Greg Ross's Blog, page 19
July 15, 2025
Winifred’s Bloomers
English novelist Winifred Ashton had a disastrous gift for inadvertent double entendre. From Cole Lesley’s biography of Noël Coward:
The first I can remember was when poor Gladys was made by Noël to explain to Winifred that she simply could not say in her latest novel, ‘He stretched out and grasped the other’s gnarled, stumpy tool.’ The Bloomers poured innocently from her like an ever-rolling stream: ‘Olwen’s got crabs!’ she cried as you arrived for dinner, or ‘We’re having roast cock tonight!’ At the Old Vic, in the crowded foyer, she argued in ringing tones, ‘But Joyce, it’s well known that Shakespeare sucked Bacon dry.’ It was Joyce too who anxiously inquired after some goldfish last seen in a pool in the blazing sun and was reassured, ‘Oh, they’re all right now! They’ve got a vast erection covered with everlasting pea!’ ‘Oh the pleasure of waking up to see a row of tits outside your window,’ she said to Binkie during a weekend at Knott’s Fosse. Schoolgirl slang sometimes came into it, for she was in fact the original from whom Noël created Madame Arcati: ‘Do you remember the night we all had Dick on toast?’ she inquired in front of the Governor of Jamaica and Lady Foot. Then there was her ghost story : ‘Night after night for weeks she tried to make him come …’
“Why could she not have used the word ‘materialise’?” wrote Lesley, who was Coward’s secretary. “But then if she had we should never have had the fun.” See Shocking!
Portent
One other oddity concerning π: If you add up the first three sextads in the decimal expansion, you get 1588419:
141592 + 653589 + 793238 = 1588419
That’s a little prophecy: If you now skip ahead 15 places you arrive at the string 88419:
3.1415926535897932384626433832795028841971693 …
July 14, 2025
Unquote
“We have got to learn to think scientifically, not only about inanimate things, but about ourselves and one another. It is possible to do this.” — J.B.S. Haldane
“Nothing has such power to broaden the mind as the ability to investigate systematically and truly all that comes under thy observation in life.” — Marcus Aurelius
The Graceful Pi-Way
This graph has 5 edges, and we’ve managed to label its vertices in a remarkable way: Each vertex bears some integer from 0 to 5, no two receive the same integer, and each edge is now uniquely identified by the absolute difference between its endpoints, such that this magnitude lies between 1 and 5 inclusive. Such a labeling is called graceful.
In 2008 Donald E. Knuth made a graph representing the contiguous 48 states and the District of Columbia in which each pair of states are connected if they’re joined by at least one drivable road. It turns out that this graph can be labeled gracefully.
And, amazingly, in 2020 T. Rokicki discovered that if you undertake an imaginary journey on Knuth’s map, starting in California and going up the Pacific coast and then along the Canadian border, you’ll visit successive vertices labeled 31, 41, 59, 26, 53, 58, 97, 93, 23, 84, 62, 64, 33, 83, and 27. These are the first 30 decimal digits of π!
Knuth called this a “graceful miracle.”
July 13, 2025
“A Wooden Alphabet”
‘The letters in this curious alphabet are all wood, chiefly twisted roots of the blue gum, and have not been altered in any way from their original growth; three girls collected them in their daily walks or rides for a period of six months, and the specimens were found in various places; frequently one was carried home on horseback for many miles. All are about two feet high. The “B” was the last found, and when the young ladies had almost despaired of ever getting one it was found in a heap of driftwood caught against a tree in the river.’ — Miss Cave, Vergemont, Clontreagh, Co. Dublin
— Strand, December 1902
July 12, 2025
In a Word
ergophobia
n. an aversion to work
isolato
n. a person who is physically or spiritually isolated from their times or society
hebetate
v. to make dull or obtuse
suspiration
n. a long, deep sigh
Drawn from the last line of a 1951 poem by Pierre Béarn, the French phrase métro, boulot, dodo describes the monotony of workday life: Métro refers to a subway commute, boulot is an informal word for work, and dodo is baby talk for sleep.
Anna Kaloustian wrote in the Yale Herald, “No English expression manages to quite grasp its prosaic implication, its banality.”
Bus Bunching
Image: Wikimedia CommonsWhen two or more buses are scheduled at regular intervals on the same route, planners may expect that each will make the same progress, pausing at each stop for the same interval (1). But if Bus B is delayed by traffic congestion (2), it incurs a penalty: Because it arrives late to the next stop, it will pick up some passengers who’d planned to take Bus C (3). Accommodating these passengers delays Bus B even longer, putting it even further behind schedule. Meanwhile, Bus C begins to make unusually good progress (4), as it now arrives at each stop to find a smaller crowd than expected.
As the workload piles up on the foremost bus and the one behind it catches up, eventually the result (5) is that the two buses run in a platoon, arriving together at each stop. Sometimes Bus C even overtakes Bus B.
What to do? Planners can set minimum and maximum amounts of time to be spent at each stop, and buses might even be told to skip certain stops during crowded runs. Passengers might be encouraged to wait for a following bus, with the inducement that it’s less crowded. Northern Arizona University improved its service by abandoning the idea of a schedule altogether and delaying buses at certain stops in order to maintain even spacing. One thing that doesn’t work: adding vehicles to the route — which might, at first blush, have seemed the obvious solution.
July 11, 2025
“Printer’s Errors”
(Via Robert A. Carman, “Mathematical Misteaks,” Mathematics Teacher 64:2 [February 1971], 109-115.)
July 10, 2025
Great and Small
One could not think of Aristotle or Beethoven multiplying 3,472,701 by 99,999 without making a mistake, nor could one think of him remembering the range of this or that railway share for two years, or the number of ten-penny nails in a hundred weight, or the freight on lard from Galveston to Rotterdam. And by the same token one could not imagine him expert at billiards, or at grouse-shooting, or at golf, or at any other of the idiotic games at which what are called successful men commonly divert themselves. In his great study of British genius, Havelock Ellis found that an incapacity for such petty expertness was visible in almost all first rate men. They are bad at tying cravats. They do not understand the fashionable card games. They are puzzled by book-keeping. They know nothing of party politics. In brief, they are inert and impotent in the very fields of endeavour that see the average men’s highest performances, and are easily surpassed by men who, in actual intelligence, are about as far below them as the Simidae.
— H.L. Mencken, In Defense of Women, 1918
Odd Job
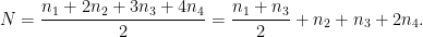
A problem by Russian mathematician Viktor Prasolov:
On a piece of graph paper, is it possible to paint 25 cells so that each of them has an odd number of painted neighbors? (“Neighboring” cells have a common side.)
Let nk be the number of painted cells with exactly k painted neighbors, and let N be the number of common sides of painted cells. Each common side belongs to exactly two painted cells, so
Since N is an integer, n1 + n3 is even and thus can’t be 25.
(From Prasolov’s Problems in Plane and Solid Geometry.)


