhere, made a mathematical assault on the — until then — lack of understanding of what happens in a so-called “geometric hallucination”. Here’s Bresloff:
Here’s the study:
“Geometric visual hallucinations, Euclidean symmetry and the functional architecture of striate cortex,” P. C. Bressloff, J. D. Cowan, M. Golubitsky, P. J. Thomas and M. Wiener, Phil. Trans. Roy. Soc. B, 40 :299-330 (2001). [Artistic recreations of the hallucinations are reproduced here, right.] The paper begins by saying:
“This paper is concerned with a striking visual experience: that of seeing geometric visual hallucinations…. This paper describes a mathematical investigation of their origin based on the assumption that the patterns of connection between retina and striate cortex (henceforth referred to as V1) — the retinocortical mapöand of neuronal circuits in V1, both local and lateral, determine their geometry.”
Such hallucinations had been classified, much earlier, by psychologist Heinrich Klüver. The paper cites Klüver’s 1966 book Mescal and Mechanisms of Hallucinations (which was a reprint of things that Klüver had published decades earlier):
Halucinatory images were classified by Kluver into four groups caled form constants comprising (i) gratings, lattices, fretworks, ¢ligrees, honeycombs and chequer-boards, (ii) cobwebs, (iii) tunnels, funnels, alleys, cones and vessels, and (iv) spirals.
(Thanks to investigator J. Muegge for bringing this to our attention.)
BONUS: A 1967 review of Klüver’s 1966 book Mescal and Mechanisms of Hallucinations.

July 26, 2014
âAn astonishing 400 tons of dumplings a dayâ
Nicola Twilley explores many aspects of the history of food refrigeration in China. Twilley’s report “What Do Chinese Dumplings Have to Do With Global Warming?” in the New York Times, ends with a visit to someone who is not thrilled at the culinary prospects of widespread, organized food refrigeration:
Still, not all Chinese people are ready to embrace the refrigeration revolution. Dai Jianjun is the 45-year-old chain-smoking chef of Longjin Caotan, a restaurant on the outskirts of Hangzhou, the scenic capital of Zhejiang province, which serves an entirely locally sourced, anti-industrial cuisine. When I asked him how he liked frozen dumplings, he took off his corduroy cap, rubbed his shaved head with both hands and finally, in a calm voice that carried a distinct undercurrent of anger, said, âIf I may speak without reserve, theyâre not food.
Twilley assembled ten related, brief documentary videos, on her Edible Geography web site, under the general heading “Ten Landmarks of the Chinese Cryosphere“. Here’s one of those videos, from a factory that makes approx 100,000 dumplings an hour. The video is called “Quick-frozen glutinous rice balls being bagged at the Sanquan factory:
âThe first machines could only produce one ball at a time,â factory owner Chen Zemin told Twilley, âwhereas today, our machines make it look like itâs raining balls.â
Chen’s company has seven factories, the largest of which, writes Twilley, “employs 5,000 workers and produces an astonishing 400 tons of dumplings a day.”
BONUS [unrelated]: “Dumpling fog in China”
BONUS: [unrelated]: The Taiwanese machine that wraps up a robber like a dumpling

“An astonishing 400 tons of dumplings a day”
Nicola Twilley explores many aspects of the history of food refrigeration in China. Twilley’s report “What Do Chinese Dumplings Have to Do With Global Warming?” in the New York Times, ends with a visit to someone who is not thrilled at the culinary prospects of widespread, organized food refrigeration:
Still, not all Chinese people are ready to embrace the refrigeration revolution. Dai Jianjun is the 45-year-old chain-smoking chef of Longjin Caotan, a restaurant on the outskirts of Hangzhou, the scenic capital of Zhejiang province, which serves an entirely locally sourced, anti-industrial cuisine. When I asked him how he liked frozen dumplings, he took off his corduroy cap, rubbed his shaved head with both hands and finally, in a calm voice that carried a distinct undercurrent of anger, said, “If I may speak without reserve, they’re not food.
Twilley assembled ten related, brief documentary videos, on her Edible Geography web site, under the general heading “Ten Landmarks of the Chinese Cryosphere“. Here’s one of those videos, from a factory that makes approx 100,000 dumplings an hour. The video is called “Quick-frozen glutinous rice balls being bagged at the Sanquan factory:
“The first machines could only produce one ball at a time,” factory owner Chen Zemin told Twilley, “whereas today, our machines make it look like it’s raining balls.”
Chen’s company has seven factories, the largest of which, writes Twilley, “employs 5,000 workers and produces an astonishing 400 tons of dumplings a day.”
BONUS [unrelated]: “Dumpling fog in China”
BONUS: [unrelated]: The Taiwanese machine that wraps up a robber like a dumpling

A broad look at clownfish radiation
The clamoring for information about clownfish radiation may never be fully satisfied. This report, though, attempts to supply some of what’s desired:
“The radiation of the clownfishes has two geographical replicates,” Glenn Litsios, Peter B. Pearman, Déborah Lanterbecq, Nathalie Tolou and Nicolas Salamin, Journal of Biogeography, epub July 7, 2014. (Thanks to investigator Tom Gill for bringing this to our attention.) The authors, at the University of Lausanne, the Swiss Institute of Bioinformatics, the University of the Basque Country, the Basque Foundation for Science, the Université de Mons, and l’Université de Perpignan, report:
“we investigated the biogeographical history of the clownfishes, a clade of coral reef fish with ranges that now span most of the Indo-Pacific Ocean, in order to explore the geographical structure of an unusual adaptive radiation…. We generated DNA sequence data comprising seven nuclear markers for 27 of the 30 clownfish species. We then inferred a Bayesian phylogeny and reconstructed the biogeographical history of the group using three different methods. Finally, we applied a biogeographical model of diversification to assess whether diversification patterns differ between the Indian and Pacific Oceans…. While most species arose in the IAA, one clade colonized the eastern shores of Africa and diversified there. We found that the diversification rate of clownfishes does not differ between the main radiation and the African clade.”
Here’s further detail from the study:

July 25, 2014
Computational gastronomy â part 3 â âCooking with Dirty Dataâ
The Varshney twins â Dr. Kush Varshney (currently at IBM) and Professor Lav Varshney (previously at IBM) – have authored a series of papers on the theme of computational gastronomy, two of which â on Food Steganography, and on Active Odor Cancellation â we looked at recently.
Example 3 : ‘Flavor Pairing in Medieval European Cuisine: A Study in Cooking with Dirty Data‘ in: International Joint Conference on Artificial Intelligence Workshops, Beijing, China, August 2013. (The paper is co-authored with Jun Wang, also at IBM, and Daniel Myers at Medieval Cookery.) It not only examines the computational gastronomic implications of furmente with purpeys and zedoary, but also eles in brasill and chekin.
âIn order to cook with computers, specifically by having the computer use the flavor compound pairing hypothesis to create new sets of ingredients in recipes, we must understand the effect of data dirtiness. Towards that end, in this paper we obtain two independent data sets of flavor compound data having different levels of completeness and accuracy, and compile a completely new corpus of recipes from the Late Middle Ages that has not been analyzed before.â
This concludes our short profile on the Varshney twins’ contribution to the field of computational gastronomics.
BONUS : Co-author Daniel Myers maintains an extensive online list of medieval recipes from across Europe.

Computational gastronomy – part 3 – ‘Cooking with Dirty Data’
The Varshney twins – Dr. Kush Varshney (currently at IBM) and Professor Lav Varshney (previously at IBM) – have authored a series of papers on the theme of computational gastronomy, two of which — on Food Steganography, and on Active Odor Cancellation — we looked at recently.
Example 3 : ‘Flavor Pairing in Medieval European Cuisine: A Study in Cooking with Dirty Data‘ in: International Joint Conference on Artificial Intelligence Workshops, Beijing, China, August 2013. (The paper is co-authored with Jun Wang, also at IBM, and Daniel Myers at Medieval Cookery.) It not only examines the computational gastronomic implications of furmente with purpeys and zedoary, but also eles in brasill and chekin.
“In order to cook with computers, specifically by having the computer use the flavor compound pairing hypothesis to create new sets of ingredients in recipes, we must understand the effect of data dirtiness. Towards that end, in this paper we obtain two independent data sets of flavor compound data having different levels of completeness and accuracy, and compile a completely new corpus of recipes from the Late Middle Ages that has not been analyzed before.”
This concludes our short profile on the Varshney twins’ contribution to the field of computational gastronomics.
BONUS : Co-author Daniel Myers maintains an extensive online list of medieval recipes from across Europe.

July 24, 2014
Disruptive technology: Twitter and marital breakups, maybe
If you enjoy fun, conceivably-partly-true tales about disruptive technologies (as some people do — see, for example, Harvard Business School Professor Clay Christensen‘s tidy tales of disruption), then pay heed to the scholarly studies from Russell B. Clayton. Clayton, at the University of Missouri-Columbia, has a new study about Twitter and marital breakups: “The Third Wheel: The Impact of Twitter Use on Relationship Infidelity and Divorce,” Russell B. Clayton, Cyberpsychology, Behavior, and Social Networking, vol. 17, no. 7, July 2014, pp. 425-430….
—so begins another Improbable Innovation nugget, which appears in its entirety on BetaBoston.

Oh: Brief Walks, and Chocolate Eaters
What of walks and chocolate eaters? Oh, maybe this:
“Brisk walking reduces ad libitum snacking in regular chocolate eaters during a workplace simulation,” Hwajung Oh [pictured here], Adrian H. Taylor, Appetite, Volume 58, Issue 1, February 2012, Pages 387-392. The authors, at the University of Exeter, UK, report their discovery:
“A brief walk may help to reduce ad libitum snacking in regular chocolate eaters.”

Marc Abrahams's Blog
- Marc Abrahams's profile
- 14 followers
